Module 4 Flashcards

(80 cards)

1
Q

Quand est écrit le PAS?

A

Avant l’étude

How well did you know this?
1
Not at all
2
3
4
5
Perfectly
2
Q

Qu’assure le PAS?

A

L’objectivité

How well did you know this?
1
Not at all
2
3
4
5
Perfectly
3
Q

Qui demande un PAS?

A
  • Protocole
  • Subvention
How well did you know this?
1
Not at all
2
3
4
5
Perfectly
4
Q

Que définit le PAS?

A

Principales analyses statistiques

How well did you know this?
1
Not at all
2
3
4
5
Perfectly
5
Q

Comment s’appelle le fait d’exclure les patients de l’analyse qui n’ont pas répondu au traitement?

A

Tripotage de donnés

How well did you know this?
1
Not at all
2
3
4
5
Perfectly
6
Q

Est-ce que le PAS est obligatoire pour l’homologation?

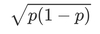
A

Oui

How well did you know this?
1
Not at all
2
3
4
5
Perfectly
7
Q

Sur quoi se concentrent les PAS d’une demande de subvention?

A

Analyses se rapportant au CRP

How well did you know this?
1
Not at all
2
3
4
5
Perfectly
8
Q

Nomme les 6 sections du PAS complet.

A
  • Section 1 : Détails administratifs (promoteur, chercheur principal, auteur du PAS, etc.)
  • Section 2 : Résumé de l’étude et de la question de recherche
  • Section 3 : Design et méthodes de l’étude (randomisation, insu, etc.)
  • Section 4 : Principes statistiques utilisés
  • Section 5 : Population de l’étude
  • Section 6 : Description des analyses statistiques prévues
How well did you know this?
1
Not at all
2
3
4
5
Perfectly
9
Q

Est-ce que le PAS contient des résultats?

A

Non, il est fait avant l’étude

How well did you know this?
1
Not at all
2
3
4
5
Perfectly
10
Q

Qu’est-ce que la multiplicité?

A

C’est le principe selon lequel si je fais des miliers de tests, assurément je vais finir par trouver des associations significatives

How well did you know this?
1
Not at all
2
3
4
5
Perfectly
11
Q

Comment peut-on contrôler les abus de multipliciter dans les études scientifiques?

A

grâce aux PAS

How well did you know this?
1
Not at all
2
3
4
5
Perfectly
12
Q

Qu’est-ce que l’erreur aléatoire?

A

Variation du CRP

How well did you know this?
1
Not at all
2
3
4
5
Perfectly
13
Q

Nomme les 5 variables mesurés en “baseline”, c’est-à-dire pendant le recrutement.

A
  1. Variables socio-démographiques
  2. Variables d’expositions
  3. Variables cliniques
  4. Autres variables potentiellement associées au CRP
  5. Facteurs de confusion connus (variables généralement associées au CRP)
How well did you know this?
1
Not at all
2
3
4
5
Perfectly
14
Q

Nomme les 6 variables mesurés en cédule de visite.

A
  1. CRP (souvent 3 CRP ou moins)
  2. Variable d’exposition
  3. Critères secondaires
  4. Variables d’innocuité
  5. Variables de mécanisme
  6. Variables d’adhérence
How well did you know this?
1
Not at all
2
3
4
5
Perfectly
15
Q

Qu’est-ce que l’adhérence?

A

Est-ce que le protocole est bien suivi?

How well did you know this?
1
Not at all
2
3
4
5
Perfectly
16
Q

Les variables et la cédule de visite d’un ECR sont souvent résumées à l’aide d’une _______.

A

matrice

How well did you know this?
1
Not at all
2
3
4
5
Perfectly
17
Q

Quel est le premier diagramme à produire lors de la présentation des résultats d’un ecr?

A

Diagramme CONSORT

How well did you know this?
1
Not at all
2
3
4
5
Perfectly
18
Q

Que contient CONSORT?

A
  • Patients approchés pour participer à l’étude
  • Participants à l’étude
  • Perdus durant le suivi
  • Inclus dans l’analyse principale sur CRP
How well did you know this?
1
Not at all
2
3
4
5
Perfectly
19
Q

Plus il y a de pertes au suivi, plus la validité interne de l’étude est _______.

