OC Flashcards

(75 cards)

1
Q

Wie läuft die Basenkatalysierte Adol-Reaktion ab?

A

Reaktion zweier Aldehyde zu Alkohol mit einer Aldehyd-Gruppe

  1. Base greift am aciden a-H-Atom an, spaltet es ab und es entsteht ein Carbanion (negative Ladung am C-Atom)
  2. Carbanion greift nucleophil an der COH Gruppe des 2 .Aldehyds an, Doppelbindung zum O klappt nach oben ⇒ negative Ladung am Sauerstoff
  3. Ein Proton bindet an das Sauerstoff wodurch die negative Ladung wegfällt und das Produkt zum Alkohol wird
How well did you know this?
1
Not at all
2
3
4
5
Perfectly
2
Q

Wie läuft die Säurekatalysierte Aldol-Reaktion ab?

A
  1. Enolisierung einer der Carbonylverbindungen
    - Proton an das 0
    - H vom zweiten C abspalten
    - Doppelbindung zwischen zweiten und ersten C
  2. Nukleophile Addition des Enols an die andere Verbindung
    - Doppelbindung zum ersten C Atom, Doppelbindung zum O klappt hoch
    - Proton vom Enol spaltet sich ab,
How well did you know this?
1
Not at all
2
3
4
5
Perfectly
3
Q

Sn1 - Mechanismus

A
  1. Von dem Edukt spaltet sich der Substituent X ab
    - es entsteht ein Carbonkation und X-
  2. Carbonkation reagiert mit Nukleophil, welches von zwei Seiten angreifen kann, da das Kation nun planar ist
  3. Es entsteht ein Racematgemisch (1:1) von zwei Enantiomeren (S,R)
How well did you know this?
1
Not at all
2
3
4
5
Perfectly
4
Q

Sn2- Mechanimus

A
  1. Das Nukleophil greift am tetraedischen Molekül an
    - Inversion der Konfiguration am Kohlenstoffatom
  2. Am C - Atom binden kurzzeitig 5 Substiuenten (Ion)
    - Das Nukleophil kann somit nur von einer Richtung angreifen
  3. Ein Substituent löst sich und es entsteht ein einheitliches Produkt
How well did you know this?
1
Not at all
2
3
4
5
Perfectly
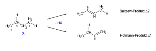
5
Q

E1 - Mechanismus

A
  1. Erster Schritt wie beim Sn1 - Mechanismus
    - a-C-Atom wird vom X-Substituenten gespalten
  2. Vom ß-C-Atom wird ein H abgespaltet, wodurch eine Doppelbindung zwischen dem a-C und dem ß-C entseht
  3. Es entstehen Produktgemische, da die Eliminierung des H -Atoms an mehreren Stellen ansetzen kann
    - Saitzew-Produkt: höher substituierte Doppelbindung, thermodynamisch stabiler
    - Hofmann-Produkt: niedriger substituierte Doppelbindung, kinetische Gründe
How well did you know this?
1
Not at all
2
3
4
5
Perfectly
6
Q

E2 - Mechanismus

A
  1. Die Base geht vorübergehend eine Bindung mit Wasserstoff am a-C-Atom ein
  2. Dieser instabile Übergangszustand wird durch Abspalten der BH-Gruppe und des Substituenten X gelöst und es bildet sich die Doppelbindung
  3. Diese beiden Gruppen müssen in einem 180° Winkel zueinander stehen, damit die p-Orbitale überlappen und die Doppelbindung bilden können
How well did you know this?
1
Not at all
2
3
4
5
Perfectly
7
Q

Friedel-Crafts-Alkylierung

A

Es wird ein Aromat mit einem Alkylhalogenid, Alkohol, Alken oder Alkin

  1. Ein Halogenalkan wird durch einen Lewis-Säure (FeBr3, AlCl3) polarisiert
  2. Das Halogen verbindet sich vorübergehen mit dem Katalysator
  3. Ein Wasserstoff wird abgespaltet und der Alkyrest bindet an das Aromat
  4. Positiv geladene, alkylierte Kohlenstoffverbindung und negativ geladener Katalysator
  5. Ein Proton spaltet sich vom Aromat ab und bindet mit dem Halogen
    - Katalysator geht unverändert aus der Reaktion
How well did you know this?
1
Not at all
2
3
4
5
Perfectly
8
Q

