Nuclear Physics Flashcards

(103 cards)

1
Q

state the strength of ionisation and the range (penetration power), effect in magnetic and electric field for
a) alpha radiation
b) beta radiation
c) gamma radiation

A
How well did you know this?
1
Not at all
2
3
4
5
Perfectly
2
Q

problems with geiger tube

A

cannot identify what the particles are
in areas of high radiation, cannot distinguish between successive pulses

How well did you know this?
1
Not at all
2
3
4
5
Perfectly
3
Q

How to measure count rate

A

measure background radiation and subtract it from its measurements

How well did you know this?
1
Not at all
2
3
4
5
Perfectly
4
Q

How can we use geiger counter to determine the radiation

A

try placing paper between source and geiger counter. If the count does not change then try a few mm of aluminium. If count does not change you have gamma radiation.

How well did you know this?
1
Not at all
2
3
4
5
Perfectly
5
Q

Which out of alpha beta and gamma is the most dangerous

A

alpha most dangerous, gamma least dangerous
alpha difficult to get out of body unlike beta and gamma

How well did you know this?
1
Not at all
2
3
4
5
Perfectly
6
Q

Discuss how a beta source may be used to control the thickness of sheet metal or paper

A

count rate is directly proportional to thickness of paper
use count rate to work out thickness of paper

How well did you know this?
1
Not at all
2
3
4
5
Perfectly
7
Q

Define activity and count rate

A

activity : the actual number of nuclei in a source that decay per unit of time.
count rate : Count rate is the number of ionisation pulses recorded per unit time by a detector. This is usually a small fraction of the overall activity.

How well did you know this?
1
Not at all
2
3
4
5
Perfectly
8
Q

What is the effect on radiation on the human body

A

could cause cells to die or become defective where defective cells divide and produce more defective cells causing cancer. If large number of cells die, body may not be able to reproduce them quickly enough

How well did you know this?
1
Not at all
2
3
4
5
Perfectly
9
Q

What are medical tracers used for

A

a gamma emitter is first injected into the body
organs absorbs radionuclides and emit gamma radiation
gamma sources use das they freely pass out of the body
these sources are used because they have a short half life (exposure to patient decreases rapidly)

How well did you know this?
1
Not at all
2
3
4
5
Perfectly
10
Q

what is radiotherapy used for

A
  • gamma radiation can kill cancer cells
  • they’re contaminated so they can focus on specifically on the cancerous region
How well did you know this?
1
Not at all
2
3
4
5
Perfectly
11
Q

Describe why the line of stability trends the way it does

A

As the number of protons increases the number of neutrons needed to keep the nucleus stable also increases, but at a slightly greater rate. This is because the larger the number of protons in the atom the greater the electrostatic repulsion. Neutrons act to separate the protons and reduce the repulsion

How well did you know this?
1
Not at all
2
3
4
5
Perfectly
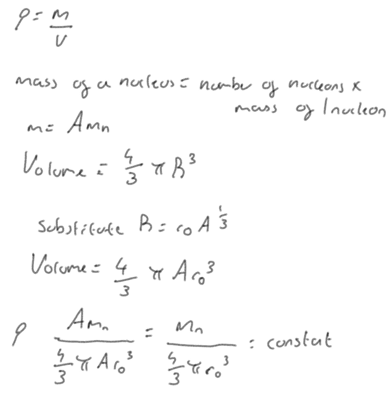
12
Q

Prove that the density of a nucleus always remains constant

A
How well did you know this?
1
Not at all
2
3
4
5
Perfectly
13
Q

Describe Rutherfords alpha scattering experiment to find the diammeter of a nucleus

A

alpha particles are repelled by electrostatic repulsion as both the nucleus and alpha particle are both positively charged
force of replulsion found using equation F = Qq / 4Pi Eo (r^2)
use the fact that the distance of closest approach is when all kinetic energy of alpha particle is converted into potential energy

How well did you know this?
1
Not at all
2
3
4
5
Perfectly
14
Q

Describe electron diffraction experiment to find the diameter of the nucleus

A
How well did you know this?
1
Not at all
2
3
4
5
Perfectly
15
Q

Describe the accuracy of the alpha scattering to find the diammeter of a nucleus

A
  • In the alpha scattering experiment the calculations only produce the distance of closest approach of the alpha’s not the diameter
  • The experiment can’t detect alphas scattered by 180o
  • The alpha’s have their own size which must be taken into account
How well did you know this?
1
Not at all
2
3
4
5
Perfectly
16
Q

Describe accuracy of electron diffraction experiment to find the diammeter of a nucleus

A
  • Electrons need high speed because they need a wavelength similar to the diameter of the nucleus
  • Both experiments need monoenergetic beams and need a thin sample of target material.
How well did you know this?
1
Not at all
2
3
4
5
Perfectly
17
Q