A

affaiblie

How well did you know this?
1
Not at all
2
3
4
5
Perfectly
20
Q

Nomme les deux types d’analyses.

A
  1. ITT
  2. ITP
How well did you know this?
1
Not at all
2
3
4
5
Perfectly
21
Q

Caractéristiques de l’ITT?

A
  • Permet aucune exclusion
  • Patient randomisé = analysé
  • Contre le biais de confusion
How well did you know this?
1
Not at all
2
3
4
5
Perfectly
22
Q

Désavantage de l’ITT?

A
  • Pas facile d’avoir toutes les donnés (perte)
  • Dilue l’amplitude de la réponse:
    a. Surestime l’innocuité
    b. Sous-estime le bénéfice
How well did you know this?
1
Not at all
2
3
4
5
Perfectly
23
Q

Caractéristiques de l’ITP?

A
  • Exclue certains patients
  • Critères déterminés dans le PAS
  • Expose l’étude au biais de confusion
How well did you know this?
1
Not at all
2
3
4
5
Perfectly
24
Q

Vrai ou faux? Les résultats des analyses ITP et ITT sont toujours identiques.

A

Faux

How well did you know this?
1
Not at all
2
3
4
5
Perfectly
25
La validité interne de l'analyse selon ___ est donc supérieure à celle de l'analyse selon ___.
l'ITT l'ITP
26
Qu'est-ce qui est utilisé pour l'analyse descriptive?
* Tableaux * Diagrammes * Figures
27
Que permet de déduire les analyses descriptives?
* Fourni un premier coup d'oeil sur les résultats d'un ECR * Population de participants recruté pour l'étude * Certains problèmes de donnés et/ou de compatibilité entre les groupes * Estimations ponctuelles de la réponse
28
Que contient généralement la première table?
Statistiques descriptives des variables mesurées à la visite de recrutement (statistiques socio-démographiques et cliniques)
29
Quelles variables sont nécessaires afin de déterminer le risque de biais de confusion?
Présentation clinique
30
Que sont les donnés brutes?
CRP
31
Exemple de variables dérivée?
IMC
32
Nomme les deux façons de résumer l'information d'une variable.
1. Mesures de tendance centrale et de dispersion 2. Distribution présentée à l'aide d'une figure
33
Univariée? Bivariée? Multivariée?
une dimension 2 dimensions plusieurs dimensions
34
Que permet l'ajout de plusieurs dimensions?
permet de déterminer les différences/tendances/associations
35
Plus il y a de dimensions plus la table/figure est ________.
informative
36
Qu'est-ce qu'une dimension?
Une variable
37
Nomme des donnés statistiques à inclure dans un tableau.
* Minimum * Maximum * Médiane * Q1 * Q2 * Écart-type
38
Combien de dimension minimum dans un ECR?
2: placebo et expérimental
39
On peut utiliser un histogramme _______ pour présenter les histogrammes par groupe d'interventions
en miroir
40
La distribution et les statistiques descriptives sont ____________.
complémentaires
41
Est-ce que l'histogramme peut aider à détecter des choses que les statistiques descriptives ne détectent pas?
Oui
42
Que va-t-on regarder pour analyser un temps d'incidence?
Courbe de Kaplan-Meier
43
Que représente les axes de la courbe de Kaplan-Meier?
X: échelle de temps selon le début du suivi Y: probabilité de l'évènement Début: toujours 100% ou 0% (, car patient ont jamais vécu l'évènement)
44
Quelle est la forme typique des courbe KM?
Escalier * marche = nombre de patients
45
Qu'est-ce qui est possible de déduire selon la courbe KM?
Les centiles
46
Les courbes KM sont utiles pour comparer_______.
les temps d'incidences pour 2 groupes ou plus
47
Dans KM, que révèle le croisement des courbes?
Révèle les bénifices à court et à long terme de différents traitements (permet de comparer)
48
Pourquoi le croisement des courbes KM a une importance dans l'analyse statistique?
car certaines analyses ne sont pas appropriées lorsque les courbes se croisent
49
Est-ce qu'il faut inclure le nombre de perte de suivi dans les statistiques descriptives?
Oui
50
Statistique pour dichotomique?