Friedel-Crafts-Acylierung

A
  1. Die Lewis-Säure (äquimolare Masse notwendig) bindet vorrübergehend mit dem Halogen, wodurch das benachbarte C Atom positiviert wird
  2. Nun wird vom Aromat ein H Atom abgespalten und das Carbanion bindet daran
  3. Problem: Die Lews-Säure kann sich an das Sauerstoff-Atom hängen, welches einen stabilen Komplex darstellt
How well did you know this?
1
Not at all
2
3
4
5
Perfectly
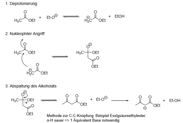
9
Q

Claisenkondensation

A
  1. Bei der Claisen-Esterkondensation reagieren zwei Moleküle eines Carbonsäureesters unter Basenkatalyse zu einem β-Ketoester
  2. Estermolekül an der a-Position durch Base deprotoniert
  3. Carbanion greift nucleophil das zweite Molekül an
    ⇒ analog zur Adolkondensation
  4. Abspaltung eines R-O-
  5. Acides H am a-Kohlenstoff wird abgespalten und es entsteht ein Alkohol und eine Ketocarbonsäure
How well did you know this?
1
Not at all
2
3
4
5
Perfectly
10
Q

Was ist der -/+ I-Effekt? Nenne jeweils Beispiele

A

Der I-Effekt beschreibt die Fähigkeit eines Atoms die Bindungselektronen zu sich hin zu ziehen (-I-Effekt) oder von sich weg zu drücken (+I-Effekt), dies geschieht durch die EN

+I-Effekt: -O-, -NR -, -SiR3, -BR 2 Metalle (-Li, MgX etc.) - Alkyl ⇒ alle Anionen, Metalle und Alkylgruppen
-I-Effekt:
- I < -Br < -Cl < -F
-NR3+ < -OR 2 +
⇒ alle elektronegativen Elemente (O,N, Halogen), alle Kationen und sp2- und sp-hybridisierten Kohlenstoffatome

How well did you know this?
1
Not at all
2
3
4
5
Perfectly
11
Q

Was ist Chiralität?

A
  • Chirale Verbindungen lassen sich nicht durch Drehen ineinander überführen
  • Ein Kohlenstoffatom mit vier verschiedenen Substituenten ist immer chiral ⇒ Chiralitätszentrum
How well did you know this?
1
Not at all
2
3
4
5
Perfectly
12
Q

CIP-Konvention

A
  1. Indentifizierung des Chiralitätszentrums
  2. Priorisierung der Substituenten nach der Ordnungszahl
  3. Substituent mit der niedrigsten Priorität wird nach hinten gestellt
  4. Von 1 bis 3 im Kreis zählen
  5. Kreis im Uhrzeigersinn: R-Konfiguation
    Kreis gegen den Uhrzeigersinn: S-Konfiguration
How well did you know this?
1
Not at all
2
3
4
5
Perfectly
13
Q

Wie sieht D-Erythrose und -D-Erythrofuranose aus?

A
How well did you know this?
1
Not at all
2
3
4
5
Perfectly
14
Q

Wie sieht D-Threose und-D-Threofuranose aus?

A
How well did you know this?
1
Not at all
2
3
4
5
Perfectly
15
Q

Wie sieht D-Ribose und ß-D-Ribofuranose aus?

A
How well did you know this?
1
Not at all
2
3
4
5
Perfectly
16
Q

Wie sieht D-Ribulose und ß-D-Ribolufuranose aus?

A
How well did you know this?
1
Not at all
2
3
4
5
Perfectly
17
Q

Wie sieht D-Desoxyribose und ß-D-Desoxyribose aus?

A
How well did you know this?
1
Not at all
2
3
4
5
Perfectly
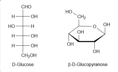
18
Q

Wie sehen D-Glucose und ß-D-Glucose aus?

A
How well did you know this?
1
Not at all
2
3
4
5
Perfectly
19
Q

Wie sehen D-Mannose und ß-D-Mannose aus?

A
How well did you know this?
1
Not at all
2
3
4
5
Perfectly
20
Q

Wie sieht D-Galactose und ß-D-Galactose aus?

A
How well did you know this?
1
Not at all
2
3
4
5
Perfectly
21
Q

Wie sehen D-Fructose und ß-D-Fructose aus?

