Tegn og nummerér purinbasen.

Tegn og nummerér pyrimidinbasen

Tegn purinbasen, og angiv, hvor de enkelte atomer kommer fra.

Hvad er forskellen på adenin, adenosin og adenylat?
Adenin - Nukleobasen
Adenosin - Nukleosidet
Adenylat -Nukleotidet
Hvad er forskellen på et nukleosid og et nukleotid?
Nukleosidet består af nukleobasen og ribosyldelen.
Nukleotidet består af et nukleosid og mindt én phosphatgruppe.
Hvad hedder ribosederivatet, som bruges til nukleotidsyntese og hvordan ser det ud?
1-phosphoribosyl-5-pyruphosphat (PRPP)

Hvad hedder enzymerne, som indgår i salvage pathways og danner nukleotider ud fra en nukleobase og PRPP?
Giv et eksempel på en reaktion sådan et enzym kan katalysere.
Phosphoribosyltransferaser.
PRPP + adenin -> Adenylat (AMP) +PPi
Tegn strukturen af adenin.

Tegn strukturen af guanin.

Tegn strukturen af cytosin.

Tegn strukturen af uracil.

Tegn strukturen af thymin.

Hvad er funktionen af ribonukleotid reductase?
Enzymet omdanner ribonukleotider til deoxyribonukleotider ved brug af NADPH.
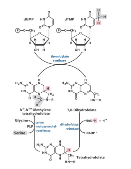
Hvad er funktionen af thymidylat synthase og hvordan indgår tetrahydrofolat i reaktionen?
Thymidylat synthase methylerer dUMP til dTMP ved brug af N5,N10-methylene tetrahydrofolat, som omdannes til 7,8-dihydrofolat.
7,8-dihydrofolat reduceres til tetrahydrofolat af NADPH af dihydrofolat reductase.
N5,N10-methylenetetrahydrofolat kan gendannes ud fra tetrahydrofolat ved at serin nedbrydes til glycin.

Tegn hypoxanithin.
Hvilken nukleobase nedbrydes til hypoxanithin?
AMP nedbrydes til adenosin, som nedbrydes til inosin, som hydrolyseres til hypoxanithin.

Tegn xanithin.
Hvilke(n) nukleobase(r) nedbrydes til xanithin?
Guanin og hypoxanithin nedbrydes til xanithin.

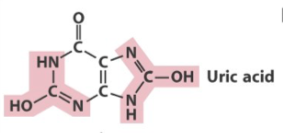
Hvilken forbindelse dannes urinsyre fra?
Hvad hedder enzymet?
Urinsyre dannes fra xanithin ved nedbrydning af purinbaser.
Enzymet hedder xanithin oxidase.
Urinsyre er tungtopløseligt. Hvorfor er dette et problem? Hvilken sygdom kan følge af dette?
Forøget produktion af urinsyre kan føre til at den krystalliserer ud i leddene og giver gigt.
Nævn en forbindelse, der hæmmer xanithin oxidase til behandling mod gigt.
Allopurinol.
Tegn urinsyre.

Hvilket enzym hæmmes af fluorouracil?
Thymidylat synthase. Danner et dead-end komplex.