Number Flashcards

(8 cards)

1
Q

what does the prime factor decomposition of a perfect square look like

A

all terms are to an even power:
eg: 36 = 22 * 32
2025 (452) = 34 * 52

How well did you know this?
1
Not at all
2
3
4
5
Perfectly
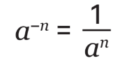
2
Q

negative indices

A
How well did you know this?
1
Not at all
2
3
4
5
Perfectly
3
Q

fractional indices

A
How well did you know this?
1
Not at all
2
3
4
5
Perfectly
4
Q

1/x/y

A

y/x

How well did you know this?
1
Not at all
2
3
4
5
Perfectly
5
Q
A
How well did you know this?
1
Not at all
2
3
4
5
Perfectly
6
Q
A

i.e. root12/root6 = root2

How well did you know this?
1
Not at all
2
3
4
5
Perfectly
7
Q
A
How well did you know this?
1
Not at all
2
3
4
5
Perfectly
8
Q
A

just divide component parts:
14/16 = 7/8
root30/root3 = root10

How well did you know this?
1
Not at all
2
3
4
5
Perfectly