Paper 2 Logic Flashcards

(94 cards)

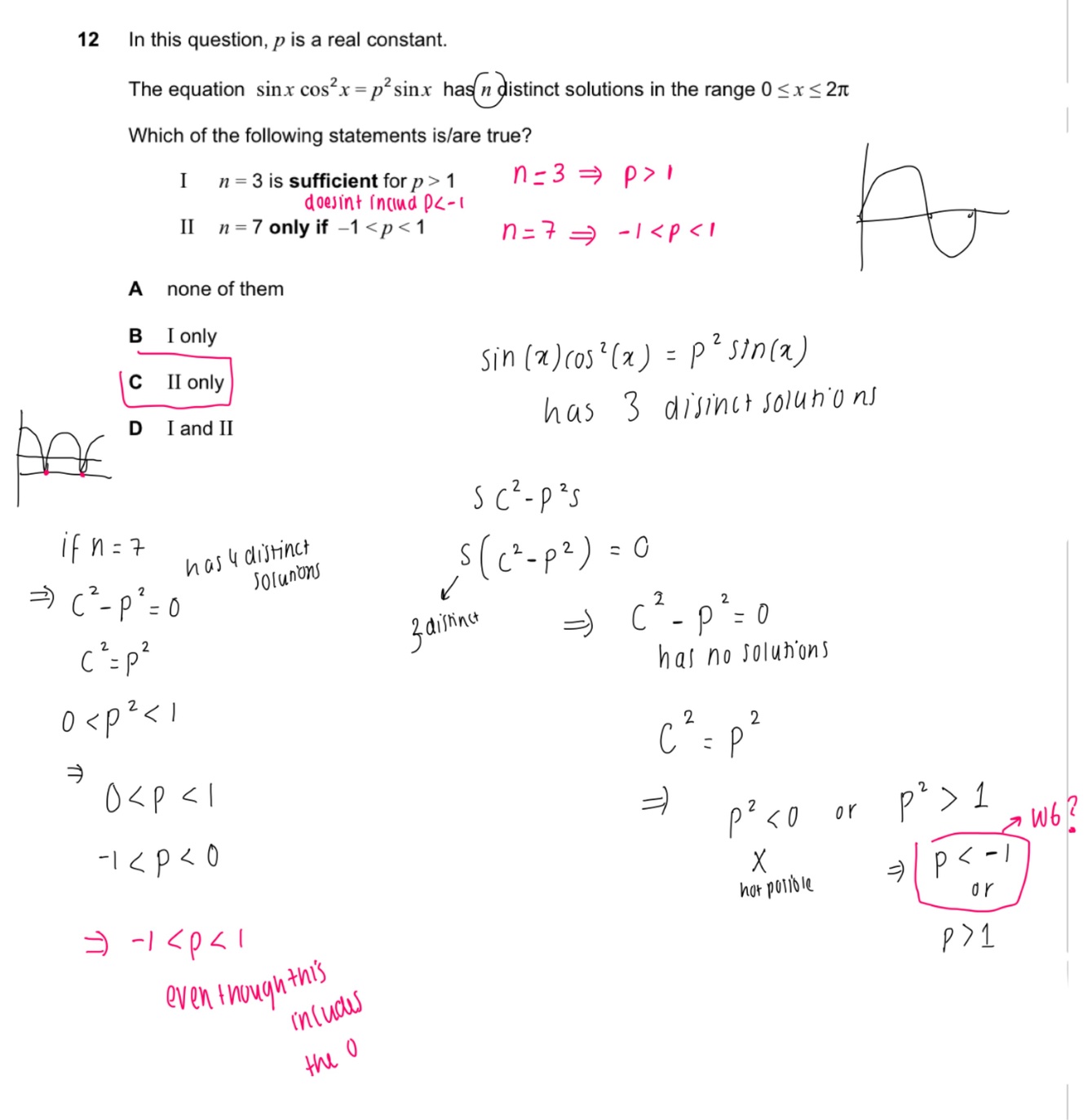
1
Q

why must you always check before taking the logarithm of both sides?

A
  • taking logs can loose/ add solutions
  • Always make domain resitricts as to check that the value is positive ( cannot be = 0 either)
How well did you know this?
1
Not at all
2
3
4
5
Perfectly
2
Q
A
How well did you know this?
1
Not at all
2
3
4
5
Perfectly
3
Q
A

Loging and squaring can both introduce extra solutions. The substitution trick is neat

How well did you know this?
1
Not at all
2
3
4
5
Perfectly
4
Q
A

Necessary but not sufficient means you can deduce the outcome from what you are given. BUT you canโ€™t go the other way round (outcome to condition)

How well did you know this?
1
Not at all
2
3
4
5
Perfectly
5
Q
A
How well did you know this?
1
Not at all
2
3
4
5
Perfectly
6
Q
A

If a part of the inequality is true for all values of x, you can drop the inequality

How well did you know this?
1
Not at all
2
3
4
5
Perfectly
7
Q
A

Simple notation

How well did you know this?
1
Not at all
2
3
4
5
Perfectly
8
Q
A
How well did you know this?
1
Not at all
2
3
4
5
Perfectly
9
Q
A

