Monopolistic competition is a market structure in which barriers to entry are low and many firms compete by ______________________________.
selling similar, but not identical, products.
The key feature here is that the products that monopolistically competitive firms sell are ________________ from one another in some way.
differentiated
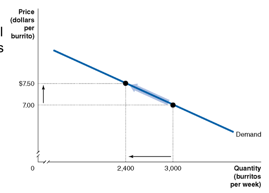
Chipotle raises its price and some but not all of its customers will switch to buying their burritos elsewhere.
This means Chipotle faces a _________________ demand curve.

downward-sloping
Productive efficiency
refers to producing items at the lowest possible cost.
Allocative efficiency
refers to producing all goods up to the point where the marginal benefit to consumers is just equal to the marginal cost to firms.
Monopolistic competition results in ___________________________.
neither productive nor allocative efficiency.
Brand management:
The actions of a firm intended to maintain the differentiation of a product over time.
Marketing:
All the activities necessary for a firm to sell a product to a consumer.
Making customers believe that your product is worthwhile and different typically involves some degree of _________________.
marketing
Assumptions in Monopolistic Competition
How can a company differentiate a good:
If a company is successful at product differentiation you will get customers who are loyal to the brand . If price goes up_________________.
some or many of the customer will still buy the brand.
The Goal of any firm is
economic profit.
Economic profit
Total Revanue-Total Cost
Total Revanue-Total Cost =
Price*Q - ATC*Q
What has happened in this scenario?

In this scenario, a firm enters the market and there is a shift in demand. This shift creates a situation where ATC at P2 is such that there is no econimic profit.