Why do isotopes in nuclear reactors need to have a long half-life

A

if half life was too short they would need to be replaced regularly slowing down productions and costing money to replace

How well did you know this?
1
Not at all
2
3
4
5
Perfectly
18
Q

Describe carbon dating

A
  • used to determine the age of living materials such as plants, animals etc.
  • All living things contain a proportion of carbon-14
  • The activity of a living organism remains constant during their lifetime as the carbon-14 that decays is replaced.
  • Once the organism dies the carbon-14 is no longer replaced. This means the activity of the sample begins to reduce
  • By comparing the activity of a dead organism with that of a living organism you can deduce how long ago the material died.
How well did you know this?
1
Not at all
2
3
4
5
Perfectly
19
Q

Define binding energy (comes in two ways)

A
  • energy released when nucleons come together to form the nucleus
  • It is the energy needed to split an atom into its constituent parts
How well did you know this?
1
Not at all
2
3
4
5
Perfectly
20
Q

How do you compare the stability of different nuclei

A
  • compare the binding energy per nucleon
  • the greater the binding energy per nucleon, the more stable it is
How well did you know this?
1
Not at all
2
3
4
5
Perfectly
21
Q

How does a nucleus become stable

A

Just like electrons, a nucleus has excited states which are unstable. By emitting one or more gamma photons a nucleus can lose energy and return to its ground state. This often occurs with a daughter nucleus after an alpha or beta decay

How well did you know this?
1
Not at all
2
3
4
5
Perfectly
22
Q

State use of technetium generator

A
  • produces a source which emits gamma radiation.
  • technetium used in medial diagnosis applications
  • radioactive isotopes like technetium form in an excited state
  • Nuclei of the technetium isotope has a half life of 6 hours and decays t the ground state by gamma emission
How well did you know this?
1
Not at all
2
3
4
5
Perfectly
23
Q

What is a metastable state, use technetium isotope as an example

A

Technetium isotope form in an excited state after an alpha or beta emission stay in the excited state long enough to be separated from the parent isotope (molybdenum isotope) which has a half life of 67 hours

How well did you know this?
1
Not at all
2
3
4
5
Perfectly
24
Q

What happens when technetium isotope is in the ground state

A

has very long half life and it forms a stable product. As molybdenum is not present, technetium only emits gamma photons.

