Module 3 Flashcards

(34 cards)

1
Q

Name six reasons to model infectious diseases.

A
How well did you know this?
1
Not at all
2
3
4
5
Perfectly
2
Q

What are acute and chronic diseases?

A
How well did you know this?
1
Not at all
2
3
4
5
Perfectly
2
Q

What is the SIR framework? What are the parameters that guide the transitions?

A
How well did you know this?
1
Not at all
2
3
4
5
Perfectly
3
Q

What does the force of infection imply?

A
How well did you know this?
1
Not at all
2
3
4
5
Perfectly
4
Q

What are the two possible definitions of lambda?

A
How well did you know this?
1
Not at all
2
3
4
5
Perfectly
5
Q

What does the force of infection mean in discrete time formulation?

A
How well did you know this?
1
Not at all
2
3
4
5
Perfectly
6
Q

What does the force of infection mean in continuous time formulation?

A
How well did you know this?
1
Not at all
2
3
4
5
Perfectly
7
Q

What is the definition of a stock and a flow?

A
How well did you know this?
1
Not at all
2
3
4
5
Perfectly
8
Q

How are stocks and flows linked?

A
How well did you know this?
1
Not at all
2
3
4
5
Perfectly
9
Q

What is the Naive SIR model?

A
How well did you know this?
1
Not at all
2
3
4
5
Perfectly
10
Q

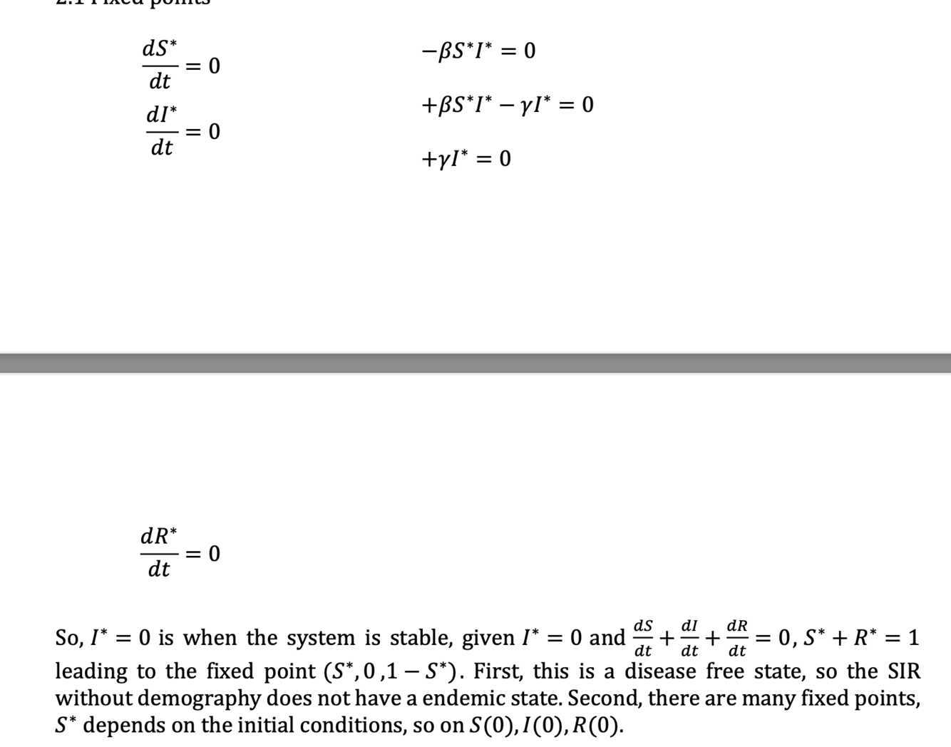
What are the fixed points of the Naive SIR model?

