Monnosaccharides Flashcards

(61 cards)

1
Q

Sterioisomers:

A

same atoms in same order, but different spatial arrangements (must have chiral bond)

How well did you know this?
1
Not at all
2
3
4
5
Perfectly
2
Q

D=

A

right

How well did you know this?
1
Not at all
2
3
4
5
Perfectly
3
Q

L=

A

left

How well did you know this?
1
Not at all
2
3
4
5
Perfectly
4
Q

Enantiomers:

A

mirror images

How well did you know this?
1
Not at all
2
3
4
5
Perfectly
5
Q

Mutarotations:

A

when linear monosaccharides take on a cyclic form. (have an additional alpha or beta designation)

How well did you know this?
1
Not at all
2
3
4
5
Perfectly
6
Q

Alpha:

A

hydroxyl group points upward

How well did you know this?
1
Not at all
2
3
4
5
Perfectly
7
Q

Beta:

A

hydroxyl group points downward

How well did you know this?
1
Not at all
2
3
4
5
Perfectly
8
Q

Monosaccharides form cyclic structures when one of their alcohol (OH) groups react with an aldehyde (or ketone) group:

A

Linear monosaccharides are only found when interconverting between various cyclic groups: interconversions=mutations

How well did you know this?
1
Not at all
2
3
4
5
Perfectly
9
Q

Oxidation:

A

can happen at the terminal CH2OH and/or aldehyde end of straight chain forms.

(In blue)

How well did you know this?
1
Not at all
2
3
4
5
Perfectly
10
Q

Reduction:

A

can happen at the aldehyde end of a straight chain

(in red)

How well did you know this?
1
Not at all
2
3
4
5
Perfectly
11
Q

Why does glucaronic acid improve water solubility?

A

It introduces polar groups such as OH (hydroxyl) and COOH (carboxyl) groups into the molecule. These act strongly with hydrophilic molecules drawing more water into the molecule.

Increases glomerular filtration rate (GFR) and reduces absorption in the tubules, which allows for the kidneys to pull it out of the blood easier and expel it through the urine.

How well did you know this?
1
Not at all
2
3
4
5
Perfectly
12
Q

Reducing sugar:

A

a sugar that can reduce a weak oxidizing agent

How well did you know this?
1
Not at all
2
3
4
5
Perfectly
13
Q

Reducing sugars are any sugars capable of reopening into the straight chain form.

A

Cannot have anything other than an OH attached to the anomeric C1 carbon.

How well did you know this?
1
Not at all
2
3
4
5
Perfectly
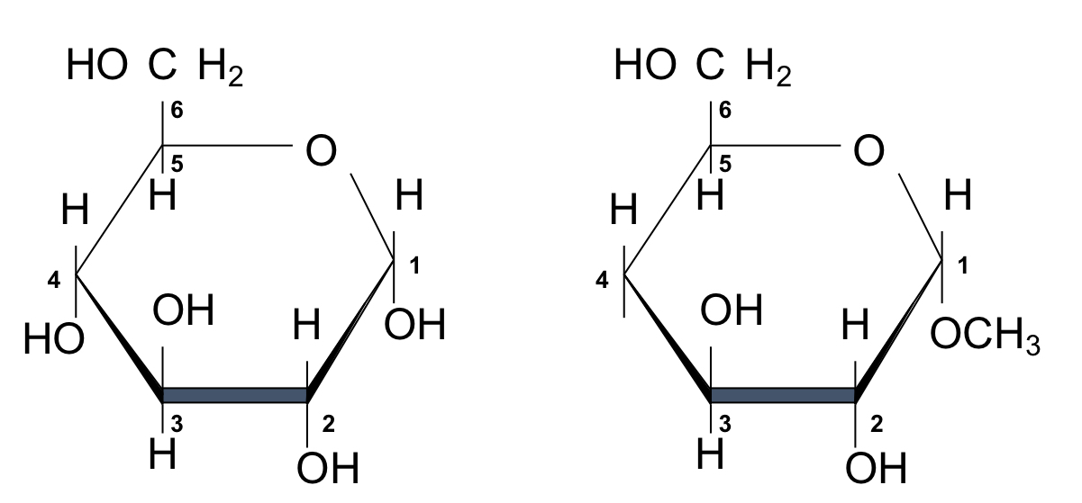
14
Q

What of the following is a reducing sugar?

A

The structure on the Left, because it has a free aldehyde group.

How well did you know this?
1
Not at all
2
3
4
5
Perfectly
15
Q

Testing for sugar in the urine:

A

Copper containing weak oxidizing reagent called Benedict solution is added to urine, the reducing sugars present will turn reddish brown when it’s reduced.

This is how diabetes mellitus is indicated in urine levels.

How well did you know this?
1
Not at all
2
3
4
5
Perfectly
16
Q

Esterifications:

A

sugar esterification typically involve the formation of phosphate or sulfate esters.

