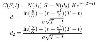
Black-Scholes formula for option pricing

Explain the intuition behind the BSM formula
Present value of difference between values of two binary options - asset-or-nothing call (N(d1)*F) and cash-or-nothing call (N(d2)*K)
List assumptions of the BSM model
1) Returns on the underlying asset are normally distributed -> price is distributed log-normally. Not very realistic given that returns for finacial assets are known to have fat-tails
2) Risk-free rate is constant. These assumption precludes usage of BSM for pricing of options on bonds and IR
3) Volatility is constant.
4) Markets are perfect - :-)))))
5) Underlying asset does not generate cash flows (e.g. dividends)
6) Formula is for European options only!