g≡−∇Φ.
gravitational acceleration
gradient of the geopotential
the geopotential is related to
the work required to lift a unit mass from sea level to a given altitude.

The geopotential at any level z

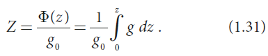
geopotential height Z

change in geopotential, dΦ
Using the hydrostatic equation, this can then be related to the density and pressure change as

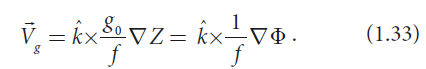
geostrophic wind in pressure coordinate with the geopotential height gradient

hypsometric equation

vertical distance between two pressure surfaces (also known as the “thickness”)
vertical distance between two pressure surfaces (also known as the “thickness”) is
proportional to …….

to the mean virtual temperature of the layer

thermal wind,VT
The vertical shear of the geostrophic wind