Module 4: Chapter 11 - Basic Concepts of Organic Chemistry Flashcards

(187 cards)

1
Q

What is Organic Chemistry?

A

The study of carbon chemistry, excluding carbonates, simple carbon oxides, and carbide

How well did you know this?
1
Not at all
2
3
4
5
Perfectly
2
Q

What is the functional group of a Carboxylic Acid?

A

-COOH (carboxy group)

How well did you know this?
1
Not at all
2
3
4
5
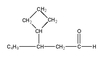
Perfectly
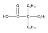
3
Q

What is the general structure of a carboxylic acid?

A
How well did you know this?
1
Not at all
2
3
4
5
Perfectly
4
Q

What is the suffix (when primary) of a carboxylic acid?

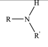
A

-oic acid

How well did you know this?
1
Not at all
2
3
4
5
Perfectly
5
Q

What is the prefix (when secondary) of a carboxylic acid?

A

carboxy-

How well did you know this?
1
Not at all
2
3
4
5
Perfectly
6
Q

What is the functional group of an ester?

A

-COOR

How well did you know this?
1
Not at all
2
3
4
5
Perfectly
7
Q

What is the general structure of an ester?

A
How well did you know this?
1
Not at all
2
3
4
5
Perfectly
8
Q

What is the suffix (when primary) of an ester?

A

-yl -oate

How well did you know this?
1
Not at all
2
3
4
5
Perfectly
9
Q

How do you name an ester?

A

(alcohol prefix)-yl (carboxylic acid prefix)-oate

How well did you know this?
1
Not at all
2
3
4
5
Perfectly
10
Q

What is the prefix (when secondary) of an ester?

A

(R)-oxycarbonyl

How well did you know this?
1
Not at all
2
3
4
5
Perfectly
11
Q

What is the functional group of an acid halide?

A

-COX

How well did you know this?
1
Not at all
2
3
4
5
Perfectly
12
Q

What is the general structure of an acid halide?

A
How well did you know this?
1
Not at all
2
3
4
5
Perfectly
13
Q

What is the suffix (when primary) of an acid halide?

A

-oyl halide

How well did you know this?
1
Not at all
2
3
4
5
Perfectly
14
Q

What is the prefix (when secondary) of an acid halide?

A

halocarbonyl-

How well did you know this?
1
Not at all
2
3
4
5
Perfectly
15
Q

What is the functional group of a primary amide?

A

-CONH2

How well did you know this?
1
Not at all
2
3
4
5
Perfectly
16
Q

What is the functional group of a secondary amide

A

-CONHR

How well did you know this?
1
Not at all
2
3
4
5
Perfectly
17
Q

What is the functional group of a tertiary amide?

A

CONR2

How well did you know this?
1
Not at all
2
3
4
5
Perfectly
18
Q

What is the general strucure of a primary amide?

A
How well did you know this?
1
Not at all
2
3
4
5
Perfectly
19
Q

What is the general strucure of a secondary amide?

A
How well did you know this?
1
Not at all
2
3
4
5
Perfectly
20
Q

What is the general strucure of a tertiary amide?

A
How well did you know this?
1
Not at all
2
3
4
5
Perfectly
21
Q

What is the suffix (when primary) of an amide?

A

-amide

How well did you know this?
1
Not at all
2
3
4
5
Perfectly
22
Q

What is the prefix (when secondary) of an amide?

A

carbamoyl-

How well did you know this?
1
Not at all
2
3
4
5
Perfectly
23
Q

What is the functional group of a nitrile?

A

(triple bond)

How well did you know this?
1
Not at all
2
3
4
5
Perfectly
24
Q

What is the general structure of a nitrile?

