Module 10 - Lipid Synthesis Flashcards

(39 cards)

1
Q

Anabolic Steroids

A

Steroid molecules that are structurally related to and have similar effects as testosterone except that their anabolic activity is enhanced compared to their androgenic activity.

How well did you know this?
1
Not at all
2
3
4
5
Perfectly
2
Q

Lipoproteins

A

A group of soluble protein-lipid complexes that transport lipids in the blood

How well did you know this?
1
Not at all
2
3
4
5
Perfectly
3
Q

Statins

A

A class of drugs prescribed to lower cholesterol levels in the blood. They are HMG-CoA reductase competitive inhibitors.

How well did you know this?
1
Not at all
2
3
4
5
Perfectly
4
Q

Compare and contrast triacylglycerol and phospholipids

A

both have a glycerol backbone

in triacylglycerol, three fatty acids are linked to each of the three carbon atoms of glycerol

In phospholipids, there are two fatty acids linked to carbons 1 and 2 of glycerol, while a phosphate group and one of several different head groups are linked to carbon 3.

How well did you know this?
1
Not at all
2
3
4
5
Perfectly
5
Q

Where does triacylglycerol synthesis occur?

A

significant triacylglycerol synthesis only occurs in liver and adipose tissue

How well did you know this?
1
Not at all
2
3
4
5
Perfectly
6
Q

Where does phospholipid synthesis occur?

A

phospholipid synthesis occurs in all cells since they are major components of membranes

How well did you know this?
1
Not at all
2
3
4
5
Perfectly
7
Q

What is the common precursor for both triacylglycerol and phospholipids?

A

Glycerol-3-P is a common precursor for both classes of lipids

it can be derived either from glycerol released from adipose tissue when triacylglycerol is degraded (in liver only), or from the conversion of dihydroxyacetone phosphate (in liver and other tissues)

a molecule called phosphatidate is the precursor for both triacylglycerol and phospholipids

How well did you know this?
1
Not at all
2
3
4
5
Perfectly
8
Q

How is phosphatidate synthesized from glycerol-3-P?

A

It consists of two consecutive additions of a fatty acid (using an acyl-CoA derivative) to carbon 1 and then to carbon 2, via ester linkages.

The fatty acid linked to carbon 1 is usually a saturated fatty acid, while an unsaturated fatty acid is usually linked to carbon 2.

Carbon 3 has the phosphate group attached to it, which will facilitate the addition of different head groups to form different phospholipids

How well did you know this?
1
Not at all
2
3
4
5
Perfectly
9
Q

How is triacylglycerol synthesized from phosphatidate?

A

two-step process that is catalyzed by a triacylglycerol synthetase complex that is located on the ER membrane

In the first step, the phosphate group is cleaved off to form diacylglycerol.

In the second step the third fatty acid is linked to carbon 3 to form triacylglycerol.

How well did you know this?
1
Not at all
2
3
4
5
Perfectly
10
Q

Under normal conditions what happens to the triacylglyceride that is synthesized?

A

Under normal conditions, most of the triacylglycerol that is synthesized in liver is transported to either the muscle to be used as fuel or to adipose tissue where it is stored for future energy needs.

How well did you know this?
1
Not at all
2
3
4
5
Perfectly
11
Q

What are some of the common phospholipids?

A

There are several common membrane phospholipids, including phosphatidylcholine, phosphatidylethanolamine, phosphatidylserine, and phosphatidylinositol.

They have very similar structures and differ only in the head group (shown in red in Figure 10-5) attached to the phosphate group on carbon 3 of the glycerol backbone.

How well did you know this?
1
Not at all
2
3
4
5
Perfectly
12
Q

Phospholipids are _________________ molecules

A

amphiphilic

The have a very non-polar region due to the two fatty acid chains and a highly polar head group.

How well did you know this?
1
Not at all
2
3
4
5
Perfectly
13
Q

Where does phospholipid synthesis take place?