How well did you know this?
1
Not at all
2
3
4
5
Perfectly
17
Q

Monosaccharide phosphate esters:

A

phosphate is a better leaving group than a hydroxyl, so adding a phosphate to a monosaccharide makes it more reactive.

How well did you know this?
1
Not at all
2
3
4
5
Perfectly
18
Q

Monosaccharide sulfate esters:

A

Monosaccharides found in connective tissues are often sulfated.

At physiological pH, these sulfates become negatively charged.

These negative charges attract large amounts of water.

This makes CT less dense, so it can occupy 1000’s of time as much space than if packed tightly together.

How well did you know this?
1
Not at all
2
3
4
5
Perfectly
19
Q

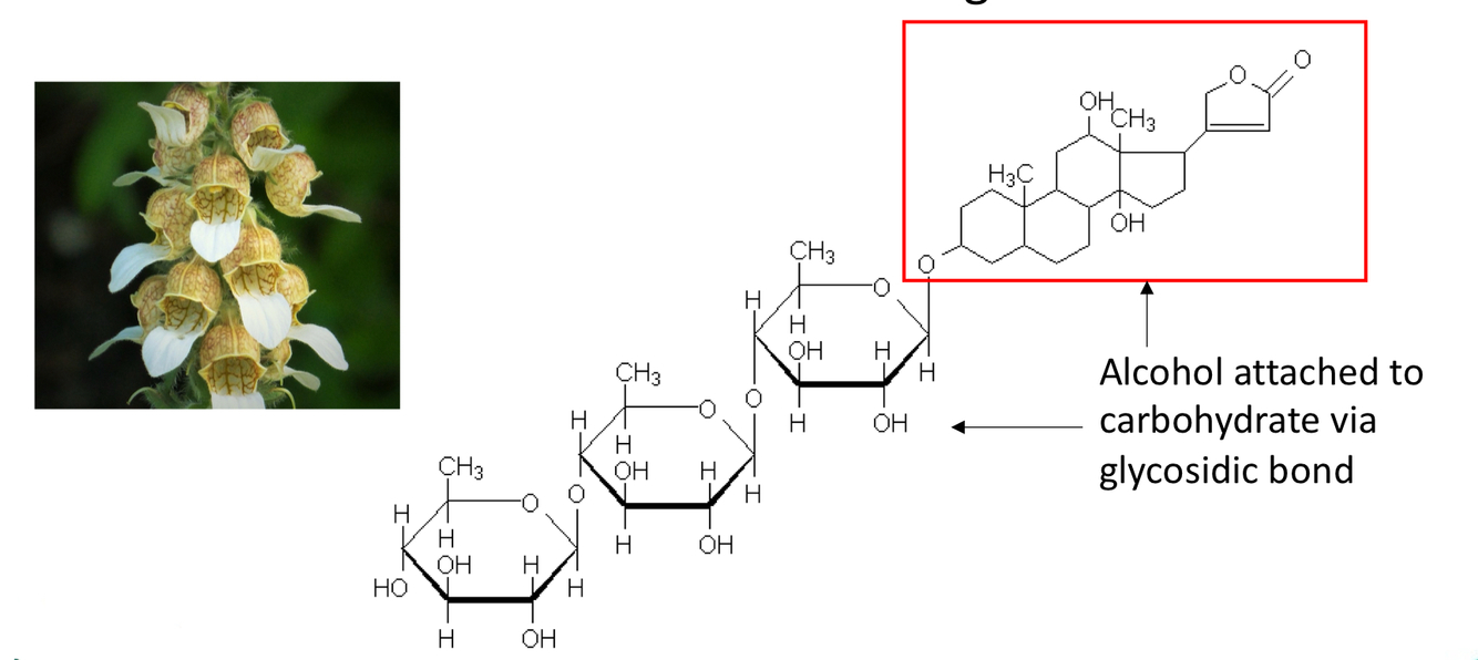
Glycoside formation:

A

Glycosides are sugars in which the OH group on the anomeric carbon is replaced by an alcohol, forming a glycosidic link.

How well did you know this?
1
Not at all
2
3
4
5
Perfectly
20
Q

Glycosides as heart medications:

A

Digoxin: extract from digitalis lanata
“cardiac” glycoside: can improve the contraction of the heart

(useful for someone with congestive heart failure)

How well did you know this?
1
Not at all
2
3
4
5
Perfectly
21
Q

Monosaccharide derivitives:

A
How well did you know this?
1
Not at all
2
3
4
5
Perfectly
22
Q

What is the importance of deoxyribose?

A

crucial component of DNA. Carries all the genetic information of all living organisms.

How well did you know this?
1
Not at all
2
3
4
5
Perfectly
23
Q

Disaccharides:

A

glycosides formed when two sugars join via a glycosidic link.

How well did you know this?
1
Not at all
2
3
4
5
Perfectly
24
Q

Naming a disaccharide:

A

Alpha and beta designations come from the OH positions at C1 of the 1st and 2nd monosaccharide.

The numeric designations come from the carbons associated with the glycosidic bond.