A
How well did you know this?
1
Not at all
2
3
4
5
Perfectly
22
Q

Reaktivität von Carbonylen

A
How well did you know this?
1
Not at all
2
3
4
5
Perfectly
23
Q

Die pKs –Werte der proteinogenen Aminosäuren

A
How well did you know this?
1
Not at all
2
3
4
5
Perfectly
24
Q

Was ist der Isoelektrische Punkt?

A
  • Der pH Wert, bei dem eine Aminosäure oder ein Peptid eine Nettoladung von null hat, ist der Isoelektrische Punkt. Er ist von den pKs-Werten der einzelnen funktionellen Gruppen abhängig und für jede Aminosäure eine charakteristische Konstante
  • Bei diesem pH-Wert wandert die Aminosäure nicht im elektrischen Feld
How well did you know this?
1
Not at all
2
3
4
5
Perfectly
25
Wie verläuft die Pufferkurve einer Aminosäure?
26
Was für ein Problem tritt bei der Dipeptid-Bildung auf und wie wird es gelöst?
* Bei der Dipeptid-Bildung können sich vier verschiedenen Konstitutionsisomere bilden * Um das gewünschte Dipeptid zu erhalten, muss jeweils eine Carboxylgruppe und eine Aminogruppe geschützt werden * Schutzgruppe (Urethane) für die Aminogruppe: - tert-Butyl = Boc - Benzyl = Cbz oder Z - Fmoc = (Fluorenyloxycarbonyl) * Schutzgruppe (Ester) für die Carboxygruppe - tert.-Butyl oder Benzyl
27
Wieso muss man die Carboxylgruppe verestern bevor sie mit der Aminogruppe reagiert?
* Eine Aminogruppe und eine Carboxygruppe reagieren nicht so einfach mit einander, da sich das H von der OH Gruppe abspaltet und eine mesomerer Zustand entsteht, da die Doppelbindungen zwischen den Sauerstoffen hin und her wandert, wodurch der nucleophile Stickstoff, nicht am C-Atom angreifen kann * Es wird ein Aktivester z.B DCC ( Dicyclohexylcarbodiimid) eingesetzt, der mit der OH-Gruppe reagiert, wodurch das H abgespaltet wird und das O sich direkt mit dem Kohlenstoff des DCC verbindet * Dadurch, bleibt der Kohlenstoff der Carboxylgruppe positiviert und der Stickstoff der Aminogruppe kann angreifen
28
Was sind die Reaktionsschritte bei der Merrifield Festphasensynthese?
1. Das Festphase-Polymer (Merrifield-Harz) besitzt eine OH-Gruppe 2. Eine Aminosäure, die am N-Terminal durch die Schutzgruppe Boc geschützt ist, reagiert mithilfe von DCC an der Carboxylgruppe unter Wasserabspaltung mit der OH-Gruppe des Polymers 3. Die Schutzgruppe Boc wird abgespalten ⇒ "freie" Aminogruppe am Polymer 4. Eine weitere, an N-Terminal geschützt Aminosäure reagiert mithilfe von DCC und der Abspaltung von Wasser mit der freien Aminogruppe 5. Boc Schutzgruppe wird wieder abgespalten 6.
29
Was sind die Vor-und Nachteile der Merrifield-Synthese?
_Nachteile_: - bei der Synthese in Lösung fallen bei jedem Schritt äquimolare Mengen an Nebenprodukten aus - Das Produkt muss nach jedem Schritt von den restlichen Nebenprodukten getrennt werden ⇒ unerwünschte Nebenreaktionen - jeder Kopplungsschritt muss eine Ausbeute von 99% haben, damit sich die Gesamtausbeute lohnt _Vorteile_: - Abfallprodukte können einfach abgefiltert werden - bei einem hohen Überschuss an Aminosäuren, liegt die Kopplungsausbeute bei 99% - Automatisierung ist mittlerweile Standard - Das Prinzip konnte bereits auf andere Biopolymer-Klassen übertragen werden (DNA/RNA Synthesen=
30
Was sind Lipide, welche sind hydrolysierbar, welche nicht?
