Parameter Estimation Flashcards

(3 cards)

1
Q

Maximum Likelihood

A
How well did you know this?
1
Not at all
2
3
4
5
Perfectly
2
Q

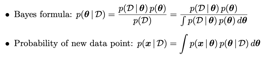
Bayesian Estimation

A
How well did you know this?
1
Not at all
2
3
4
5
Perfectly
3
Q

Gaussian Distributions

A
How well did you know this?
1
Not at all
2
3
4
5
Perfectly