For a sufficient condition to be true, must be affirmative (100%) no maybes

How well did you know this?
1
Not at all
2
3
4
5
Perfectly
10
Q
A
How well did you know this?
1
Not at all
2
3
4
5
Perfectly
11
Q
A

Recognise that recurring means sum to infinity

How well did you know this?
1
Not at all
2
3
4
5
Perfectly
12
Q

What is 2nd approach to this question

A
How well did you know this?
1
Not at all
2
3
4
5
Perfectly
13
Q
A

They always want you to think in term of geometric series sums

How well did you know this?
1
Not at all
2
3
4
5
Perfectly
14
Q
A
How well did you know this?
1
Not at all
2
3
4
5
Perfectly
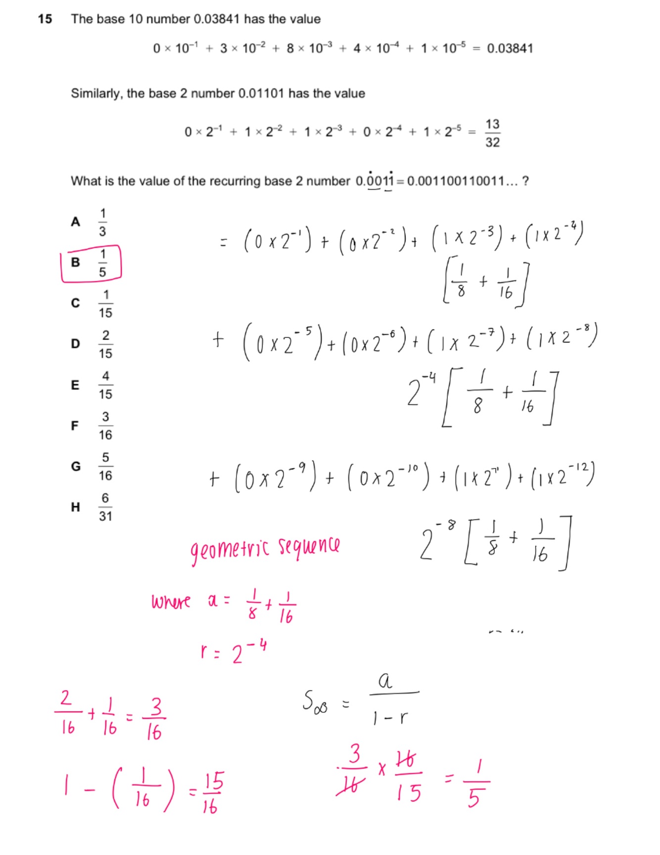
15
Q

What can you infer about stationary points given the number of roots?

A

Number of stationary points = at least (number of roots -1) between every root.
BUT may also be more stationary points between these pairs of values or before the first or after the last value. eg

How well did you know this?
1
Not at all
2
3
4
5
Perfectly
16
Q
A

Might be more efficient to have a yes no prime section to avoid misses

How well did you know this?
1
Not at all
2
3
4
5
Perfectly
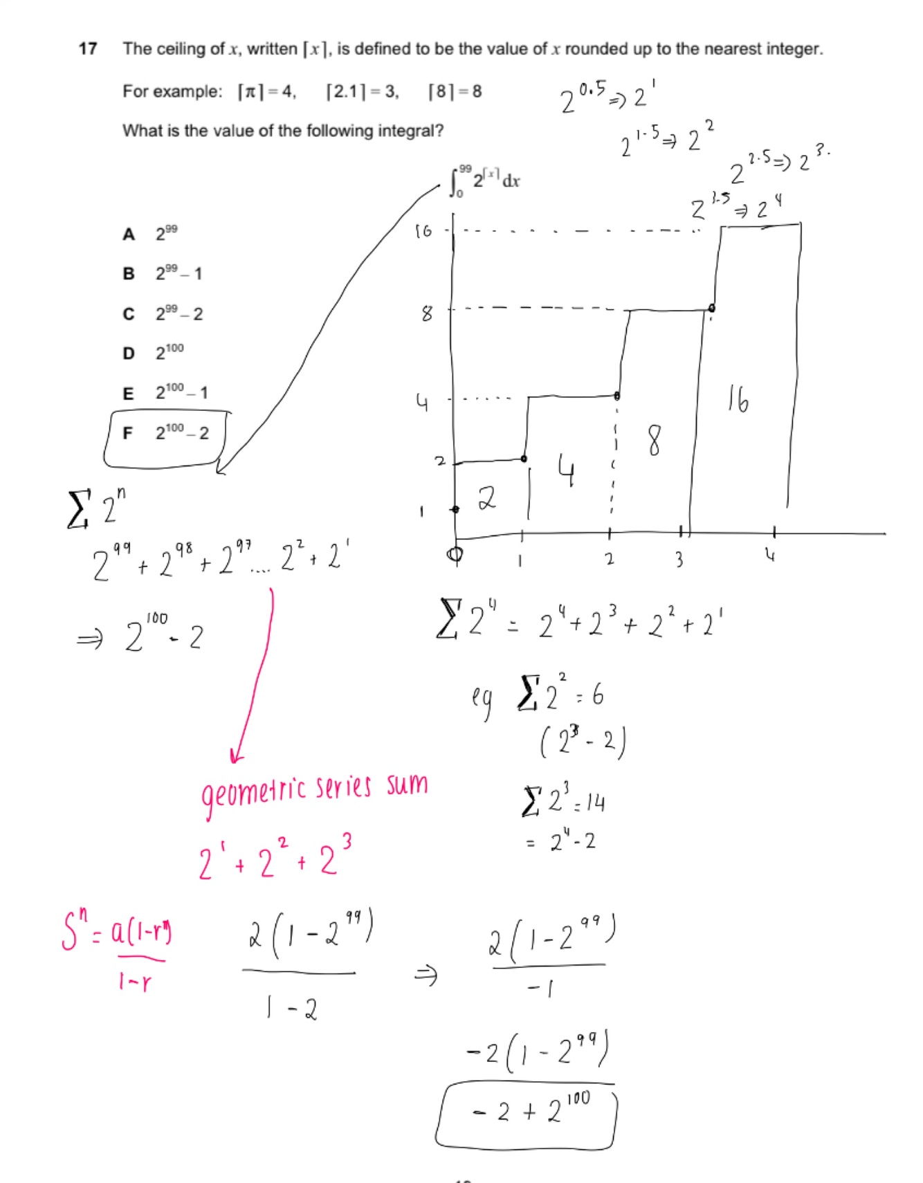
17
Q
A
How well did you know this?
1
Not at all
2
3
4
5
Perfectly
18
Q