* Lipide sind Naturstoffe die durch ihren lipophilen (gut in Fett oder Öl lösbar) Charakter definiert sind * hydrolysierbar (polarisierte Stelle): - Fette: Glycerin mit 3 Fettsäuren verestert - Wachse: Fettsäure mit langkettigen Alkohol verester - Sterolester: Fettsäure mit einem Sterolester * nichthydrolysierbar: - Kohlenwasserstoffe - langkettige Alkohol - Fettsäuren
31
Was sind Glycerolipide?
* ein Lipid, dessen unpolare Seitenkette kovalent an das Glycerol gebunden ist * Glycerolipide sind einfach bis dreifach substituierte Glycerole
32
Was für Modifikationen eines Kohlenhydrats können eintreten?
* Oxidation eines endständigen Kohlenstoffs zur Carbonsäure (Gluconsäure, Glucuronsäure) * Reduktion einer Aldehyd-oder Ketogruppe zum Alkohol Zuckeralkohole z.B. Sorbit, Ribitol, Glycerol * Austausch der OH-Gruppe gegen eine Aminogruppe Aminozucker z.B. Glucosamin, Galactosamin * Austausch einer OH-Gruppe gegen ein Wasserstoffatom Desoxyzucker z.B. Desoxyribose, Fuctose
33
Wann ist ein Molekül nach der Hückelregel ein Aromat?
* Ein planares, cyclisch durchkonjugiertes Molekül ist mit [4n+2] π-Elektronen besonders stabil und wird als Aromat bezeichne
34
Was ist der Unterschied zwischen Peptiden und Proteinen?
* Peptide sind Polyamide, die aus Aminosäurebausteinen aufgebaut sind (\< 100 AS) * Proteine sind größer (\>100 AS) und komplexer als Peptide. Sie können aus mehreren Peptidketten bestehen und weisen eine komplexe räumliche Struktur auf
35
Worin liegen die chemischen Unterschieden zwischen Stärke und Cellulose?
* Cellulose hat eine beta 1, 4-Verknüpfung zwischen den Glukoseeinheiten, während Stärke alpha 1, 4 Verbindungen bildet * Cellulose ist meist aus linearkettigen Glucosemolekülen aufgebaut, während Stärke auch in verzweigter Form auftritt
36
Wie lautet die akutelle Definition von Kohlenhydraten?
* Heutzutage werden Kohlenhydrate als Polyhydroxy-Aldehyde (Aldosen) oder Polyhydroxy-Ketone (Ketosen) definiert. * Sie liegen als cyclische (Halb-)Acetale bzw. (Halb-)Ketale vor
37
Wie ist die Endung für ein Molekül mit einer/zwei oder drei Doppelbindung
* eine DB: en * zwei DB: dien * drei DB: trien
38
Welches ist das stabilere Carbeniumion?
Das sekundäre Carbeniumion
39
Wie läuft die Radikalkettenreaktion ab?
40
Stabilitätsreihe von Radikalen?
Tertiäres Radikal ist stabiler als das sekundäre, welches stabiler ist als das primäre
41
Was ist der +M-Effekt?
_+M-Effekt:_ Bei +M-Effekten erhöht sich die Elektronendichte des mesomeren Systems, da der Substituent ein freies Elektronenpaar hat - dirigieren weitere Substituenten in ortho/para-Stellung Bsp.: –O− –NH2 –NR2 –OH –OR –NH(CO)R –O(CO)R –(Aryl) (z. B. –Phenylgruppe) –Br, –Cl, –I, –F
42
Was ist der -M-Effekt?
_-M-Effekt:_ Bei−M-Effekten wird dem mesomeren System Elektronendichte entzogen, da der Substituent eine Doppel- oder Dreifachbindung besitzt - dirigiert weitere Substituenten in die meta-Position –COOR –COOH –CHO –(CO)R –CN –CH=CH–COOH –NO2 -SO3H
43
Was besagt die Markownikow-Regel?
* In der elektrophilen Addition von Protonensäuren an unsymmetrisch substituierte Alkene tritt das H-Atom stets an das H-reichste Kohlenstoffatom der C-C Doppelbindung
44
Was für Polymerisationsarten gibt es?
* Radikalische Polymerisation * Kationische Polymerisation (elektrophiler Inititator) * Anionische Polymerisation (nucleophiler Inititator (Reaktion läuft mit ausreichenden Monomeren immer weiter, bis man Stoffe hinzufügt, die die Reaktion beenden ⇒ lebendes Polymer)