Proportion
51
Statistique pour catégorique?
Proportion
52
5 statistiques pour ordinale?
1. Proportion 1. Centile 1. IQR 1. Diagramme boite 1. Histogramme
53
Pour une valeur ordinale, quelles statistiques ne sont pas possible s'il y a beacoup de valeurs possibles?
Proportions
54
Pour une valeur ordinale, quelles statistiques ne sont pas possible s'il y a peu de valeurs possibles
* Centiles * Diagramme en boîte * Histogramme
55
6 statistique pour continue?
1. Centile 1. IQR 1. Moyenne 1. Écart-type 1. Diagramme boite 1. Histogramme
56
Nomme des mesures de dispersion.
* IQR * Écart-type
57
Nomme des mesures de tendance centrale.
* Médiane (50e centile) * Moyenne
58
Pourquoi la médiane est-elle plus robuste que la moyenne?
Elle est moins sensible aux valeurs extrêmes et aux distributions aymétriques
59
Avec quoi se visionne la distribution d'une variable?
Histogramme
60
Qu'utilisent les statisticiens pour décrire des distributions théoriques?
Des lois (ex: loi normale)
61
Que représente le mode?
Le mode représente la valeur la plus fréquente dans une distribution.
62
Combien de bosses pour une distribution bimodale?
Deux
63
Que représente la moyenne?
La moyenne représente la moyenne arithmétique: la somme de toutes les valeurs non-manquantes divisée par le nombre de participants avec des valeurs non manquantes
64
À noter qu'une proportion est une moyenne si...
on code les données dichotomiques avec des 0 et 1
65
Qu'est-ce que l'écart-type?
L'écart-type est une mesure d'écart moyen d'une variable par rapport à la moyenne dans une population
66
Pourquoi l'écart-type joue un rôle important?
Car il est central pour déterminer l'erreur aléatoire et la précision de la réponse à la question de recherche clinique.
67
Quelle est la formule d'un écart-type et que signifie les variables?
N: taille de l'échantillon xi = valeur pour le patient "i" x̄: moyenne Σ: somme sur tous les patients
68
Pourquoi utilise-t-on les écarts quadratiques?
écarts quadratiques = carré de la différence entre (xi - x̄) * utilise, car la somme des écarts moyens est troujours de zéro: Σ(xi - x̄) = 0
69
Comment appelle-t-on le carré de l'écart-type?
La variance
70
Qu'est-ce que l'erreur type?
Mesure de dispersion d'une statistique sur un échantillon de la population
71
Quelle est la formule du calcul de l'écart-type des variables dichotomique et la signification des variables?
p: proportions observée dans un groupe "N" de patients
72
L'écart-type est à son maximum lorsque p = ____.
0.5
73
L'écart-type est zéro lorsque p = ___
0 ou 1
74
Concernant les tableaux de contigence, quel calcul permet de déterminer s'il y a une dépendance/association?
Si la proportion observée dans un cellule est différente des produits des marginales = association P(A et B) ≠ P(A) * P(B)
75
Dans quelle situation P(A et B) = P(A) * P(B)?
Quand P(A|B) = P(A), c'est-à-dire quand la probabilité de succès pour un patient expérimentale est la même que la probabilité de succès = indépendance entre le traitement et le succès du traitement
76
Qu'est-ce qu'une cote?
Façon différente d'exprimer les chances qu'un évènement se produise
77
Quelle est la formule d'une cote et la signification des variables?
p/(1-p) p: proportion observé dans un groupe chez "N" patients
78
Qu'est-ce que le rapport de cote (RC) et la manière de le calculer?
C'est une mesure d'association pour d'écrire l'association entre l'exposition (les traitements) et le CRP Calcul: produit croisé des effectifs des 4 cellules (si compare 2 groupes, placebo et expérimental)
79
Qu'est-ce que cela singifie sur RC est: - égale à 1 - plus grand que 1 - plus petit que 1
* nulle * différence importante * différence négative
80
Vrai ou Faux? Les RC sont plus informatifs que la différence de proportions.
Faux