Common Multiple
A common multiple is a number that is a multiple of two or more numbers
Unique Factorization Theom
“Every natural number N can be written as a product of prime numbers in essential a unique way”
What circle theorem does this show


Angle between radius and tangent

Multiples
A multiple of a number is any product of that number and an integer
The opposite angles in a cyclic quadrilateral ALWAY adds up to

Relationship between chord and center

Relationship between the distances from the meeting point of the two tangent to the point where the tangent touches the circle

Relationship between angles at the circumference subtended by the same arc

Least Common Multiple (lcm)
……..

The Remainder Theorem
If a polynomial, f(x), is divided by (x-k), the remainder is equal to f(k)
The Factor Theorem
The polynomial (x-k) is a factor of the polynomial, f(x), if and only if f(k)=0
Combinations of choosing R distinct objects out of a collection of N objects


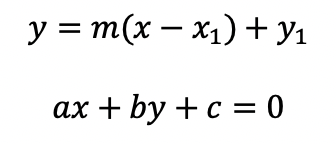
Equation of a straight line

Factor/divisor
A number or algebraic expression that divides another number or expression evenly
Defernition of Prime Number
Highest Common Factor/divisor (gcd)
………

Relationship between the angle subtended by an arc at the center and the angle subtended at the circumference

The angle at the circumfrence in a semicircle is ALWAYS

Binomial Expansion Theorem
