module 7 Flashcards

(60 cards)

1
Q

R stereoisomer direction

A

clockwise

How well did you know this?
1
Not at all
2
3
4
5
Perfectly
2
Q

S stereoisomer direction

A

Counterclockwise

How well did you know this?
1
Not at all
2
3
4
5
Perfectly
3
Q
A

Isopropyl

How well did you know this?
1
Not at all
2
3
4
5
Perfectly
4
Q
A

t-butyl

How well did you know this?
1
Not at all
2
3
4
5
Perfectly
5
Q
A

sec-butyl

How well did you know this?
1
Not at all
2
3
4
5
Perfectly
6
Q
A

isobutyl

How well did you know this?
1
Not at all
2
3
4
5
Perfectly
7
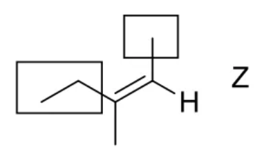
Q

Z – stereoisomer

A

If the priority groups are on the same side

How well did you know this?
1
Not at all
2
3
4
5
Perfectly
8
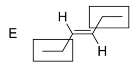
Q

E – stereoisomer

A

If the priority groups are on opposite sides

How well did you know this?
1
Not at all
2
3
4
5
Perfectly
9
Q

Enantiomers

A
  • May have one or more stereocenters
  • All stereocenters must be switched between two structures
  • Have all the same physical properties except optical rotation
How well did you know this?
1
Not at all
2
3
4
5
Perfectly
10
Q

Diastereomers

A
  • Must have a minimum of two stereocenters
  • Must have at least one stereocenter remain the same
  • Completely different physical properties
How well did you know this?
1
Not at all
2
3
4
5
Perfectly
11
Q

Both enantiomers and diastereomers can affect _______ of a compound

A

biological impact

How well did you know this?
1
Not at all
2
3
4
5
Perfectly
12
Q

Suffix for alkanes

A

-ane

How well did you know this?
1
Not at all
2
3
4
5
Perfectly
13
Q

Suffix for alkenes

A

-ene

How well did you know this?
1
Not at all
2
3
4
5
Perfectly
14
Q

Suffix for alkynes

A

-yne

How well did you know this?
1
Not at all
2
3
4
5
Perfectly
15
Q

Substituent suffix for alkanes

A

-yl

How well did you know this?
1
Not at all
2
3
4
5
Perfectly
16
Q

Substituent suffix for alkenes

A

-enyl

How well did you know this?
1
Not at all
2
3
4
5
Perfectly
17
Q

Substituent suffix for alkynes

A

-ynyl

How well did you know this?
1
Not at all
2
3
4
5
Perfectly
18
Q
A

anisole

How well did you know this?
1
Not at all
2
3
4
5
Perfectly
19
Q
A

aniline

How well did you know this?
1
Not at all
2
3
4
5
Perfectly
20
Q
A

phenol

How well did you know this?
1
Not at all
2
3
4
5
Perfectly
21
Q
A

styrene

How well did you know this?
1
Not at all
2
3
4
5
Perfectly
22
Q
A

toluene

How well did you know this?
1
Not at all
2
3
4
5
Perfectly
23
Q
A

cumene

How well did you know this?
1
Not at all
2
3
4
5
Perfectly
24
Q

1-3

A

meta

How well did you know this?
1
Not at all
2
3
4
5
Perfectly
25
1-4
para
26
1-2
ortho
27
steroid
28
quinine
29
morphine
30
benzomorphan
31
phenylpiperidines
32
Barbituate
33
benzodiazepine
34
anesthetics
35
penicillin
36
What is the difference between a benzene and a heterocycle?
Benzene - aromatic Heterocycle - not aromatic
37
benzene
38
pyrrole
39
furan
40
thiophene
41
indole
42
catechol
43
pyrimidine
44
pyridine
45
imidazole
46
Fullerene aka "Bucky Ball"
47
naphthalene
48
anthracene
49
phenanthrene
50
pyrene
51
4-isopropylphenol (p-isopropylphenol)
52
3-methoxyaniline (m-methoxyaniline)
53
2-bromotoluene (o-bromotoluene)
54
3-methylstyrene (m-methylstyrene)
55
morpholine
56
piperazine
57
piperidine
58
tetrahydropyran
59
tetrahydrofuran
60
pyrrolidine