A

Phospholipid synthesis takes place in the endoplasmic reticulum

How well did you know this?
1
Not at all
2
3
4
5
Perfectly
14
Q

What is the precursor to phospholipid synthesis?

A

uses phosphatidate as a precursor to which an alcohol is linked (ethanolamine, choline, or serine)

How well did you know this?
1
Not at all
2
3
4
5
Perfectly
15
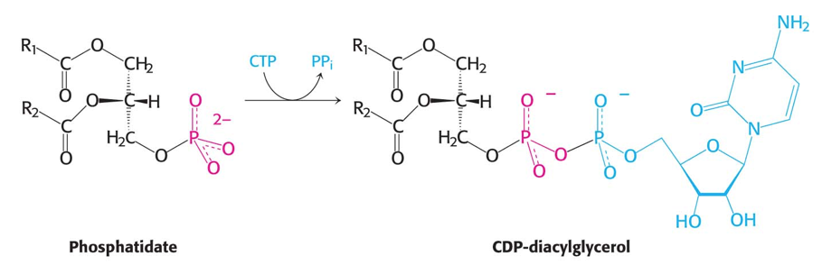
Q

How does the first part of phospholipid synthesis take place using an activated diacylglycerol?

(primarily in yeast and bacteria)

A

Diacylglycerol is activated by linking a CDP molecule to it.

In this reaction, phosphatidate reacts with CTP to form CDP-diacylglycerol.

The pyrophosphate (PPi) released is quickly hydrolyzed in the cell to two Pi.

the energy released from this hydrolysis drives this reaction strongly forward.

How well did you know this?
1
Not at all
2
3
4
5
Perfectly
16
Q

How does the second part of phospholipid synthesis take place using an activated diacylglycerol?

(primarily in yeast and bacteria)

A

CDP-diacylglycerol reacts with an alcohol such as choline to form the phospholipid with the release of CMP

17
Q

How does phospholipid synthesis take place in mammals?

A

In the case of mammals, rather than diacylglycerol being activated, the alcohol is activated by linking it to CDP.

Example:
Note that ethanolamine rather than diacylglycerol is linked to CDP, and that diacylglycerol reacts with CDP-ethanolamine.

18
Q

What is the most abundant phospholipid in animals?

A

Phosphatidylcholine is the most abundant phospholipid in animals and makes up 50% of membrane mass.

19
Q

If phosphatidylcholine is the most abundant phospholipid in animals what happens if dietary choline available is insufficient?

A

the liver possesses an alternative route for the synthesis of phosphatidylcholine

In this reaction, phosphatidylcholine is synthesized from phosphatidylethanolamine by the enzyme phosphatidylethanolamine methyltransferase

The amino group of ethanolamine is methylated three times using S-adenosylmethionine (SAM) as the methyl donor

20
Q

Why is cholesterol an important molecule?

A

It is a critical component of cell membranes that ensures it has proper fluidity.

It is also the precursor for: steroid hormones such as estrogen, progesterone, testosterone, and cortisol; bile salts, which aid in digestion; and vitamin D

21
Q

Where does the synthesis of cholesterol occur?

A

our bodies have a pathway for its synthesis that occurs in all cells but especially in the liver

22
Q

What is the precursor for the synthesis of cholesterol?

A

The precursor for its synthesis is acetyl CoA;

in fact, all 27 carbons in cholesterol are derived from acetyl CoA.

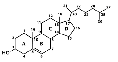
23
Q

Where in the cell does the synthesis of cholesterol take place? And what are its characteristics?

A

occurs partly in the cytosol (2 stages) and partly in the ER (2 stages).

Note that it has four fused rings, a long hydrocarbon tail (carbons 20-27), a hydroxyl group on carbon 3, and a double bond between carbons 5 and 6.

It is highly non-polar and insoluble in water.

24
Q

The first stage of cholesterol synthesis in the cytosol.

A

the first step is regulated

the synthesis of mevalonate from three acetyl CoA molecules

two molecules of acetyl CoA condense to form acetoacetyl CoA in the first step, and then a third acetyl CoA is condensed to form form hydroxymethylglutaryl-CoA (HMG-CoA).

