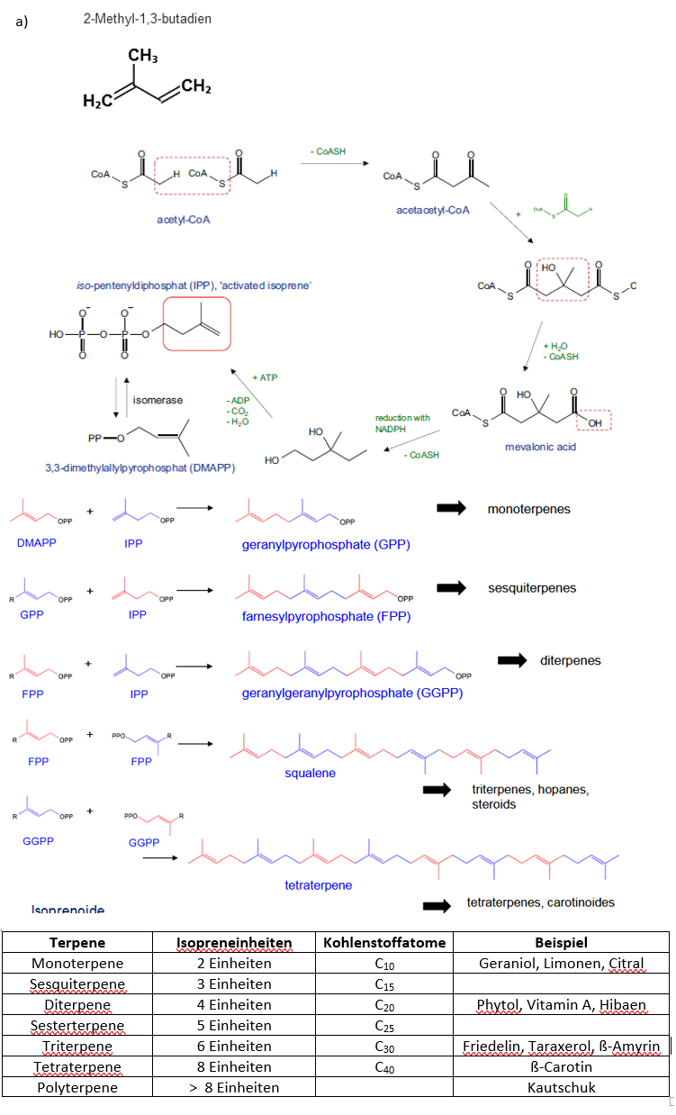
Isoprenoide sind eine wichtige Naturstoffgruppe:

Fettsäuren sind eine wichtige Naturstoffgruppe, die auch in der Organischen Geochemie Relevanz besitzt
a) Warum dominieren in Organismen diejenigen Fettsäuren, die eine gerade Kohlenstoffanzahl besitzen?
b) Was entsteht bei der Diagenese von Fettsäuren und wie entstehen sie?
c) In einer Sedimentprobe wurden folgenden Fettsäuren identifiziert:
Welcher Ablagerungsraum lässt sich daraus schließen? Welche Gruppen können ausgeschlossen werden und warum?
(Tipp: In Vorlesung und Tutorium als Diagramme dargestellt.)
d) Welche Substanzen sind die Hauptprodukte der Diagenese der Fettsäuren?
Wie werden sie gebildet?
Skizzieren sie den globalen Kohlenstoffkreislauf einschließlich Depotgrößen und Massenflüssen (Tipp: Alle genauen Werte und Prozesszahlen mitlernen)
a) Welche grundlegenden Prozesse sind verantwortlich für Aufbau und Abbau organischen Materials?
b) Welche Organismen sind verantwortlich für Aufbau und Abbau?
c) Unter welchen Ablagerungsbedingungen ist der Erhalt von organischem Materials so hoch, dass es in geologischen Zeiträumen bestehen kann?
Was bedeutet Chiralität?
Pristan und Phytan:
a) Welche ist die biogene Quelle dieser molekularen Geofossilien?
b) Erläutere anhand eines Schemas die prinzipiellen Umwandlungsreaktionen während der Diagenese!
c) Welche Annahmen kann über das Verhältnis von Pristan zu Phytan in einer Probe gemacht werden?
Allgemeine Diagenese:
a) Welche grundlegenden Prozesse innerhalb des globalen Kohlenstoffkreislaufs führen zum Aufbau und zum Abbau organischen Materials?
Welche Organismengruppe ist jeweils hauptsächlich für Aufbau, Abbau organischen Materials verantwortlich?
b) Welche allgemeinen Reaktionen sind Teil der Diagenese und welche Auswirkung auf die Biomarkerqualität haben sie
Lingin

