PAGs Flashcards

(24 cards)

1
Q

what is the method for determining the value of g with light gates?

include an annotated diagram

8 steps

A
  1. set up apparatus as in diagram
  2. connect the light gates to a data logger
  3. position the height between the two light gates to be initially 0.75m, put ruler against the clamp. *The distance between the electromagnet and first light gate should always be the same. *
  4. turn on the electromagnet and attach the ball bearing
  5. switch off the electro magnet and note the time taken from the data logger
  6. reduce h by 0.05m each time until h=0.25m
  7. repeat experiment 2 times more to get mean values for h and t
  8. plot a graph of 2h against t squared and draw a line of best fit, the gradient will be g
How well did you know this?
1
Not at all
2
3
4
5
Perfectly
2
Q

what is the method for determinig the value of g with a stopwatch?

A
  1. using the meter ruler hold the ball at a distance of 1m
  2. drop the ball and start the stopwatch simulatnously, stop when hits the pad and note the time
  3. shorten the distance by 0.05m repeat
  4. repeat the experiment twice finding averge values for h and t
  5. plot graph of 2h against t squared, the gradient should be the acceleration due to g
How well did you know this?
1
Not at all
2
3
4
5
Perfectly
3
Q

why is a dense ball prefered?

in the determining g practical

A

to mititgate the effects of air resistance

How well did you know this?
1
Not at all
2
3
4
5
Perfectly
4
Q

what is meant by free fall?

A

the only force acting on a body is gravity. (resistive forces are negligable)
* g practical would not be valid if air resistance considered as then a is not constant and so suvat cannot be used

How well did you know this?
1
Not at all
2
3
4
5
Perfectly
5
Q

what saftey precautions should be taken?

determining g practical

A
  • electromagnet may heat up: switch it off when not in use
  • clamp stand may fall over: put a weight to secure it
How well did you know this?
1
Not at all
2
3
4
5
Perfectly
6
Q

what is the method for finding terminal velocity?

A
  1. wrap elastic bands around the tube of the viscious liquid at set intervals measured by the ruler
  2. drop the ball into the tube and record the time it reaches each band
  3. repeat 4 times to reduce the effect of random errors and use the strong magnet to lift the ball bearing to the top of the tube
  4. calculate the time taken to travel between consective bands and calculate the average time for each experiment
  5. using speed= distance/time find the average velocity of the bearing between bands
  6. plot a graph of velocity against time. The velocity to whih the graph tends to is the terminal velocity
How well did you know this?
1
Not at all
2
3
4
5
Perfectly
7
Q

how can the percentage uncertainty be reduced of the distance and time?

A

use larger intervals for bands

a taller tube allows the bearing to travel at terminal veloity longer

How well did you know this?
1
Not at all
2
3
4
5
Perfectly
8
Q

what is the method for finding the relationship between stopping distance and initial velocity?

A
  1. vehicle modelled by a block of wood is pushed and decelerates due to friction with the surface it moves on
  2. glue an interupter card on the side of the wooden block, so that the time for the width of the card to pass through the gate is recorded
  3. set up the light gate such that it records the average starting velocity of the block moving through it (speed = size of card/ time for card to move through it )
  4. record the starting position of the block, then position the light gate 2cm away
  5. push the block and record the position at which it stops
  6. record the average starting velocity and the corresponding distance between the light gate and the stopping point
  7. plot a graph of stopping distance against velocity squared
    (should be a straight line as v squared is directly proprtional to stopping distance)
How well did you know this?
1
Not at all
2
3
4
5
Perfectly
9
Q

what is the energy transfer that takes place in this experiment?