A
How well did you know this?
1
Not at all
2
3
4
5
Perfectly
11
Q

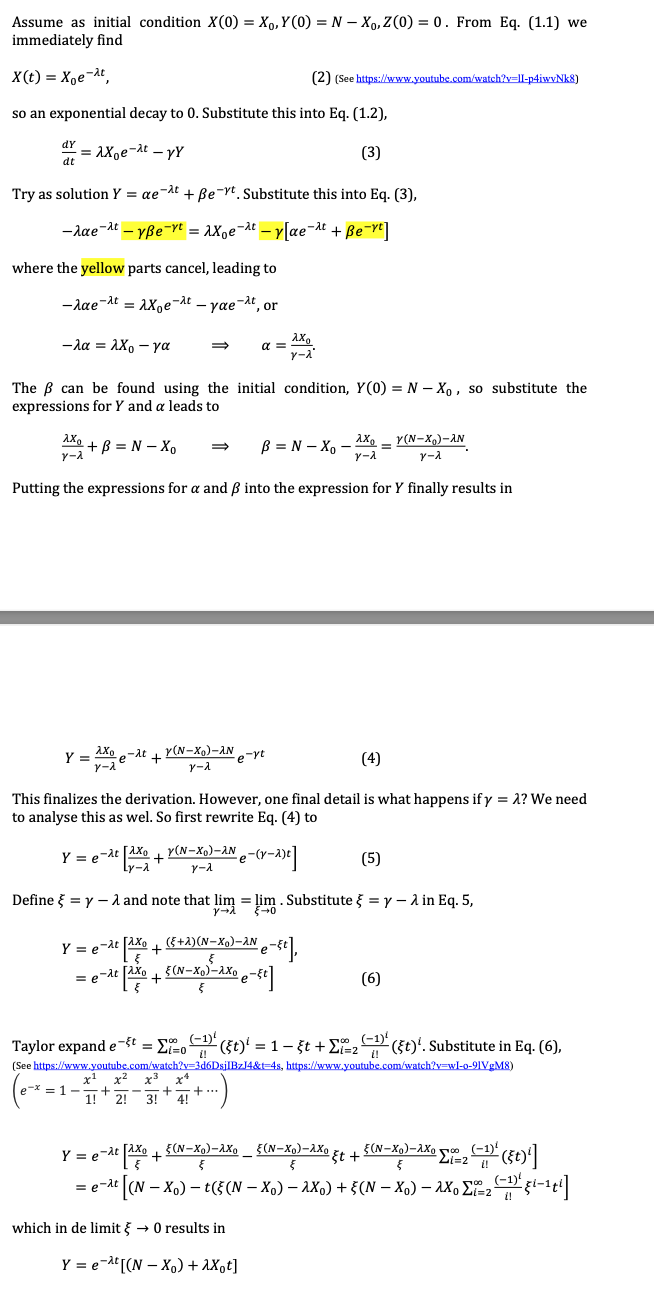
Solve the Naive SIR model.

A
How well did you know this?
1
Not at all
2
3
4
5
Perfectly
12
Q

What is a Phase Plot?

A
How well did you know this?
1
Not at all
2
3
4
5
Perfectly
13
Q

What is the mass action and density dependent formulations of the rate of infections of the SIR model? What does it depend on?

A
How well did you know this?
1
Not at all
2
3
4
5
Perfectly
14
Q

What do the Frequency and Density dependent formulations depend on? When do these differences matter?