45
Wie verläuft allgemein die Elektrophile Substitution an Aromaten? Welche Katalysater sind bei der Bromierung, Sulfonierung, Nitrierung, Alkylierung notwendig?
46
Wie verläuft der Additions-Eliminierungs-Mechanismus an Aromaten?
1. Ein Substituent im einem -M-Effekt, zieht ein Elektronenpaar aus dem System 2. Das Nucleophil bindet mit an die Stelle des X-Substituenten 3. Der X-Substituent spaltet sich ab und es wird wieder ein Elektronenpaar ins System eingeführt
47
Wie reagieren Alkohole als Säuren, Basen und Nucleophilen?
* Säuren: H der OH-Gruppe wird abgespalten * Basen: OH-Gruppe nimmt weiteres H auf * Nucleophil: H spaltet sich ab und es bildet sich eine Ether-Gruppe zwischen dem Alkohol und dem zweiten Molekül * Elektrophil nicht möglich, das Alkohole als Säure reagieren ⇒ Durch saure Katalyse möglich, da sich Wasser abspaltet und das C-Atom positiv wird
48
Wie verläuft die grundlegende nucleophile Addition an Carbonylverbindungen?
1. Das Nucleophil greift an der stark polarisierten C=O Bindung an 2. Doppelbindung zum O klappt auf und bindet an ein Wasserstoffatom 3. Nucleophil bindet an das C-Atom
49
Was ist NADH und welche Funktion hat es?
Nicotinamidadenindinukleotid (Nicotinamid-Adenin-Dinukleotid, abgekürzt NAD) ist ein Coenzym, das formal ein Hydridion überträgt (Zwei-Elektronen/Ein-Proton). Es ist an zahlreichen Redoxreaktionen des Stoffwechsels der Zelle beteiligt Bsp.: Atmungskette
50
51
Was ist die Keto-Enol-Tautomerie?
Als Tautomere bezeichnet man Isomere, die durch die Wanderung einzelner Atome oder Atomgruppen schnell ineinander übergehen H wandert vom aciden a-C-Atom zum Sauerstoff und es bildet sich eine Doppelbindung zwischen dem Carbonylkohlenstoffatom und dem a-C-Atom
52
Was ist die C-Acidität?
Das dem Carbonylkohlenstoffatom benachbarte Kohlenstoffatom (α-C-Atom) zeichnet sich durch eine ungewöhnlich hohe Acidität der C-H Bindung aus. Der Grund liegt in dem Elektronenzug des Carbonyl-Sauerstoffs und der Mesomeriestabilisierung der konjugierten Base (Enolation)
53
Wann spricht man von einer Z- bzw. E-Isomerie?
54
Mechanismus der Esterbildung mit einer Carbonsäure
1. Protonierung der Säure am Carbonylsauerstoff 2. Alkohol greift nukleophilan, Wanderung der p-Elektronen zum Sauerstoff 3. Protonenwanderung (Tautomerie) 4. Kondensation (Abspaltung von Wasser) 5. Deprotonierung
55
Wie entstehen Carbonsäureamide, was ist das Problem bei der Reaktion und wie wird es verhindet?
* Das Carbonsäure protoniert das Amin * Dadurch, ist der Stickstoff nicht mehr nucleophil und der Kohlenstoff der Carbonsäure wird von den Elektronen der Sauerstoffe "abgeschirmt" * Reaktion nur mit einem Carbonsäureclorid oder Säureanhydrid möglich z. B.: Chlor spaltet sich ab und bildet HCl, Amin bindet an die Carbonsäure
56
We entstehen Carbonsäureanhydride?
* Zwei Carbonsäuren reagieren miteinander unter der Abspaltung von Wasser * Starkes Entwässerungsmittel notwendig z.B. Schwefelsäure
57
Wie entstehen Carbonsäurechloride?
* Darstellung aus Carbonsäure und anorganischen Säurechloriden
58
Wie verläuft die Michael-Additions?
* Die Michael-Addition verläuft über eine nukleophileAddition an eine vinyloge Carbonylverbindung * Vinylogieprinzp: α,β ungesättigte Carbonylverbindungen (vinylcarbonyle) sind am β-Kohlenstoff positiv polarisiert