what is the simplest way to rationalise surd?

A
How well did you know this?
1
Not at all
2
3
4
5
Perfectly
19
Q
A
How well did you know this?
1
Not at all
2
3
4
5
Perfectly
20
Q
A
How well did you know this?
1
Not at all
2
3
4
5
Perfectly
21
Q
A
How well did you know this?
1
Not at all
2
3
4
5
Perfectly
22
Q

What does this mean?

A
How well did you know this?
1
Not at all
2
3
4
5
Perfectly
23
Q

What is a way to view the modulus function

A

The positive distance of x from 3

How well did you know this?
1
Not at all
2
3
4
5
Perfectly
24
Q

Draw the graph of

A

(One to one function)
Bear in mind. It is just assumed the input values will always be positive and zero. Also when they give square root it is also just assumed it is the positive square root.

How well did you know this?
1
Not at all
2
3
4
5
Perfectly
25
Reflect whatever is below the x axis
26
what must you be aware of with the recurance relationship type questions?
always makes sure you write out enough terms | do till at least 10
27
what are common mistakes when doing binomial expansion?
1. not putting a bracket around the whole thing. eg: 2x^7 instead of (2x)^7 2. forgetting about the minus sign. eg: (3x)^5 instead of (-3x)^5
28
What is another way to write
29
How many terms are in the sum
n - m + 1
30
Alternate method of finding the smallest distance
31
why does the sin rule used in triangles give an ambigious result?
sin A can given 2 values below 180
32
what are some limit/ things to keep in mind of the following rule?
* We only take logs with a positive base number: so ๐‘Ž > 0 [but ๐‘Ž โ‰  1] * We can only take the logs of positive numbers: so ๐‘ > 0 * The log of a number can be negative: so ๐‘ can be any number [even 0]
33
Sketch
34
Draw the graph of What are some things to note?
* the graph is only defined for ๐‘ฅ > 0
35
What is
36
Where does this formula come from?
37
what does it mean for a cubic graph to have no stationary points?
it only has one point of inflection. This is because when you differenciate, the quadratic has no real solutions
38
What does the following imply?
39
Why is this true?
40
When are functions defined as strictly increasing or strictly decreasing?
41
When is this true
Function is symmetrical about the y axis
42
When is this true?
43
What are all of the following?
44
Wrong
45
What is another way of writing?
46
What can this also be written as?
47
What does this rule essentially mean?
48
What is the trapezium rule formula ?
49
When is the trapezium rule an overestimate /underestimate / useless?
50
51
52
What is the effect on the graph of a vertical stretch by a scale factor โ€˜aโ€™?
53
Summarise these transformations
54
55
How firm do sufficient / only if statements have to be?
ROCK SOLID
56
57
58
Memorise table on shapes
59
Draw a vent diagram including trapeziums, parallelograms, rectangles, squares, rhombi and kites. Also include which ones have equal diagonals, perpendicular diagonals, symmetry around diagonals and bisecting diagonals
60
61
62
63
What is the statement negation table ?
64
65
66
Get to grips with manipulating the function notation
67
68
69
70
71
72
To be sufficient not necessary the statement must be true, but there are other cases apart from the condition where it is also true
73
74
75
76
77
78
What is the definition of a polynomial?
Continuous smooth curve. With non-negative integer powers
79
80
81
82
Necessary and sufficient means logically equivalent statement
83
84
85
86
What must you do when it asks which of the following conditions (options) are necessary for statement?
To show that a condition is not fully necessary, find an example of a function for which the main statement is true but the condition is not.
87
88
89
90
91
92
93
94