A

kinetic energy converted to thermal energy, as work is done against the friction

How well did you know this?
1
Not at all
2
3
4
5
Perfectly
10
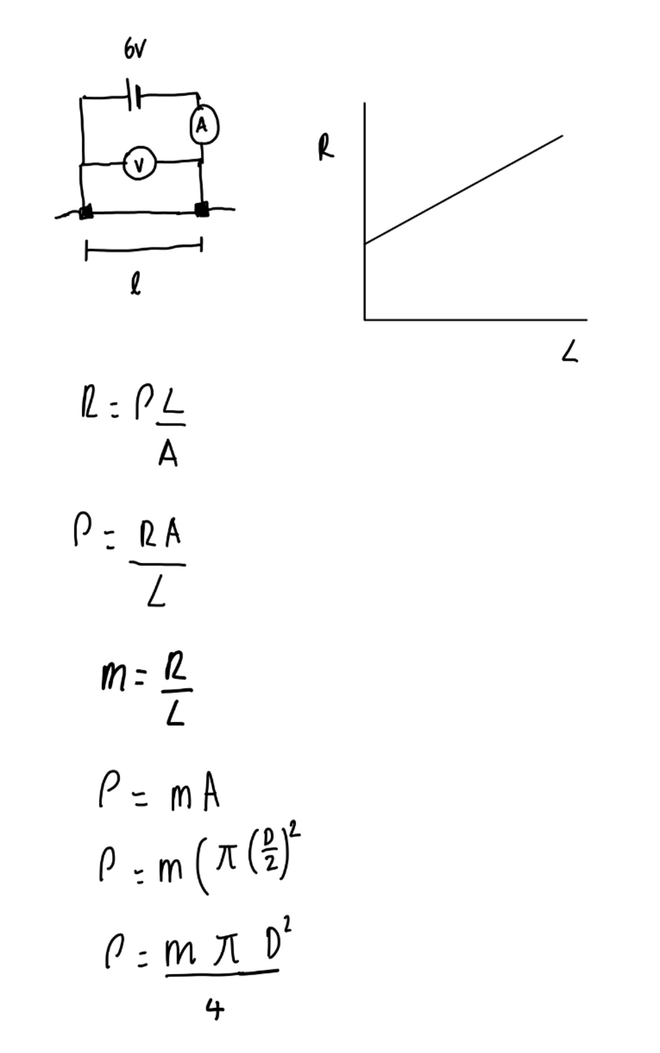
Q

what is the method for determining resistivity?

A
  1. Measure the diameter of the constantan wire at 3 points along its length using the micrometer, and calculate the mean diameter.
  2. Set up the apparatus as shown in the diagram.
  3. Adjust length l to 10 cm using the crocodile clips and metre ruler.
  4. Read and record the current (I) on the ammeter and the voltage (V) on the voltmeter. Calculate the resistance (R) by using R=V/I and record this value.
  5. Switch the circuit off in between readings to prevent heating of components which could affect their resistance.
  6. Increase l by 10 cm and repeat the above two steps, increasing l by 10 cm each time up to 80 cm.
  7. Repeat the experiment twice more, then calculate the mean resistance for each length.
  8. plot a graph of mean resistance aginst length. Draw a line of best fit, the gradient is the resistivity multipled by the cross sectional area
How well did you know this?
1
Not at all
2
3
4
5
Perfectly
11
Q

why should the power be switched off when not in use?

determining resistivity

A

if the power stays on for too long the temperature of the wire will increase, this will affect the resitvity, so temperature must be kept constant. Current should also be low to prevent this

How well did you know this?
1
Not at all
2
3
4
5
Perfectly
12
Q

What are some uncertainties in the resistivity experiment?

A

Resistance between crocodile clips and wires, contact of the leads and power supply. Zero error due to the positioning of the ruler and crocodile clip at the zero end

How well did you know this?
1
Not at all
2
3
4
5
Perfectly
13
Q

What is the method for investigating the electrical characters for ohmic and non ohmic components?

