Brainscape
Find Flashcards
Discover millions of Flashcards
Browse Brainscape-Certified Flashcards
Learn faster with our catalog of expert certified, pre-made flashcards.
Browse All Flashcards
Browse our full catalog of user-generated and Brainscape-Certified flashcards.
Explore the
Knowledge Genome
of subjects:
Entrance Exams
Professional Certifications
Foreign Languages
Medical & Nursing
Science
English
Humanities & Social Studies
Mathematics
Law
Vocations
Health & Fitness
Business & Finance
Technology & Engineering
Food & Beverage
Fine Arts
Random Knowledge
Make Flashcards
How It Works
Features Overview
The Science of Studying
Educators
Schools & Teachers
Tutors & Resellers
Businesses
Employee Training
Publishers & Resellers
Academy
Academy Homepage
The Science of Studying
Study Tips
Teaching Tips
Employee Training Tips
Language Learning Tips
Test Prep Tips
Log in
My Dashboard
Get Started
Log out
CSEC PHYSICS
> P11: Formulas > Flashcards
P11: Formulas Flashcards
(2 cards)
Study These Flashcards
1
Q
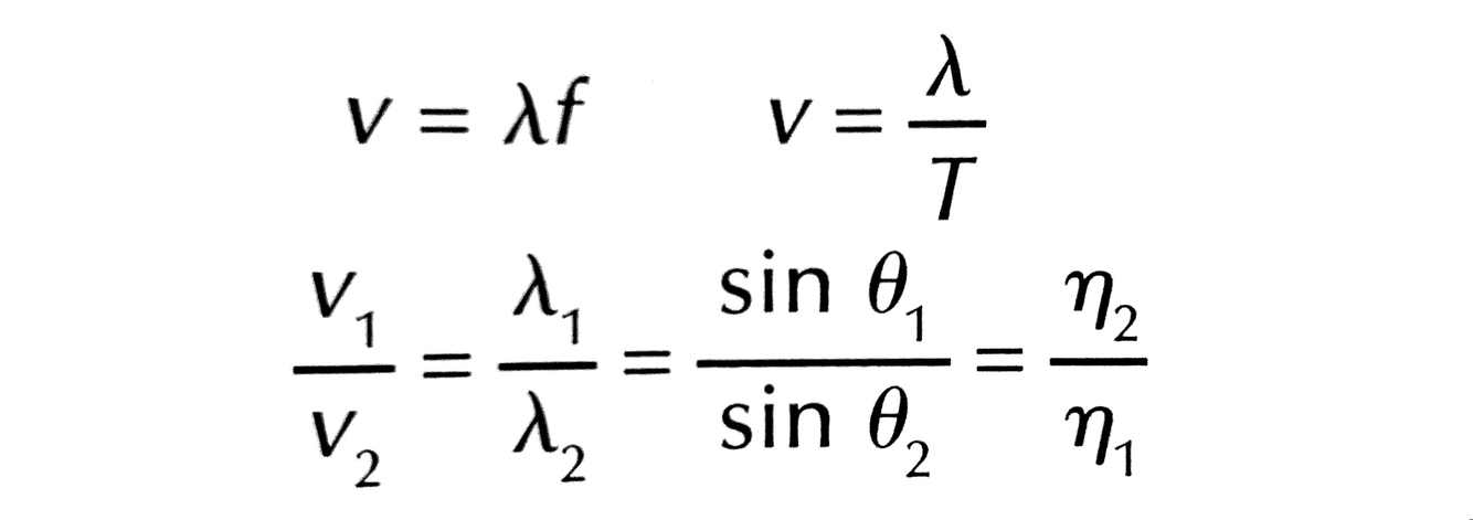
What is the genreal wave equation?
A
How well did you know this?
1
Not at all
2
3
4
5
Perfectly
2
Q
A
How well did you know this?
1
Not at all
2
3
4
5
Perfectly
CSEC PHYSICS
flashcards
Decks in class (11)
# Cards
P1: Thermal Physics
72
P2: Wave motion, Sound waves, Electromagnetic waves
84
P3: Light Waves, Lenses
99
P4: Energy and Hydrostatics
34
P5: Dynamics
0
P6: Static, Current Electricity and Circuits
133
P7: Magnetism
54
P8: Scientific Method
0
P9: Atomic Structure and Radioactivity
68
P10: Need to know terms and formulae
120
P11: Formulas
2