A
How well did you know this?
1
Not at all
2
3
4
5
Perfectly
25
What is the suffix (When primary) of a nitrile?
(full alkane name) -nitrile
26
What is the prefix (when secondary) of a nitrile?
cyano-
27
What is the functional group of an aldehyde?
C=O carbonyl group
28
What is the general structure of an aldehyde?
29
What is the suffix (when primary) of an aldehyde?
-al
30
What is the prefix (when secondary) of an aldehyde?
oxo-
31
What is the functional group of a ketone?
C=O carbonyl group
32
What is the general structure of a ketone?
33
What is the suffix (when primary) of a ketone?
-one
34
What is the prefix (when secondary) of a ketone?
oxo-
35
What is the functional group of an alcohol?
-OH hydroxy group
36
What is the general structure of an alcohol?
37
What is the suffix (When primary) of an alcohol?
-ol
38
What is the prefix (When secondary) of an alcohol?
hydroxy-
39
What is the functional group of a thiol?
-SH mercapto group
40
What is the general structure of a thiol?
41
What is the suffix (When primary) of a thiol?
-thiol
42
What is the prefix (when secondary) of a thiol?
sulfanyl-
43
What is the functional group of a primary amine?
-NH2
44
What is the general structure of a primary amine?
45
What is the functional group of a secondary amine?
-NHR
46
What is the general structure of a secondary amine?
47
What is the functional group of a tertiary amine?
-NR2
48
What is the general strucutre of a tertiary amine?
49
What is the suffix (when primary) of an amine?
-amine
50
What is the prefix (when secondary) of an amine?
amino-
51
What is the functional group of an imine?
C=N (double bond)
52
What is the general structure of an imine?
53
What is the suffix (when primary) of an imine?
-imine
54
What is the prefix (when secondary) of an imine?
R-imino
55
What is the functional group of an ether?
56
What is the general structure of an ether?
57
How do you name an ether?
ethers are named as R(prefix)-**oxy**-alkane, where R is the most basic alkyl group and alkane is the most complex alkyl group, i.e methoxypropane or propoxybutane
58
What is the general structure of a sulfide?
59
What is the functional group of a sulfide?
-SR alkylthio group
60
What is the prefix for sulfide?
R-sulfanyl
61
What is the functional group for an alkene?
C=C
62
What is the suffix for alkene?
-ene
63
What is the functional group for alkyne?
C≡C
64
What is the suffix for alkynes?
-yne
65
What is the functional group for an alkyl halide/haloalkane?
-X
66
What is the general structure of an alkyl halide/haloalkane?
67
What is the prefix for an alkyl halide/haloalkane?
halo- (chloro-, iodo-, fluoro-)
68
What is the functional group of an anhydride?
69
What is the general structure of an anhydride?
70
What is the suffix for a symmetrical anhydride?
carboxylic anhydride (carboxylic comes from the carboxylic acid used to produce the anyhydride)
71
What is the functional group priority list? (from highest to lowest)
1. Carboxylic Acid 2. Anhydrides 3. Esters 4. Acid Halides 5. Amides (1°, 2°, 3°) 6. Nitriles 7. Aldehydes 8. Ketones 9. Alcohol (1°, 2°, 3°) 10. Thiol 11. Amine (1°, 2°, 3°) 12. Imine 13. Ether 14. Sulfide 15. Alkene 16. Alkyne 17. Haloalkane
72
What is the carbonyl functional group?
73
What homologous series does the carbonyl functional group belong to?
Aldehydes and Ketones
74
What is an aldehyde?
An organic compound containing the carbonyl functional group on a terminal carbon atom
75
What is a ketone?
An organic compound containing the carbonyl functional group on a non-terminal carbon atom
76
What is the functional group of an alkane?
There is no functional group
77
What is the general structure of an alkane?
R-H
78
What is the prefix for 1 carbon atom?
meth-
79
What is the prefix for 2 carbon atoms?
eth-
80
What is the prefix for 3 carbon atoms?
prop-
81
What is the prefix for 4 carbon atoms?
but-
82
What is the prefix for 5 carbon atoms?
pent-
83
What is the prefix for 6 carbon atoms?
hex-
84
What is the prefix for 7 carbon atoms?
hept-
85
What is the prefix for 8 carbon atoms?
oct-
86
What is the prefix for 9 carbon atoms?
non-
87
What is the prefix for 10 carbon atoms?
dec-
88
What is the prefix for 11 carbon atoms?
undec-
89
What is the prefix for 12 carbon atoms?
dodec-
90
What is the alkyl group represented by?
R-
91
What is the general formula for an alkyl?
CₙH₂ₙ₊₁
92
What is an alkyl group?
An alkyl group is an alkane with a hydrogen removed
93
What are hydrocarbons?
A hydrocarbon is a covalent compound containing carbon and hydrogen atoms only.
94
What is a saturated hydrocarbon?
A saturated hydrocarbon only contains single bonds
95
What is an unsaturated hydrocarbon?
An unsaturated hydrocarbon contains carbon-to-carbon multiple bonds, such as the carbon-carbon double bond in an alkene or the carbon-carbon triple bond in an alkyne
96
What is a homologous series?
A homologous series is a family of compounds with similar chemical properties, as they have the same functional group, whose successive members differ by the addition of a -CH₂- group.
97
What is a functional group?
A group of atoms that is part of an organic molecule and is responsible for the molecules characteristic chemical properties
98
Why can carbon form so many compounds?
Carbon contains 4 valence electrons and therefore can form 4 covalent bonds to other atoms
99
What is the general formula of an organic compound?
The simplest algebraic formula of a member of a homologous series
100
What is the structural formula?