59
Was sind Derivate?
Als Derivat wird in der Chemie ein abgeleiteter Stoff ähnlicher Struktur zu einer entsprechenden Grundsubstanz (Stammverbindung) bezeichnet
60
Wie ist die Struktur eines sp-,sp2-und sp3-Orbitals? Welche Winkel nehmen die Strukturen ein?
* sp-Orbital: lineare Struktur, 180° * sp2-Orbital: planar, 120° * sp3-Orbital: tetraedrisch, 109,5°
61
62
Wie ist ein Halbketal und ein Halbacetal aufgebaut? Was muss verändert werden, damit es zum Vollketal bzw, -acteal wird?
Am R1 muss ein zusätzliches Sauerstoff-Atom sein
63
Wie verläuft die grundlegende Reaktion zu einem Dipeptid und wie sieht es allgemein aus?
64
Welche sind die Aminosäuren mit geladener Seitenkette?
* Histidin * Arginin * Lysin * Glutaminsäure * Asparaginsäure
65
Definition, Beispiel und BIndungstyp der Proteinstrukturen
66
Wie sieht Pyridin aus?
67
Wie sieht Purin aus? Welche Stoffgruppe leitet sich von dem Molekül ab?
Die Purine sind eine Stammgruppe die zu den Heterocyclen gehört und von dem Molekül Purin abgeleitet ist
68
Wie sieht Pyrimidin aus?
69
Nukleobasen-welche gibt es, wie werden sie zusammengefasst und ist der Unterschied zwischen den Gruppen?
* Purine: - Adenin (NH2-Gruppe nach oben) und - Guanin (DB zum Sauerstoff nach oben) ⇒ Bicyclo-Kohlenstoffe * Pyrimidine: - Cytosin (NH2-Gruppe nach oben), - Thymin (DB zum Sauerstoff nach oben) und - Uracil (genau wie Thymin nur mit Methyl-Gruppe und nur in der RNA) ⇒ Einzelner Kohlenstoffring
70
Nukleosid vs. Nukleotid vs. Nukleinsäure
* Nukleosid: Bestehen aus einer Nukleobase und einer Pentose * Nukleotid: Bestehen aus einer Nukleobase, einem Zucker und einem Phosphatanteil * Nukleinsäure: Makromolekülen aus Nukleotiden (Desoxyribonukleinsäure, Ribonukleinsäure)
71
Wie ist ATP aufgebaut? Was ist die Funktion?
* ATP besteht aus einem Adeninrest, dem Zucker Ribose und drei Phosphaten * Adenosintriphosphat ist der universelle und unmittelbar verfügbare Energieträger der Zelle * Zwei energiereiche Bindungen der Phosphatanhydrid-Bindungen
72
Funktionsweise der ATP-Synthase
* Die ATP-Synthase dreht sich wie ein Mühlrad und verbindet ADP mit einem Phosphat zu ATP * Die potenzielle Energie dafür kommt aus einem Protonengradienten über die innere Mitochondrienmembran * Die Protonen fließen durch die ATP-Synthase wie Wasser durch eine Mühle
73
RNA und DNA Unterschied
* DNA **Desoyr**ibonukleinsäure - Basen: A+T, G+C - Struktur: Im Doppelhelix/ Doppelstrang aufgebaut - Funktion: Speicherung des Erbguts * RNA **Ribon**ukleinsäure - Basen: A+U, G+C - Struktur: meistens Einfachhelix/ Einzelstrang; kann Schleifen und Antiparallele Strukturen haben - Funktion: Die RNA kann genetische Information übertragen, trägt zur Übersetzung von Information in Proteine bei, dient der Regulation von Genen, kann katalytische Funktionen haben
74
Wo liegt der Schmelzpunkt der DNA?
* Der Schmelzpunkt der DNA ist als die Temperatur definiert, bei der die Hälfte der Stränge in Einzelsträngen denaturiert vorliegt * Dieser Punkt ist abhängig von den Basenpaarungen, C+G Bindungen sind durch die dreifache WBB stärker als A+T Bindungen * Einzelsträngige DNA absoribiert DNA 40% mehr als DNA im Dopppelhelix
75
Von der Keilstrichform in die Fischer-Projektion
KSF rechts+vorne ⇒ links KSF rechts+hinten ⇒ rechts KSF links+vorne ⇒ rechts KSF links+hinten ⇒ links