How do nucleophiles attack a carbon atom?
have a lone pair of electrons which they use to attack an electron-deficient carbon
What makes a good nucleophile?
best nucleophiles are the ones that are best at donating their lone pair
List the nucleophiles that react with acid chlorides and acid anhydrides in order of reactivity
What type of reaction is it the an acyl compound?
What do the nucleophiles loose in the process?
a hydrogen ion because all atoms are neutral
one way to look at this is that the hydorgen atoms of the nucleophile has been replaced by an acyl group
What is the product of the addition of ammonia?
an amide
WHat is the product of the addition of a primary amine?
N-substituted amide
What is the product of the addition of water and alcohol?
water - carboxylic acid
alcohol -OH group - ester
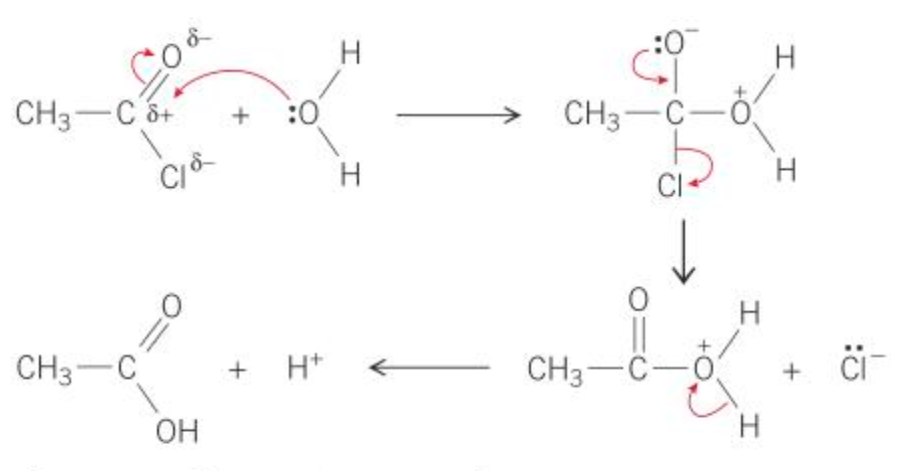
Draw the mechanism for this reaction for ethanoyl chloride and water
the mechanism of these reactions follow the same pattern

Why is ethanoic anhydride used over ethanoyl chloride?
What are the uses of ethanoic anhydride?
Why is asprin described as ‘if it were a new drug today it would be perscription only’?
has side effects
e.g. intestinal bleeding
WHat is asprin used for?