Rutherford alpha particle scattering experiment
Rutherford bombarded gold foil with positively charged alpha particles. Most of the alpha particles passed straight through the gold atoms. A few particles were deflected. Very occasionally an alpha particle bounced back in the direction it came from. This lead to the conclusion that an atom had a small, dense positively charged nucleus at its centre and that most of the rest of an atom was empty space.
conclusions from rutherford scattering
closest approach of a scattered particle
it does this at the point where its electrical potential energy equals its initial kinetic energy.

Alpha (a) decay
An alpha particle is 2 protons and 2 neutrons (i.e. a helium nucleus). When an atom emits an alpha particle its proton number reduces by 2 so it becomes a different element. Alpha particles are positively charged and so can be deflected by electric and magnetic fields.
Beta (b–) decay
A b– particle is an electron so it is negatively charged so it can be deflected by electric and magnetic fields. During b– decay a neutron is converted into a proton and an electron and an antineutrino. This increases the proton number by one making the atom a different element.
Gamma (g) radiation
Alpha and beta decay can produce a daughter nucleus in an excited state. The daughter nucleus can decay by emitting a gamma ray (i.e. a photon of electromagnetic radiation). Gamma rays have no charge and so are unaffected by electric and magnetic fields.
How to identify gamma radiation using simple absorption experiments
gamma ray intensity is halved by 10cm of lead
How to identify alpha radiation using simple absorption experiments
alpha particles are stopped by a few cm of air or a thin sheet of paper
How to identify beta radiation using simple absorption experiments
beta particles are stopped by a few mm of aluminium
Identify gamma using simple electric or magnetic fields
gamma rays are not deflected at all
Identify alpha using simple electric or magnetic fields
alpha particles are deflected in the same direction as other positively charged particles
Identify beta using simple electric or magnetic fields
beta particles are deflected in the opposite direction to alpha particles
Safe handling of radioactive sources
Relative hazards of exposure to humans
Alpha, beta and gamma radiation can ionise atoms in the body. Alpha particles are the most ionising and gamma rays are the least ionising. Alpha particles are the least penetrating and gamma rays are the most penetrating. alpha particles outside the body can be stopped by cloths / skin and are relatively harmless, alpha particles inside the body are very harmful as they are the most ionising outside the body beta particles and gamma rays are more harmful than alpha particles as the can penetrate into the body.
Background radiation
Radiation detectors detect radiation even when no radioactive sources are present. This is because of background radiation which is always present. Background radiation comes from; cosmic rays natural radioactive material in rocks / soil radon gas a small amount comes from medical sources, nuclear power stations and nuclear test Before an experiment the background radiation should be measure so that it can be deducted from the measurements made in the experiment to correct for background radiation.
Inverse square law for g radiation
If you double the distance from a gamma ray source then the intensity of the radiation will be one quarter what it was before (this is an inverse square law)
Radioactive Decay
If an atom is not stable, it will break down to become more stable. the atom decays by releasing energy, until it reaches a stable form - this is called radioactive decay and it is a random process. You cannot predict when an individual nucleus will decay but with large numbers of nuclei you can use a statistical approach.
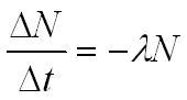
Activity
The activity of a sample is the average number of disintegrations per second its unit is the becquerel (Bq). One becquerel is one decay per second. DN = change in number of undecayed nuclei Dt = change in time in seconds

Decay constant
The decay constant is the probability that a nucleus will decay per second so its unit is s-1. activity = decay constant x the number of undecayed nuclei

initial kinetic energy is equal to electrical potential energy
it does this at the point where its electrical potential energy equals its initial kinetic energy. this is just conservation of energy - and if you know the initial kinetic energy of the alpha particle you’ve fired, you can use it to find how close the particle can get to the nucleus.

nucleons
the particles that make up the nucleus are called nucleons
Can you draw a graph show nuclear radius and nucleon number

radius of nucleus (r) is ____________
directly proportional to A1/3

the relation of r and A1/3
