Module 4d Intermolecular Forces Flashcards

(20 cards)

1
Q

What is an intermolecular force?

A

Force of attraction that occurs between atoms, molecules, and ions due to their proximity in space to each other.

Due to large number of interactions, intermolecular forces appear stronger.

How well did you know this?
1
Not at all
2
3
4
5
Perfectly
2
Q

What are applications of intermolecular forces?

A

Surface Tension
Capillary Action
Viscosity
Receptor Binding
Phase Changes
Solubility

How well did you know this?
1
Not at all
2
3
4
5
Perfectly
3
Q

The stronger the intermolecular forces, the _________ energy required to increase the surface area.

A

More

How well did you know this?
1
Not at all
2
3
4
5
Perfectly
4
Q

The intermolecular forces in water is __________. Its surface tension will resist the ability of the water to spread out.

A

High

How well did you know this?
1
Not at all
2
3
4
5
Perfectly
5
Q

What is capillary action?

A

The spontaneous rising of a liquid in a narrow tube or the movement of a liquid up a piece of paper against the pull of gravity.

The result of cohesive and adhesive forces.

How well did you know this?
1
Not at all
2
3
4
5
Perfectly
6
Q

What is viscosity?

A

Measure of a liquid’s resistance to flow.

The amount of energy necessary to move an object through a fluid.

Molecule size plays an important role (greater potential for more intermolecular force interactions)

How well did you know this?
1
Not at all
2
3
4
5
Perfectly
7
Q

The vast majority of drug compounds bind to receptors through __________ rather than through formation of ___________.

A

Intermolecular Forces

Chemical Bonds

How well did you know this?
1
Not at all
2
3
4
5
Perfectly
8
Q

A phase change is a representation of the changes in the phase of a substance with respect to _________ and _________.

A

Temperature

Pressure

How well did you know this?
1
Not at all
2
3
4
5
Perfectly
9
Q

Changes in _________ do not break chemical bonds.

A

phase

How well did you know this?
1
Not at all
2
3
4
5
Perfectly
10
Q

What is solubility?

A

Ability to dissolve.

Like dissolves like. Polar compounds likes to be soluble in polar solvents.

Depends, in part, on attractive forces of the solute and solvent.

How well did you know this?
1
Not at all
2
3
4
5
Perfectly
11
Q

Substances with similar ____________ will be soluble (solid in liquid) or miscible (liquid in liquid).

A

polarity

How well did you know this?
1
Not at all
2
3
4
5
Perfectly
12
Q

List the intermolecular forces from weakest to strongest.

A

Van der Waals (London Dispersion Forces)

Dipole-Dipole Interactions

Hydrogen Bonding

Ion-Dipole

Electrostatic Interactions

Covalent

How well did you know this?
1
Not at all
2
3
4
5
Perfectly
13
Q

What are Van der Waals Interaction?

A

Weakest of the IMF. Most common interactions.

Interaction arising from the formation of induced dipoles between two non-polar molecules (or portions of molecules)

C-C bonds

How well did you know this?
1
Not at all
2
3
4
5
Perfectly
14
Q

What are dipole-dipole interactions?

A

Occurs in all polar molecules.
Relative strong interactions, but depends on the nature of individual dipoles involved.

Oxygen partial negative charge to Carbon partial positive charge

How well did you know this?
1
Not at all
2
3
4
5
Perfectly
15
Q

What is hydrogen bonding?

What are the two types?

What elements make hydrogen bonding the strongest?

A

Very strong, specialized dipole-dipole interactions.

H-bond donors- molecule providing the hydrogen. -OH, amines, amides, carboxylic acids.

H-bond acceptors- molecule that attracts the hydrogen. Any functional group with an N or O is a H-bond acceptor.

N, O, and F

How well did you know this?
1
Not at all
2
3
4
5
Perfectly
16
Q

What is an ion-dipole?

A

Very strong interaction between a full formal charge and a dipole.

Depends somewhat on the strength of the dipole

17
Q

What is an electrostatic interaction (ion-ion)?

A

Ionic interaction between cationic portion and anionic portion.

Effective at distances farther than other types of interactions.

Persist longer than other types of interactions.

18
Q

What are covalent bonds?

A

Strongest interaction, limited reversibility. Seldom formed.

19
Q

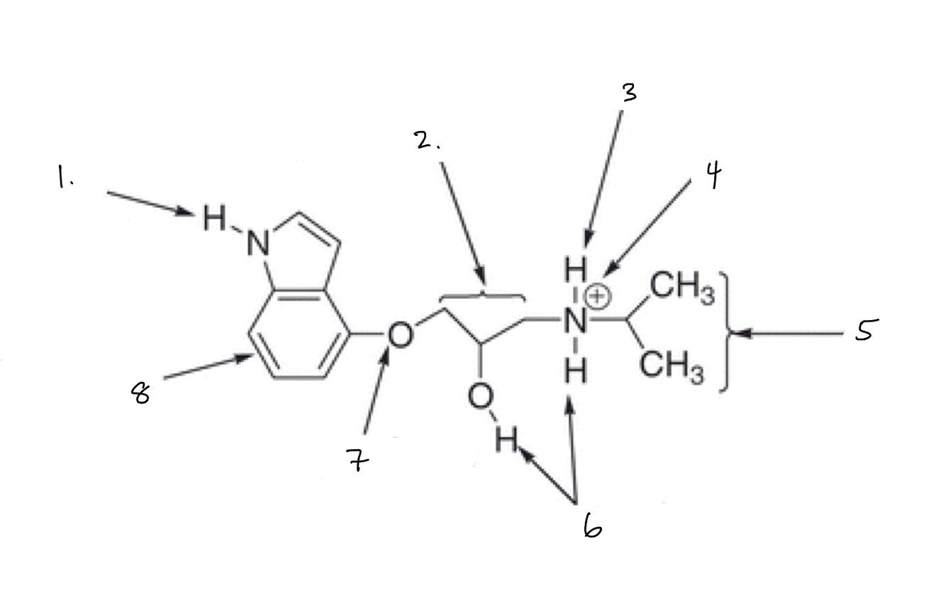
Name the intermolecular forces from #1 to #8

20
Q

Name the intermolecular forces from A to E