Multiple Dosing Flashcards

(28 cards)

1
Q

When V is < 42 L it means that

A

the drug is distributed in vasculature and to some extent in
interstitial or extracellular fluid space (ECF). It is not extensively distributed into the peripheral tissues.

How well did you know this?
1
Not at all
2
3
4
5
Perfectly
2
Q

how much

A

FD

How well did you know this?
1
Not at all
2
3
4
5
Perfectly
3
Q

how often

A

tau (dosing interval)

How well did you know this?
1
Not at all
2
3
4
5
Perfectly
4
Q

we give second and subsequent doses at

A

constant time intervals

How well did you know this?
1
Not at all
2
3
4
5
Perfectly
5
Q

as successive doses are given, if next dose(s) is given before drug is completely eliminated, drug will begin to

A

accumulate in the body

How well did you know this?
1
Not at all
2
3
4
5
Perfectly
6
Q

Css

A

plasma concentration at steady-state

How well did you know this?
1
Not at all
2
3
4
5
Perfectly
7
Q

loading C

A

FD/V

How well did you know this?
1
Not at all
2
3
4
5
Perfectly
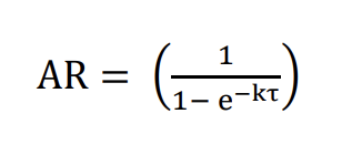
8
Q

accumulation ratio formula

A

1/1-e^-k tau

How well did you know this?
1
Not at all
2
3
4
5
Perfectly
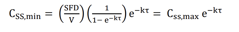
9
Q

Css,max formula

A
How well did you know this?
1
Not at all
2
3
4
5
Perfectly
10
Q

Css,min formula

A
How well did you know this?
1
Not at all
2
3
4
5
Perfectly
11
Q

AR definition

A

relates the initial concentration to Css; indicates extent to which drug accumulates under the dosing regimen

How well did you know this?
1
Not at all
2
3
4
5
Perfectly
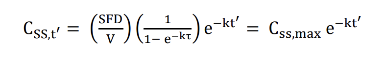
12
Q

Decay

A

e^-kt’

How well did you know this?
1
Not at all
2
3
4
5
Perfectly
13
Q

Formula at any time (t’) during the steady-state

A
How well did you know this?
1
Not at all
2
3
4
5
Perfectly
14
Q

Rate in formula

A

FD/tau

How well did you know this?
1
Not at all
2
3
4
5
Perfectly
15
Q

Rate out

A

Cl * Css,avg

How well did you know this?
1
Not at all
2
3
4
5
Perfectly
16
Q

At plateau

A

Cl * Css,avg = FD/tau

17
Q

Css, avg formula

18
Q

Ass, avg

A

average amount of drug in the body over the dosing interval

19
Q

accumulation ratio

A

amount after a single dose to amount after “n” doses

20
Q

AR formula

21
Q

C1, max * AR

22
Q

C1, min * AR

23
Q

AR is only determined by

24
Q

t1/2 is only determined by

25
Tau is irreversibly proportional to
AR
26
DL formula
27
Which parameters are altered when tau is increased? | dose is given less frequently
decreases AR, Css avg, Css max, Css min
28
Does changing tau affect the time to reach steady state?
Changing tau does not affect the tss, since tss is based on half-life. It does however affect the steady state concentrations.