Onco Flashcards

(54 cards)

1
Q
A

Imatinib

Inhibiteur de tyrosine kinase BCR-Abl

How well did you know this?
1
Not at all
2
3
4
5
Perfectly
2
Q
A

Nilotinib

Inhibiteur de la tyrosine kinase BCR-Abl

How well did you know this?
1
Not at all
2
3
4
5
Perfectly
3
Q
A

Bosutinib

Inhibiteur de la tyrosine kinase BCR-Abl

How well did you know this?
1
Not at all
2
3
4
5
Perfectly
4
Q
A

Dasatinib

Inhibiteur de la tyrosine kinase BCR-Abl

How well did you know this?
1
Not at all
2
3
4
5
Perfectly
5
Q
A

Méthotrexate

Antimétabolite, inhibiteur de la dihydrofolate réductase

How well did you know this?
1
Not at all
2
3
4
5
Perfectly
6
Q
A

Pemetrexed

Antimétabolite ; Antinéoplasique

How well did you know this?
1
Not at all
2
3
4
5
Perfectly
7
Q
A

Erlotinib

Inhibiteur de la tyrosine kinase EGFR

How well did you know this?
1
Not at all
2
3
4
5
Perfectly
8
Q
A

Gefitinib

Inhibiteur de la tyrosine kinase EGFR

How well did you know this?
1
Not at all
2
3
4
5
Perfectly
9
Q
A

Afatinib

Inhibiteur de la tyrosine kinase EGFR

How well did you know this?
1
Not at all
2
3
4
5
Perfectly
10
Q
A

Lapatinib

Inhibiteur de la tyrosine kinase HER2

How well did you know this?
1
Not at all
2
3
4
5
Perfectly
11
Q
A

Vemurafenib

Inhibiteur de Tyrosine kinase B-RAF

How well did you know this?
1
Not at all
2
3
4
5
Perfectly
12
Q
A

Dabrafenib

Inhibiteur de kinase MAPK

How well did you know this?
1
Not at all
2
3
4
5
Perfectly
13
Q
A

Trametinib

Inhibiteur de kinase MEK

How well did you know this?
1
Not at all
2
3
4
5
Perfectly
14
Q
A

Cobimetinib

Inhibiteur de kinase MEK

How well did you know this?
1
Not at all
2
3
4
5
Perfectly
15
Q
A

Dacarbazine

Agent monoalkylant, précurseur de diazométhane

How well did you know this?
1
Not at all
2
3
4
5
Perfectly
16
Q
A

Témozolomide

Agent monoalkylant, précurseur de diazométhane

How well did you know this?
1
Not at all
2
3
4
5
Perfectly
17
Q
A

Regorafenib

Inhibiteur de VEGF récepteur

How well did you know this?
1
Not at all
2
3
4
5
Perfectly
18
Q
A

Busulfan

Agent bialkylant

How well did you know this?
1
Not at all
2
3
4
5
Perfectly
19
Q
A

Melphalan

Agent bialkylant

How well did you know this?
1
Not at all
2
3
4
5
Perfectly
20
Q
A

Bendamustine

Antinéoplasique cytostatique ; Agent alkylant

How well did you know this?
1
Not at all
2
3
4
5
Perfectly
21
Q
A

Chlorambucil

Agent bialkylant

How well did you know this?
1
Not at all
2
3
4
5
Perfectly
22
Q
A

Cyclophosphamide

Antinéoplasique cytostatique ; Agent alkylant ; Prodrogue

23
Q
A

Carmustine

Agent monoalkylant, nitrosourée

24
Q
A

Streptozotocine

Agent monoalkylant ; nitrosourée

25
Gemcitabine | Antimétabolite, inh de l’ADN ; polymérase et ribonucléotide réductase
26
Fludarabine | Antimétabolite, inh de l’ADN ; polymérase et ribonucléotide réductase
27
Capécitabine | Antimétabolite, inhibiteur de la thymidilate synthase
28
ATP
29
Thiotépa | Agent bialkylant
30
Lomustine | Agent monoalkylant ; nitrosourée
31
5-FU | Antimétabolite, inh de la thymidilate synthase
32
Tamoxifène | Cancer du sein- Modulateur sélectif des récpeteurs aux estrogènes (SERM)
33
Anastrozole | Inhibiteur de l’aromatase, triazolé
34
Fulvestrant | Antagoniste compétitif des récepteurs aux estrogènes
35
Diéthylstilbestrol | Estrogène de synthèse (inh de la production de LHRN par rétro-contrôle)
36
Acétate de cyprotérone | Agoniste des récepteurs aux androgènes
37
Nilutamide | Agoniste des récepteurs aux androgènes ; Trifluorométhylanilide
38
Flutamide | Agoniste des récepteurs aux androgènes - Trifluorométhylanilide
39
Bicalutamide | Agoniste des récepteurs aux androgènes
40
Enzalutamide | Agoniste des récepteurs aux androgènes
41
Acétate d'abiratérone | Agon de biosynth des androgènes ; inh de C17,20 lyase et 17α-hydroxylase
42
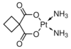
Cisplatine | Apparenté aux alkylants
43
Carboplatine | Apparenté aux alkylants
44
Lobaplatine | Apparenté aux alkylants
45
Torémifène | Modulateur sélectif des récepteurs aux estrogènes (SERM)
46
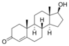
Testostérone
47
Androstanolone = 5𝛼-dihydrotestostérone = DHT
48
Noréthandrolone | Anabolisant ; androgène
49
Bortézomib | Inhibiteur du protéasome
50
Adénine | Purine
51
Guanine | Purine
52
Cytosine | Pyrimidine
53
Thymine | Pyrimidine
54
Uracile | Pyrimidine