The structural formula uses the minimal amount of detail necessary to show the arrangement of the atoms in a molecule but not the bonds between them
101
What is the displayed formula?
The displayed formula shows the relative positioning of atoms and the bonds between them
102
What are the different types of chemical formula?
* Molecular formula * Empirical formula * Structural formula * Displayed formula * Skeletal formula
103
What is the skeletal formula?
The skeletal formula is the simplified organic formula, you remove all the carbon and hydrogen labels and any bonds to hydrogen atoms - this leaves just a carbon skeleton and any functional groups
104
What does a line represent on a skeletal formula?
A single bond
105
What does the intersection between 2 lines represent in the skeletal formula?
A carbon atom
106
What does the end of a line represent in the skeletal formula?
A -CH₃ group
107
What is nomenclature of organic compounds?
The method of naming organic compounds according to the IUPAC rules
108
What are the 3 classifications of hydrocarbons?
* Aliphatic * Alicyclic * Aromatic
109
What is an aliphatic hydrocarbon?
Hydrocarbon with carbon atoms that are joined to each other in unbranched or branched chains, or non-aromatic rings
110
What is an alicyclic hydrocarbon?
An aliphatic compound arranged in non-aromatic rings (cyclic) with or without branches
111
What is an aromatic hydrocarbon?
some or all of the carbon atoms are found in benzene rings
112
What are the 3 homologous series of aliphatic hydrocarbons?
* Alkanes * Alkenes * Alkynes
113
What is the parent chain?
The longest continuous chain of carbon atoms
114
What does the stem of the name of an organic compound represent?
The number of carbon atoms in the parent chain
115
What does the prefix of the name of an organic compound represent?
It indicates the presence of side chains or a functional group
116
How do you name an alicyclic alkane?
Same as normal however add cyclo- in front of alkane name
117
What is a primary alcohol?
The carbon atom bonded to the hydroxyl group is bonded to 1 other carbon atom (with the inclusion of methanol)
118
What is a secondary alcohol?
The carbon atom bonded to the hydroxyl group is bonded to 2 other carbon atoms
119
What is a tertiary alcohol?
The carbon atom bonded to the hydroxyl group is bonded to 3 other carbon atoms
120
How is the position of the functional group given?
It is given by a number, counting from the end of the parent chain that gives the functional group the lowest number
121
What do you do if there are 2 or more of the same group when naming a compound?
Add di-, tri, tetra-, penta-
122
What is the molecular formula?
The molecular formula shows the number and type of atoms of each element present in a molecule. It does not show how the atoms are joined together
123
What is the empirical formula?
The simplest whole-number ratio of the atoms of each element present in a compound
124
How are side branches expressed in the structural formula?
They are expressed in brackets
125
What are structural isomers?
Compounds with the same molecular formula but different structural formulae
126
Identify the compounds and explain how they are structural chain isomers
Butane and 2-methylpropane are structural isomers as they have the same molecular formula (C₄H₁₀) but different structural formulae as the methyl group is in different positions.
127
What are the 2 categories of isomerism?
* Structural isomerism * Stereoisomerism
128
What is stereoisomerism?
Isomers have the same molecular formula and structural formula but atoms occupy different positions in space
129
What are the 3 types of structural isomerism?
* Chain isomerism * Position isomerism * Functional Group isomerism
130
What is chain isomerism?
Different arrangements of the carbon skeleton
131
What is positional isomerism?
the functional group is in a different position
132
What is functional group isomerism?
Different functional group
133
What are the properties of chain isomers?
* Similar chemical properties * Slightly different physical properties * more branching = lower boiling point
134
Why do isomers with more branches have a lower boiling point that isomers with less branches?
There are fewer surface points of contact between molecules of the branched alkanes, resulting in fewer London forces. The branches can also get in the way and prevent branched molecules packing as close together as straight-chai molecules, decreasing the intermolecular forces further
135
What are the properties of positional isomers?
* Similar chemical properties * Different physical properties
136
What are the properties of functional group isomers?
* Different chemical properties * Different physical properties
137
What is a functional group isomer of an alcohol?
An ether
138
What is a functional group isomer of an aldehyde?
A ketone
139
What is a functional group isomer of a carboxylic acid?
An ester
140
What are the simplest type of organic compound?
hydrocarbons
141
What is a linear alkane?
Alkane with carbons bonded in a chain-like structure
142
Can a six-carbon cyclic alkane be an isomer of a six-carbon linear alkane?
No, although the number of carbons will be the same, the cyclic alkane will have 2 fewer hydrogens due to another carbon-carbon bond
143
What are constitutional isomers?
Structural isomers
144
How do shapes and orientation of isomers affect boiling points of organic molecules?