How well did you know this?
1
Not at all
2
3
4
5
Perfectly
25
Disaccharides cont'd: Where do you think the gluco parts of the name come from? what about the pyranos?
Gluco: comes from the monosaccharide in the molecule being a glucose molecule. Pyranos: refers to the type of ring structure.
26
Naming the glycosidic link in a diassacharide:
The alpha, beta designation for glycosidic link comes from the OH position at C1 of the first monosaccharide. The numeric designations come from the carbons associated with the glycosidic bond.
27
Oligosaccharides:
small numbers of monosaccharides linked by glycosidic bonds. Often linked to proteins and lipids to form glycoconjugates.
28
Polysaccharides:
larger numbers of monosaccharides linked by glycosidic bonds.
29
Homopolysaccharides:
chains of all the same monosaccharides Two functional categories: 1) storage: -starch: amylose, amylopectin Plants: Break starch back down to glucose when needed for energy. Animals: ingest starch from plants and break it down to glucose during the digestive process. -glycogen (animals): break glycogen back down to glucose when needed for energy. 2) structural -cellulose (plants)
30
Heteropolysaccharides:
chains of two or more different monosaccharides Function=structural Glycosaminoglycans (aka GAGs) (animals)
31
32
Storage homopolysaccharides:
33
Glycogen has more branch points than amylopectin because it has a higher frequency of α-1,6 glycosidic linkages. The α-1,6 glycosidic linkages are the ones that create the branch points in the polysaccharide chain.
34
Glycosaminoglycans (GAGs):
Heteropolysaccharides Chondroitin sulfate: cartilage, bone, & tendon Dermatan sulfate: skin, blood vessels, heart valves Heparin: mast cells, liver-anticoagulant Keratan sulfate: cornea, cartilage, intervertebral disks Hyaluronic acid: Synovial fluid & eye fluid
35
GAG structure:
Disaccharide units: Acidic & amino sugars Acidic sugar in most GAGs is glucuronic acid. (all except keratin sulfate) Glucuronic acid is an oxidized form of glucose.
36
Amino sugar is GAGs:
Glucosamine or galactosamine
37
The acid groups and sulfates have negative charges- what si the significance of this?
The negative charges on acid groups and sulfates allow them to interact electrostatically with positively charged molecules. This is important for many biological processes, such as enzyme catalysis and protein-protein interactions. Ex) the negative charges on the sulfate groups in heparin, a type of polysaccharide, allow it to bind to positively charged proteins in the blood, preventing them from clotting.
38
The negative charges create:
"slippery" texture (mucous like), as GAGs "slid" past others due to charge repulsion. Large volume of GAGs are hydrated Resilience as tissue can be "squished" when water is pushed out and "expanded" when water is able to return.
39
Glycoconjugates:
Adding mono, di, oligo, or polysaccharides to other molecules creates glycoconjugates. ex) proteoglycans, glycoproteins, glycolipids
40
How are carbohydrates attached to proteins?
Via O- or N- glycosidic links
41
O- glycosidic link:
42
Oligosaccharides are often attached to the OH of Ser or Thr via:
GalNAc
43
N-glycosidic link:
44
Oligosaccharides are often found attached to the amino group (N) of Asn via:
GlcNAc
45
Proteoglycans vs. Glycoproteins:
46
Proteoglycans consist of various GAGs (except hyaluronic acid) attached to core proteins via:
O-glycosidic link: core proteins are then attached to a hyaluronic acid backbone.
47
Physiology of proteoglycans:
Located: ECM -contribute to support and elasticity of tissues ex) cartilage (strength, flexibility, resiliance)
48
Pathology of proteoglycans:
Mucopolysaccharidosis: genetic disease associated with defective proteoglycan metabolism
49
Glycoproteins: What types of monosaccharides are commonly found in the mono, di, and oligosaccharide attachments?
N-acetylglucosamine, N-acetylglucosamine, mannose, galactose
50
What type of carbohydrate is not found on glycoproteins?
Deoxyribose
51
Physiology of glycoproteins:
Often attached to membranes, projecting externally from the cell
52
Glucose:
D-isomer (dextrose) Most important carbohydrate in biology: primary fuel for living cells: stored as a starch in plants and glycogen in animals.
53
Glucose is broken down for energy via what metabolic pathway?
RBC's rely on this for energy, as they do not have mitochondria.
54
What energy producing pathways require mitochondria?
ketogenesis, urea cycle, phosphorylation
55
Fructose is produced from digestion of _________
sucrose
56
Galactose:
epimer of glucose often attached to lipids to make glycolipids or to proteins to make proteoglycans and glycoproteins
57
Lactose:
milk sugar composed of glactose and glucose
58
Lactose intolerance:
deficiency of the lactose enzyme which means lactose isn't broken down into its monosaccharides
59
Maltose:
malt sugar cleavage product of starch that does not appear to exist freely in nature
60
Isomaltose:
isomer of maltose
61
Sucrose:
common table sugar that has a glycosidic bond linking the nomeric carbons of both glucose and fructose, so both need to be taken into account when naming the glycosidic link