What are the main structural differences between RNA and DNA?
Base + Sugar → ?
Nucleoside
What are the nucleoside subunits in RNA and DNA?
Which atoms in the sugar-phosphate backbone link to the bases? What type of bond is formed?
The N-9 of a purine and the N-1 of a pyrimidine attaches to the C-1’ of the sugar through an N-glycosidic linkage (ß).
What is the atomic structure of ribose and deoxyribose?

What are the monomer units that are linked to build DNA and RNA?
Nucleotide triphosphates
What is the conventional way in which to write DNA sequences?
In the 3’-to-5’ direction
What are the main features of the Watson-Crick model of DNA?
How does the structure of DNA contribute to its stability?
What are the different structures that DNA can be in?
What are the differences between the different structural forms of DNA?
What form is most DNA in under physiological conditions?
B-DNA
What type of replication does DNA undergo?
Semiconservative replication
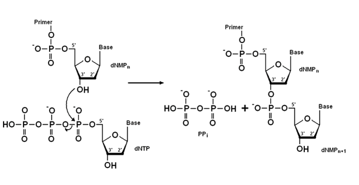
What is the role carried out by DNA polymerases?
DNA polymerases catalyse the step-by-step addition of deoxyribonucleotide units to a DNA chain
(DNA)n + dNTP ⇔ (DNA)n+1 + PPi

What are the main characteristics of DNA synthesis?
List the different types of RNA
The synthesis of RNA from DNA is called ___________ and is catalysed by the enzyme ___ ____________. It catalyses the initiation and elongation of RNA chains.
The synthesis of RNA from DNA is called transcription and is catalysed by the enzyme RNA polymerase. It catalyses the initiation and elongation of RNA chains.
What are the components that RNA polymerase requires?
What are promoter sites?
Regions on DNA templates that specifically bind to RNA polymerase and determine where transcription begins.
What are the main features of the genetic code?
What are the three stop codons? How are they read?
Stop codons are read by release factors which releases the newly sysnthesised protein from the ribosome
Why can eukaryotic genes be described as discontinuous?
Several genes are discontinuous because ther are split up by introns. The average human gene has 8 introns.
What is splicing?
Splicing is a complex operation that is carried out by spliceosomes, which are assemblies of proteins and small RNA molecules.
What is the advantage of having split genes?
Exons can be rearranged to form novel genes, thereby expanding the genetic repertoire.
Alternative splicing allows a variety of similar proteins to be formed without requiring a gene for each protein.