Module 2 Flashcards

(19 cards)

1
Q

Constante

A

Symboles qui représentent des quantités

How well did you know this?
1
Not at all
2
3
4
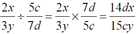
5
Perfectly
2
Q

Variable

A

Si la quantité change de valeur dans la situation étudiée ou si la quantité est inconnue, le symbole sera appelé une variable

How well did you know this?
1
Not at all
2
3
4
5
Perfectly
3
Q

Variable indicée

A

C’est un peu comme si l’on numérotait les variables. Un indice peut être une expression algébrique.

How well did you know this?
1
Not at all
2
3
4
5
Perfectly
4
Q

Exposant

A

Puissance mies en haut à droite d’une expression.

How well did you know this?
1
Not at all
2
3
4
5
Perfectly
5
Q

Radicaux

A

Racine d’un nombre. Équivalente à multiplier l’expression par 1/x où x=la racine. Par exemple la racine cubique équivaut à la puissance 1/3.

How well did you know this?
1
Not at all
2
3
4
5
Perfectly
6
Q

Sommation

A

Σ

Ce symbole permet de faire des sommes. Avec i=1 dessous et 8 au dessus cela correspond à l’équation 1+ 2 + 3+ 4 + 5+ 6 + 7 + 8 = 36

How well did you know this?
1
Not at all
2
3
4
5
Perfectly
7
Q

Terme

A

Expression algébrique formée par la multiplication (ou la division) de nombres, de variables, de constantes ou d’expressions algébriques entre parenthèses

How well did you know this?
1
Not at all
2
3
4
5
Perfectly
8
Q

Coefficient

A

Nombre que l’on retrouve habituellement dans un terme et qui est normalement placé au début de ce terme

How well did you know this?
1
Not at all
2
3
4
5
Perfectly
9
Q

Facteur

A

Différentes quantités que l’on multiplie pour obtenir un produit

How well did you know this?
1
Not at all
2
3
4
5
Perfectly
10
Q

Monôme

A

Lorsque les variables d’un terme n’ont que des exposants entiers et positifs

How well did you know this?
1
Not at all
2
3
4
5
Perfectly
11
Q

Polynôme

A

Une somme ou une différence de monômes

How well did you know this?
1
Not at all
2
3
4
5
Perfectly
12
Q

Termes semblables

A

On dit que deux termes sont semblables s’ils contiennent les mêmes variables

How well did you know this?
1
Not at all
2
3
4
5
Perfectly
13
Q

Comment diviser une expression algébrique?

A

Diviser une première expression par une deuxième, c’est multiplier la première par l’inverse de la seconde.

How well did you know this?
1
Not at all
2
3
4
5
Perfectly
14
Q

La factorisation par la double mise en évidence

A

Le polynôme à décomposer comporte au moins quatre termes et habituellement un nombre pair de termes et on retrouve au moins un facteur commun dans la moitié de ces termes et au moins un autre facteur commun dans les autres termes.

How well did you know this?
1
Not at all
2
3
4
5
Perfectly
15
Q

Qu’est-ce que le conjugué d’un binôme?

A

On appelle le conjugué d’un binôme un autre binôme qui n’est différent du premier que par le signe entre les deux termes.

Le conjugué de a+b est a-b

How well did you know this?
1
Not at all
2
3
4
5
Perfectly
16
Q

Comment reconnaître un trinôme de la forme x2 + pxy + qy2?

A
  • Le premier terme a comme coefficient 1 et les exposants des variables du premier terme sont pairs.
  • Si le troisième terme comporte des variables, elles ont des exposants pairs.
  • Les variables du deuxième terme sont les mêmes que celles contenues dans les deux autres termes, mais leurs exposants sont diminués de moitié.
17
Q

Comment reconnaître qu’il s’agit d’une différence de carrés?

A
  • Dès que l’on a identifié la différence de carrés, on sait que la factorisation donnera le produit d’un binôme par son conjugué.
  • La première parenthèse comprend la somme des racines carrées positives des deux termes de la différence.
  • La deuxième parenthèse contient le conjugué du premier binôme. Seul le signe est différent.
18
Q

Comment reconnaître un trinôme carré parfait?

A

On sait qu’un terme est un carré parfait si son signe est positif, son coefficient est un carré parfait et les exposants de ses variables sont pairs.