How well did you know this?
1
Not at all
2
3
4
5
Perfectly
25
What is nuclear fission
- when a heavy nucleus splits into two lighter and more stable nuclei with the release of energy and neutrons
26
What is induced fission
When an atom is bombarded by neutrons New neutron undergoes fusion e.g U-235 is bombarded by neutrons to make U-236 I-236 is unstable and wild undergo fission
27
Alpha particles have the highest ionising power per, beta and gamma have lower Ionising power produced per mm is directly related to ionising power
28
Which has higher range between alpha radiation, beta radiation and gamma radiation and what steps them
Alpha lowest, beta, gamma has highest Alpha : stopped by Paper or few cm of air Beta : stopped by aluminum Gamma : stopped by thick lead or concrete
29
Radiation is spread out evenly over large surface area Inverse square law applies as count rate is proportional to 1/r^2
30
31
Do part ii) using answer from part I)
32
33
34
Purpose of moderator in nuclear reactor
Moderator slows down neutrons and hence they have less kinetic energy So the neutrons are then absorbed by a nucleus
35
Neutrons are absorbed and they collide with nuclei in the shielding Converting the atoms of the shielding into unstable isotopes
36
What is meant by a thermal neutron
- slow moving neutrons / low kinetic energy neutrons - are in thermal equilibrium with the moderator
37
Reaction is U -> Tc and Ln
38
Discuss changes made inside a nuclear reactor to reduce it's power output and explain the process involved
Insert control rods further into the nuclear reactor Which will absorb more neutrons reducing further fission reactions
39
40
41
I don't know what happened here but potential energy radius is not squared
42
43
44
45
Suggest why method of carbon dating is likely to be unreliable if a sample is less than 200 years old
Difficult too measure accurately a small drop in count rate The activity would be very small as there is little decay
46
What equation links power and activity
Power = energy (per decay) x activity
47
B is correct answer A is true because control rods must reduce number of neutrons available for sustaining the chain reaction C is true as this is critical for maintaining consistent neutron absorption D is true as length is adjusted to control the rate of nuclear reaction B is not true because moderators slow down neutrons, not control rods.
48
D - neutrons
49
Most of the mass is concentrated in th nucleus The nucleus contains a positive charge
50
51
52
In E=mc^2 what does m represent
The DIFFERENCE in mass if theres like loads of nuclides involved. If it's asking you for the energy is something is travelling in space then fair enough just use the mass
53
54
55
56
57
What is the use of control rods
On average 2.4 neutrons are released in each fission reaction. Therefore to maintain a steady rate of reaction 1.4 neutrons per fission need to be absorbed. The control rods are made of a material that absorbs neutrons. - putting control rods further into reactor will decrease rate of reaction - this is controlled by a computer to ensure that the rate remains at a constant level - When one fission creates one further fission this is known as critical mass. - In an emergency the control rods are inserted all the way in to stop the rate of reaction. A material suitable for control rods has to be capable of absorbing neutrons. Often Boron is used for this.
58
What are moderators used for
- Neutrons released from a fission reaction have large energy and travel too fast to be absorbed by another uranium nucleus. Each fuel rod is inserted into a material that is reduces the energy of the neutron without stopping them - This is done by having a material where the neutrons can pass through it whilst undergoing collisions with the nuclei in the moderator - each collision reduces energy of neutrons
59
What are thermal neutrons
Neutrons that have been slowed to a sufficient speeds to be absorbed by a uranium nucleus
60
How does a moderator excite and de-excite
- first few collisions between neutrons and the moderator transfer a large amount of energy to the nuclei in the moderator. -moderator nuclei excites into higher energy levels. This position is unstable so they fall back down again emitting photons of high energy electromagnetic radiation. This means the moderator can release gamma rays
61
What safety features does a nuclear reactor need to have
1. The reactor core is a thick steel vessel designed to withstand the high pressure and temperature in the core. The thick steel vessel absorbs ß radiation and some of the γ radiation and neutrons from the core. 2. The core is in a building with very thick concrete walls which absorb the neutrons and γ radiation that escape from the reactor vessel. 3. Every reactor has an emergency shut-down system designed to insert the control rods fully into the core to stop fission completely. 4. The sealed fuel rods are inserted and removed from the reactor by means of remote handling devices. The rods are much more radioactive after removal than before. This is because the fuel cans a. before use contain U-235 and U -238 which emit only α radiation and this is absorbed by the fuel cans, b. after use emit ß and γ radiation due to the many neutron-rich fission products that form.
62
How do you make nuclear fusion work when getting two nuclei to react together even though they are both positively charged
- we need nuclei close enough so the strong nuclear force overcomes the electrostatic repulsion - we need to input some energy to get the nuclei close enough
63
How does fusion work practically
- two nuclei need to be in 1fm of range within each other so strong nuclear force holds nuclei together - to get nuclei on their own, fuse needs to be ionised forming a plasma - All nuclei therefore have a positive charge and will repel - high kinetic energy needed to overcome this repulsion, so plasma needs high temperaure and high pressure
64
Why are high energy electrons used in determining nuclear size
The de Broglie wavelength of high energy electrons can be compared to radius of nucleus
65
66
Why method other than alpha particle scattering are used to determine nuclear radii
67
68
69
What type of radiation could be used to test for cracks in metal pipes
Gamma - they are highly penetrating and can pass through thick materials like metal Alpha can't as it is stopped by Paper or even a few cm of air Beta can't penetrate a few mm of metal, but not enough for thick or dense materials like industrial pipes
70
71
72
Briefly explain what is meant by nuclear fission and by nuclear fusion.
fission when nuclei splits into two nuclei fusion when two nuclei join to form one nucleus
73
74
75
76
Explain what is involved in the process of moderation.
neutrons from fission are fast (high energy) neutrons fission most favourable with low energy neutrons moderation involves slowing down neutrons by collision with moderator atoms large number of collisions required collisions are elastic/k.e. transferred to atoms suitable moderator material named e.g. graphite, water moderator must not absorb neutrons moderator atoms should have (relatively) low mass !
77
Describe how the rate of fission is controlled in a nuclear reactor
control involves limiting number of neutrons excess neutrons absorbed by control rods suitable control rod material named e.g. boron, cadmium control rods inserted into reactor to slow reaction rate
78
What materials are commonly used for moderators, control rods and shielding
moderators : graphite control rods : boron shielding : concrete
79
The subsequent collisions of a neutron with the moderator are elastic. Describe what happens to the neutrons as a result of these subsequent collisions with the moderator.
Kinetic energy is transferred to the moderator A neutrons slows down / loses its kinetic energy eventually reaching speeds associated with thermal random motion or reaches speed which can cause fission
80
A nuclear reactor core is contained in a steel vessel surrounded by concrete. State and explain the purpose of the concrete other than its structural function.
It forms a shield to reduce the intensity of radiation from/ for protection from neutron (and gamma) radiation
81
Why are alpha particles very dangerous to the body
Highly ionising and once inside the body, they can cause cells to become cancerous
82
83
84
85
86
87
88
89
90
91
92
93
94
95
96
97
98
99
100
B
101
102
103