A
How well did you know this?
1
Not at all
2
3
4
5
Perfectly
15
Q

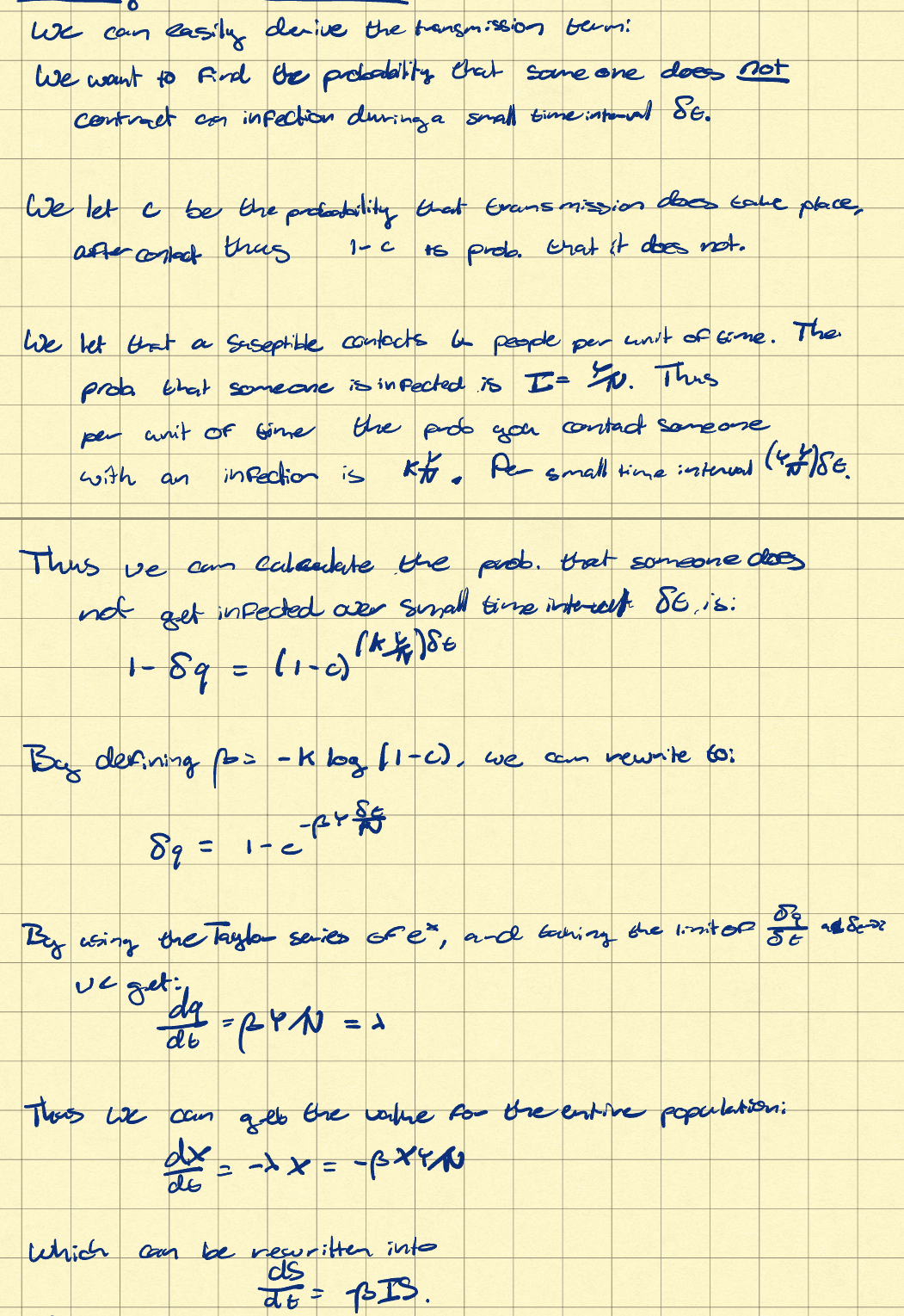
How is the frequency dependent transmission term derived?

16
Q

What are the SIR equations? (X, Y, Z)

17
Q

What are the SIR equations? (S, I, R)

18
Q

What is the Threshold Phenomenon?

19
Q

What is Epidemic Burnout?

20
Q

What is the SIR model with demography? What is the idea of this model?

21
Q

What are the fixed points of the SIR model?

22
Q

What is the equilibrium of the SIR model (with demographics)? When is it stable?

23
Q

Why is the SIR model with demographics like a damped oscillator?

24
What is done in stability analysis?
1. Fixed points (i.e. dR/dt = 0) 2. We use the Jacobian to determine what directions things are pushed at the fixed points LOOK INTO THIS
25
What is Numerical Integration? What is a conceptually very simple solving method? How does it work? What is a better alternative?
26
What is the SIR model with death? How does the parameter rho impact the results?
27
How is the SIR model rewritten for an always deadly disease?
28
What are SIS models? How are they rewritten from the SIR model?
29
What are SIR models with waning immunity? How is it rewritten from the SIR model?
30
What is the SEIR model? What are the differences to the SIR model? Why may this be helpful?
31
How are infections with a carrier state modelled?
32
What are residence times?
The time a individual spends in a category.
33
What is the Box-carr method?