Monopoly Flashcards

(27 cards)

1
Q

Monopoly

A

One firm in the market
Price maker
Monopoly output is market output
Monopoly demand curve is market demand curve
Profit Max - MR = MC

How well did you know this?
1
Not at all
2
3
4
5
Perfectly
2
Q

MR & MC

A
How well did you know this?
1
Not at all
2
3
4
5
Perfectly
3
Q

Profit

A

TR - TC

How well did you know this?
1
Not at all
2
3
4
5
Perfectly
4
Q

Proft max condition

A
How well did you know this?
1
Not at all
2
3
4
5
Perfectly
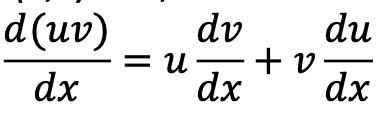
5
Q

Product rule

A
How well did you know this?
1
Not at all
2
3
4
5
Perfectly
6
Q

Elasticity of demand

A
How well did you know this?
1
Not at all
2
3
4
5
Perfectly
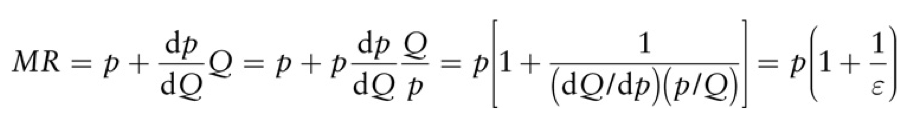
7
Q

MR in terms of elasticity

A
How well did you know this?
1
Not at all
2
3
4
5
Perfectly
8
Q

MR> 0 demand is…
MR<0 demand is

A

MR>0 elastic
MR<0 inelastic

How well did you know this?
1
Not at all
2
3
4
5
Perfectly
9
Q
A
How well did you know this?
1
Not at all
2
3
4
5
Perfectly
10
Q
A
How well did you know this?
1
Not at all
2
3
4
5
Perfectly
11
Q
A
How well did you know this?
1
Not at all
2
3
4
5
Perfectly
12
Q
A
How well did you know this?
1
Not at all
2
3
4
5
Perfectly
13
Q
A
How well did you know this?
1
Not at all
2
3
4
5
Perfectly
14
Q

Lerner index

A

index of firm market power. Another way to examine how elasticity affects a monopoly price relative to its MC

How well did you know this?
1
Not at all
2
3
4
5
Perfectly
15
Q

Competitive and market power Lerner index

A

0 for competitive and 1 for market power

How well did you know this?
1
Not at all
2
3
4
5
Perfectly
16
Q

Elasticity of demand becomes more elastic if

A

better substitutes
more firms selling similar products

17
Q

Welfare max

A

P=MC where profit = 0

19
Q

Tax incidence (change in consumers price / change in tax) can exceed 100% in monopoly but not competitive market

A

raises more revenue using ad galore in monopoly but no difference to competitive market

22
Q

Cost advantages of monopoly

A

Control of an essential facility - scarce resource that a rival firm needs to use to survive
Superior technology
Protection from imitation - through patents

23
Q

Natural monopoly

A

one firm can produce total output of the market at a lower cost than several firms could

24
Gvt actions that create a monopoly
License to operate Rights to be a monopoly Auctioning
25
Gvt actions that reduce market power
Optimal price regulation Non optimal price regulation Increasing competition
26