The longer the chain and the lower the branching of the isomer, the stronger the intermolecular forces between the molecules as there is the greatest interaction between molecules.
145
Why do branched alkanes have lower boiling points than straight-chain alkanes?
There are fewer surface points of contact between molecules of the branched alkanes, resulting in fewer London forces. The branches can also get in the way and prevent branched molecules packing as close together as straight-chai molecules, decreasing the intermolecular forces further
146
What is the suffix for unsymmetrical anhydride?
carboxylic**A** carboxylic**B** anhydride (each carboxylic comes from the carboxylic acids used to produce the anyhydride and they are in alphabetical order)
147
What is the rule when a molecule has more than 1 functional group **of the same type**?
1. Keep the full alkane name (propane, not propan; ethane, not ethan) 2. Add di, tri, tetra to the suffix (indicating number of functional groups of the same kind)
148
What is the correct IUPAC systematic name of this molecule?
cyclopenta-1,3-diene
149
What is the correct IUPAC systematic name of this molecule?
hexane-1,1,1-triol
150
What is the correct IUPAC systematic name of this molecule?
3-cyclobutylheptanal
151
What is the correct IUPAC systematic name of this molecule?
2-pentyl-2-propylheptanoic acid
152
What is the correct IUPAC systematic name of this molecule?
propanedioic acid
153
What is the correct IUPAC systematic name of this molecule?
pentane-2,3-dione
154
What is the correct IUPAC systematic name of this molecule?
1-ethoxypropane
155
What is the functional group isomer of an alkene?
A cycloalkane
156
When do you not need to number the position of a functional group/side chain in nomenclature?
When there is only 1 possible position
157
What is a lewis structure?
A diagram showing all covalent bonds, lone pairs, and dipoles within a molecule
158
Where must the tail of a curly arrow be?
At a lone pair or a bond
159
What is a nucleophile?
A species with high electron density that is attracted to an area of low electron density in order to donate an electron pair in order to form a covalent bond
160
What is an electrophile?
A species with low electron density that is attracted to an area of high electron density in order to accept an electron pair in order to form a covalent bond
161
How can covalent bonds be broken?
Covalent bond fission
162
What are the 2 types of covalent bond fission?
* Homolytic Fission * Heterolytic Fission
163
What is homolytic fission?
When a covalent bond breaks by homolytic fission, each bonding atom takes one of the shared pair of electrons from the bond. This leaves each atom with a single unpaired electron meaning 2 radicals have been formed
164
What is a radical?
An atom or group of atoms (species) with an unpaired electron
165
How is a radical represented?
A dot is used next to the molecular formula to indicate an unpaired electron
166
What is heterolytic fission?
When a covalent bond breaks by heterolytic fission, one of the bonding atoms takes both of the electrons from the bond. The atom that takes the electrons becomes a negative ion and the one which does not take the ion becomes a positive ion
167
What is the result of homolytic fission?
Radicals
168
What is the result of heterolytic fission?
Ions
169
What is a reaction mechanism?
The process of *how* a reaction takes place, it is a step by step description of bond-breaking and bond-formation to yield the products from reactants
170
What does a fish-hook curly arrow represent?
The movement of a single unpaired electron in reactions involving radicals
171
What are the 3 types of reaction mechanisms?
* Addition * Substitution * Elimination
172
What is an addition reaction?
A reaction in which 2 reactants join together to form one product
173
What is a substitution reaction?
A reaction in which an atom or group of atoms are replaced by a different atom or group of atoms
174
What is an elimination reaction?
An elimination reaction involves the removal of a small molecule from a larger one, one reactant forms 2 products
175
What does the movement of electrons described by a curly arrow represent?
Heterolytic fission or formation of a covalent bond
176
What causes the Cl-Cl bond to break homolytically?
UV light
177
Which atom usually becomes the anion in heterolytic fission?
The more electronegative atom
178
What does a straight double headed arrow pointing between 2 formulas represent?
Resonance
179
What is nucleophilic substitution?
A reaction in which a nucleophile attacks an electrophile, forming a bond. The carbon can only support 4 bonds so another is broken and a leaving group is substituted out
180
What are examples of nucleophiles?
* Anions * Pi Bonds * Atoms with lone pairs
181
What is a lewis base?
A nucleophile
182
How does electronegativity affect lewis basicity?
As electronegativity increases, basicity decreases
183
How does size affect lewis basicity?
As size increases, basicity decreases
184
Why are weak bases the best leaving group in nucleophilic substitution?
As basicity decreases, electronegativity increases causing the ability of the leaving group to leave to increase
185
What affects the speed of nucleophilic substitution?
The strength of the bond being broken, the harder it is to break, the slower the reaction will be
186
What is a lewis acid?
An electrophile
187
How do curved arrows indicate a movement of electrons?
Electrons move from the tail of the arrow to the head of the arrow