Abietinsäure ist ein wichtiges tricyclisches Diterpenoid :
a) Welche Organismengruppe nutzt Abietinsäure, welche physiologische Bedeutung hat Abietinsäure dort?
b) Erläutern Sie die prinzipiellen Umwandlungsreaktionen, denen Abietinsäure während der sedimentären Diagenese unterliegt. Gehen Sie dabei für die einzelnen Reaktionstypen insbesondere auf die Änderungen der Biomarkerqualitäten ein. Bennen Sie das diagenetische Endprodukt und skizzieren Sie dessen molekulare Struktur
c) Erläutern Sie die wichtigsten Möglichkeiten, Diagenesprodukte von Abietinsäure als Biomarker einzusetzen
das Tetrahydroreten (THR)
* Als letzter Schritt wird der ***dritte Ring dehydriert*** und ***zeitweilig demethyliert***, um mit dem typischen Phenanthren-System zu bilden → 7-Methyl- und 3-Isopropyl-Substitution
* Das sogenannte ***Reten*** ist ein ***thermodynamisch stabiles Endprodukt*** des diagenetischen Abietinsäureweges, in dem das Ringsystem, ein Methylsubstituent und die Isopropylgruppe erhalten sind
* Gegensatz dazu sind einige ***strukturelle Informationen*** und ***Eigenschaften verloren gegangen***
* (i) die stereochemische Konfiguration an drei verbrückenden Ringkohlenstoffatomen
* (ii) die Carboxyl und eine Methylgruppe, die an ein verbrückendes Kohlenstoffatom gebunden ist
* (iii) zwei Doppelbindungen und Informationen über ihre PositionSensitivität und Nutzen von Biomarkern in verschiedenen Stadien der thermischen Reife.
Abietinsäure ist eine der am besten untersuchten Verbindungen in OGC, da die diagenetischen Produkte dieses Moleküls in vielen fossilen Proben vorkommen und fungieren als Indikator für Koniferen abgeleitetes organisches Material

Fettsäuren bilden eine wichtige Klasse innerhalb der Biomoleküle
Skizzieren sie ihre Struktur, Eigenschaften und physiologische Bedeutung sowie ihre Biosynthese und Illustrieren sie an einem Bsp. die verschiedenen Nomenklaturen zur Benennung von ungesättigten Fettsäuren

Reten ist eine bekannte Biomarker-Verbindung
a) Welche biogene Quelle hat diese Verbindung?
b) Erläutere prinzipielle Umwandlungsreaktionen während der Diagenese und gehe auf die Änderung der Biomarker-Qualität der einzelnen Zwischenprodukte ein.
c) Welche geowissenschaftlichen Deutungen sind aus diesen Biomarkern ableitbar? Begründe deine Interpretation
Grundlegenden Prinzipien des Biomarker-Ansatzes in der organischen Geochemie?
Welche Informationen können aus Biomarkeranalysen grundsätzlich erhalten werden?
Steroide sind wichtige Naturstoffe, insbesondere in höheren Organismen:
a) Erläutern Sie bitte die physologische Bedeutung von Steroiden und charakterisieren Sie ihre strukturellen Eigenschaften
b) Sie möglichst umfassend die Diagenese von C27 – C29 – Steroiden bei subaquatischer Ablagerung
c) Erläutern Sie die wichtigste Möglichkeit die Diagensenprodukte von C27 – C29 – Steroiden als Biomarker einzusetzen, begründen Sie bitte dabei auch die Interpretation der aus diesen Biomarker ableitbaten Informationen