This molecule is then reduced, using NADPH, to mevalonate by the enzyme HMG-CoA reductase.

25
The second stage of cholesterol synthesis in the cytosol
Step two is the multi-step conversion of mevalonate to an activated isoprene molecule
26
The third stage of cholesterol synthesis in the ER.
Step three is the synthesis of squalene from six isoprene units
27
The fourth and final stage of cholesterol synthesis in the ER
Step four completes the synthesis of cholesterol from squalene that includes several cyclization steps to form the rings
28
Which enzyme is the major regulator for the production of cholesterol?
HMG-CoA reductase This enzyme catalyzes the committed step in cholesterol synthesis, and thus is the major point of regulation
29
What is the primary factor that determines the synthesis of cholesterol?
The intracellular concentration of cholesterol is the primary factor which regulates its synthesis. The regulation of the rate of cholesterol synthesis occurs primarily through HMG-CoA reductase (see Figure 10-12), which catalyzes the committed step in cholesterol synthesis.
30
How is the the amount of enzyme HMG-CoA reductase and its activity regulated?
1. The levels of cholesterol in the cell regulate the transcription rate of the gene coding for HMG-CoA reductase. When levels are low, the transcription rate of the gene is increased in order to make more mRNA which is translated into HMG-CoA enzyme, which in turn leads to more cholesterol synthesis. When cholesterol levels are high, the transcription rate is slowed. 2. The rate of translation of HMG-CoA reductase mRNA is inhibited by high levels of cholesterol. 3. Cholesterol levels control the degradation rate of the HMG-CoA reductase enzyme. High cholesterol concentrations speed up the degradation rate. 4. HMG-CoA reductase is phosphorylated by AMPK which inhibits its activity. This means that cholesterol synthesis is slowed when the energy state of the cell is low.
31
How is cholesterol and triacylglycerol transported throughout the body?
they are packaged into lipoprotein particles which carry these lipids throughout the cell There are several types of lipoproteins which have specific physiological roles but they all have similarities in their structure. The hydrophobic lipids form the core of the particles, while more polar lipids and some proteins, which are more hydrophilic, form the shell, which is in contact with water in the blood.
32
How are lipoproteins classified?
Lipoproteins are classified in terms of their density; very low density lipoproteins (VLDLs), low density lipoproteins (LDLs), intermediate density lipoproteins (IDLs), high density lipoproteins (HDLs)
33
What are Chylomicrons?
formed in the small intestine and carry dietary fat (primarily TAG) to adipose tissue and a small amount to the liver.
34
What happens to the cholesterol and TAG synthesized in the liver in terms of transport to other tissues?
35
What classification of lipoproteins are the main transport vehicles for cholesterol?
LDLs are the main transport vehicle for cholesterol. There’s actually very little free cholesterol in LDLs, rather it is in the form of cholesterol ester which has a fatty acid linked to it. LDLs deliver cholesterol to peripheral cells by binding to a receptor on the surface of cells, termed the LDL receptor. After binding, the entire LDL particle is endocytosed into the cell, where the cholesteryl esters are cleaved to release free cholesterol
36
What classification of lipoproteins takes cholesterol back to the liver?
A different lipoprotein, termed HDL, serves an opposite role for cholesterol transport. It picks up excess cholesterol dumped into the blood (e.g., from cells that have died) and brings them back to the liver.
37
What are Mineralocorticoids?
steroids that act on the kidney to regulate blood pressure and salt balance (e.g., aldosterone)
38
What are glucocorticoids?
(e.g., cortisol) regulate certain metabolic pathways as well as inhibit inflammation.
39
What is involved with steroid hormone synthesis?
The synthesis of steroid hormones involves the cleavage of some or all of the sidechain carbons linked to carbon 17 on the D-ring, as well as oxidation. This oxidation takes the form of additional hydroxyl or keto groups being added Both of these modifications serve to increase the hydrophilic nature of the molecules, which aids in their ability to be transported via the blood