Nukleotider Flashcards

(18 cards)

1
Q
A

Uracil

How well did you know this?
1
Not at all
2
3
4
5
Perfectly
2
Q
A

Pyrimidin

How well did you know this?
1
Not at all
2
3
4
5
Perfectly
3
Q
A

Guanin

How well did you know this?
1
Not at all
2
3
4
5
Perfectly
4
Q

Thymin

A
How well did you know this?
1
Not at all
2
3
4
5
Perfectly
5
Q
A

Thymin

How well did you know this?
1
Not at all
2
3
4
5
Perfectly
6
Q

Uracil

A
How well did you know this?
1
Not at all
2
3
4
5
Perfectly
7
Q

Adenin

A
How well did you know this?
1
Not at all
2
3
4
5
Perfectly
8
Q
A

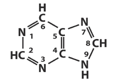
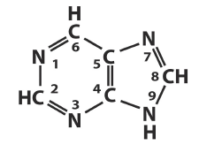
Purin

How well did you know this?
1
Not at all
2
3
4
5
Perfectly
9
Q
A

Cytosin

How well did you know this?
1
Not at all
2
3
4
5
Perfectly
10
Q

Guanin

A
How well did you know this?
1
Not at all
2
3
4
5
Perfectly
11
Q

Pyrimidin

A
How well did you know this?
1
Not at all
2
3
4
5
Perfectly
12
Q

Cytosin

A
How well did you know this?
1
Not at all
2
3
4
5
Perfectly
13
Q

Purin

A
How well did you know this?
1
Not at all
2
3
4
5
Perfectly
14
Q
A

Hypoxantin (bruges i IMP)

How well did you know this?
1
Not at all
2
3
4
5
Perfectly
15
Q
A

Adenin

How well did you know this?
1
Not at all
2
3
4
5
Perfectly
16
Q

Hypoxantin (bruges i IMP)