Part 2 Flashcards

(62 cards)

1
Q

Why should we be interested in analyzing unit root/nonstationary processes?

A
How well did you know this?
1
Not at all
2
3
4
5
Perfectly
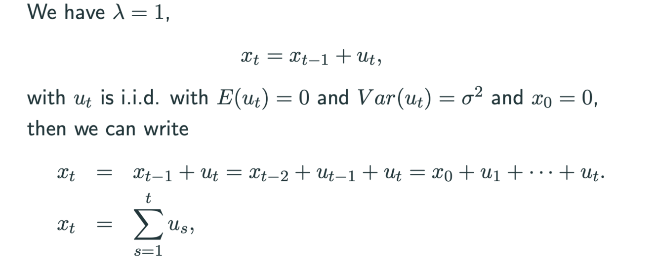
2
Q

What happens when lambda = 1?

A
How well did you know this?
1
Not at all
2
3
4
5
Perfectly
3
Q

What is a unit root process?

A

An I(1) process

How well did you know this?
1
Not at all
2
3
4
5
Perfectly
4
Q

How can a random walk be rewritten?

A
How well did you know this?
1
Not at all
2
3
4
5
Perfectly
5
Q

Why is a random walk non-stationary?

A
How well did you know this?
1
Not at all
2
3
4
5
Perfectly
6
Q

Why is the sample mean of a random walk diverging?

A
How well did you know this?
1
Not at all
2
3
4
5
Perfectly
7
Q

What does superconsistency imply?

A
How well did you know this?
1
Not at all
2
3
4
5
Perfectly
8
Q

When is a process a linear process? (Give the definition)

A
How well did you know this?
1
Not at all
2
3
4
5
Perfectly
9
Q

What is the Beverage-Nelson decomposition? (definition)

A
How well did you know this?
1
Not at all
2
3
4
5
Perfectly
10
Q

What is the permanent-transitory decomposition (or trend-cycle decomposition)?

A
How well did you know this?
1
Not at all
2
3
4
5
Perfectly
11
Q

What is the concept of Brownian motion?

A
How well did you know this?
1
Not at all
2
3
4
5
Perfectly
12
Q

Show the following:

A
How well did you know this?
1
Not at all
2
3
4
5
Perfectly
13
Q

What is Standard Brownian motion?

A
How well did you know this?
1
Not at all
2
3
4
5
Perfectly
14
Q

Give the definition of Standard Brownian motion?

A
How well did you know this?
1
Not at all
2
3
4
5
Perfectly
15
Q

What is the definition of Multivariate Brownian motion (or a standard Wiener process)?

A
How well did you know this?
1
Not at all
2
3
4
5
Perfectly
16
Q

How can a Wiener process be transformed with matrix P?

A
How well did you know this?
1
Not at all
2
3
4
5
Perfectly
17
Q

What is the Functional Central Limit Theorem?

A
How well did you know this?
1
Not at all
2
3
4
5
Perfectly
18
Q

What is the multivariate central limit theorem?

A
How well did you know this?
1
Not at all
2
3
4
5
Perfectly
19
Q

What is the continuous mapping theorem?

A
How well did you know this?
1
Not at all
2
3
4
5
Perfectly
20
Q

What do the O_p and o_p notation mean?

A
How well did you know this?
1
Not at all
2
3
4
5
Perfectly
21
Q

What are the six rules of the O_p and o_p notation?

A
How well did you know this?
1
Not at all
2
3
4
5
Perfectly
22
Q

What are the two representations for a multivariate root process (of the following process)?

A
How well did you know this?
1
Not at all
2
3
4
5
Perfectly
23
Q

What are the three variances of the multivariate unit root process?

A
How well did you know this?
1
Not at all
2
3
4
5
Perfectly
24
Q

What is the distribution of?

A

[NOTE: Misschien derivation toevoegen, maar kan me niet voorstellen dat echt boeit]

How well did you know this?
1
Not at all
2
3
4
5
Perfectly
25
What is the distribution?
This is often called the Dickey-Fuller distribution
26
How is the I(1) hypothesis defined? How is this tested?
[Misschien nog derivatie toevoegen]
27
What is the problem that Phillips-Perron tries to solve?
Tests for I(1)
28
What should k be for Dicky-Fuller?
29
What is a spurious regression?
30
What happens in case of a spurious regression with the parameter estimate beta hat?
31
What three things do we expect in case of spurious regression and what does actually happen?
32
What is the idea of cointegration?
33
What is the definition of cointegration?
34
What is the variable for cointegrating space? And the cointegrating rank?
35
What is the Lag representation of an MA model? What is a VAR model?
36
When is a random matrix A singluar?
r is rank, m is matrix size
37
What is the Lag notation of a VECM model?
38
What is the idea behind the Granger representation thm?
39
What is the simplest method to consistently estimate a unique cointegrating vector?
40
What is the method of static least squares?
41
What is the definition of S_t, Lambda, and Sigma? [VERWIJDER]
[Note: Mogelijk nog dingen van static least squares, maar dat voelt als totaal onnodig]
42
What is the DOLS estimator?
43
Why is the DOLS better than SLS? Which problems remain?
44
What is the ECM approach?
45
When has x_t to be weakly exogenous? When do elements in x_2, t?
46
What is the FMOLS method?
47
What do we need for FMOLS estimation?
48
What is a residual based test for cointegration (Engle-granger)?
49
Show that the residual based tests for cointegration are consistant.
50
What is an assumption of cointegrated systems? (Finite order)
51
What is an assumption of cointegrated systems? (cointegrated)
52
What is a VECM model?
53
What happens to a VECM when r=m, r=0 or any in between?
54
What is the main idea behind Johansen analysis?
55
What are the three steps of Johansen analysis?
56
What are the five steps in ML analysis of a VECM?
57
What is the main idea behind the trace test?
58
What is the LR test statistic of the trace test?
59
How do we select a rank from the trace test?
60
What is the idea and formula behind the maximum eigenvalue test?
61
What are the advantages of FIML estimates?
62
How can we do other test using a VECM?