A
  1. Set up the circuit as shown where ‘component’ is the filament lamp, copper block or diode.
  2. Vary the voltage across the component by changing the resistance of the variable resistor, using a wide range of voltages.
  3. For each voltage record the current 3 times and calculate the mean current.
  4. Make sure to switch off the circuit in between readings to prevent heating of components.
  5. Repeat for all 3 components.
  6. Plot a graph of mean current against voltage (an I-V characteristic graph) for each component.
How well did you know this?
1
Not at all
2
3
4
5
Perfectly
14
Q

How can you obtain readings for negative voltages?

A

Reverse the polarity of your supply across the components

How well did you know this?
1
Not at all
2
3
4
5
Perfectly
15
Q

what is a measurement error?

A

the difference between each individual measurment and the true value

How well did you know this?
1
Not at all
2
3
4
5
Perfectly
19
Q

what is the method for determining the electrical charcatertistics of ohmic and non ohmic components?

A
  1. Set up the circuit as shown where ‘component’ is the
    filament lamp, copper block or diode.
  2. Vary the voltage across the component by changing the resistance of the variable resistor, using a wide range of voltages.
  3. For each voltage record the current 3 times and calculate the mean current.
  4. Make sure to switch off the circuit in between readings to prevent heating of components.
  5. Repeat for all 3 components.
  6. Plot a graph of mean current against voltage (an I-V characteristic graph) for each component.
  7. Compare the shapes of each graph and consider the reasons behind the difference between the filament lamp and copper block characteristic graph.
20
Q

what are some saftey points for electrical pags?

A
  • The components will get hot especially at higher voltages so be careful when handling them and disconnect the power supply in between readings.
  • Do not put non-insulated metal into the plug sockets to reduce the risk of electrocution.
21
Q

what are some uncertainities and how can they be reduced in electrical PAGs?

A
  • The voltmeter will not have infinite resistance and the ammeter will not have 0 resistance (ie. they won’t be ideal) therefore the voltages and currents displayed may be slightly inaccurate.
  • The equipment used (except from the components) and the temperature of the area should be controlled as these can affect the results.
  • To reduce uncertainty take more readings at more voltages and use ammeters and voltmeters with greater resolution.
22
Q

what is the method for determining internal resistance and maximum power?

A
  1. Set up the apparatus as shown in the diagram.
  2. Set the variable resistor to its maximum value.
  3. Close the switch and record voltage from the voltmeter and the current from the ammeter, open the switch between readings to prevent heating of the variable resistor.
  4. Decrease the resistance of the variable resistor and repeat this, obtaining pairs of readings of V and I over the widest possible range.
  5. ε = I(R + r) = V + Ir ⇒ V = − rI + ε , this is in the form y=mx+c (a straight line graph)
  6. Plot a graph of V against I and draw a line of best fit. The y intercept will be the emf and the gradient will be the negative internal resistance
23
Q

what is the method for determining the wavelength using a diffraction grating?

A
  1. Shine the laser through the diffraction grating onto the screen.
  2. Measure the distance between the central fringe and the one beside it (1st order - see below).
  3. Measure the distance between the grating and the screen.
  4. The formula associated with diffraction gratings is d sinθ λ. = n
    Where d is the distance between the slits, θ is the angle to the normal made by the maximum, n is the order and λ is the wavelength.
  5. To find tan θ divide the distance between the central fringe and the one beside it by the distance between the grating and the screen (tanθ=opp/adj) then use inverse tan ( θ) to find θ. tan−1
  6. To find d read the information on the packaging, it will say how many lines per mm.
    Note that if it has 350 lines/mm that is 350,000 lines/m and 1/350,000 is the slit
    spacing.
  7. We measured the distance to the first order hence n = 1.
  8. Substitute all these values into dsinθλ = (n is not included as n = to find the wavelength of the laser.
24
Q

what are some saftey points for light/ waves practicals?

A

Lasers can permanently damage your eyesight therefore, when using lasers there
are several safety precautions, which must be followed:
○ Wear laser safety goggles
○ Don’t shine the laser at reflective surfaces
○ Display a warning sign
○ Never shine the laser at a person