Draw adenosine 5’ trisphosphate

How would deoxyadenosine 5’ triphosphate be different?
Lack an OH group on the 2’C

How is a purine nitrogenous base linked to the ribose or deoxyribose sugar?
N9 to C1’
How is a pyrimidine nitrogenous base connected to a ribose or deoxyribose sugar?
N1 to C1’
The nitrogenous base of a nucleotide or nucleoside is connected to the C1’ or __________ carbon of the deoxyribose or ribose in the ______ configuration.
Anomeric
Beta
What are the three components of a nucleotide?
How is a nucleoside different from a nucleotide?
A nucleoside consists only of the sugar and nitrogenous base; a nucleoside has no phosphate groups attached
What is the name of adenine when bound to ribose?
Adenosine
What is the name of guanine when bound to ribose?
Guanosine
What is the name of cytosine when bound to ribose?
Cytidine
Why is the name of thymine when bound to ribose?
Thymidine
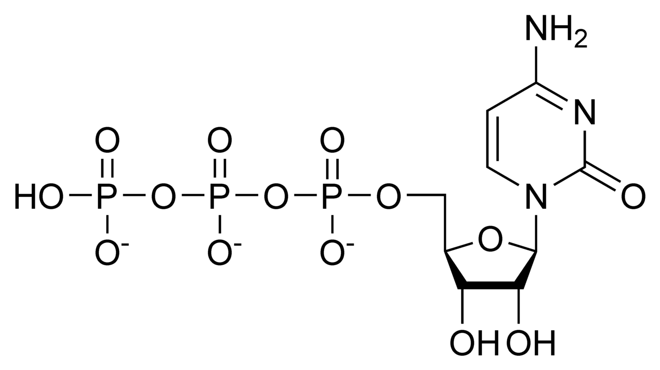
Draw the structure of cytidine 5’ trisphosphate?

Nucleotides play a number of important roles in the cell. What are the four primary ones discussed in class?
What is the name of this nitrogenous base?

Adenine
What is the name of this nitrogenous base?

Guanine
What is the name of this nitrogenous base?

Cytosine
What is the name of this nitrogenous base?

Thymine
What is the name of this nitrogenous base?

Uracil
Draw all 5 nitrogenous bases.

Label all possible hydrogen acceptors (A) and donors (D) in the nitrogenous structures.

What is the anatomy of a hydrogen bond (i.e., in terms of acceptor, donor, etc.)?

How would the hydrogen bonding pattern be different if guanine existed in its enol form?
The carbonyl group would become a hydroxyl group; as such, guanine would pair with thymine or uracil

The enol form of guanine is favored at ____ pHs.
Low (acidic)
Enol guanine pairs with _________ and _________.
Thymine
Uracil