Past Papers Flashcards

(65 cards)

1
Q

Equation for depth of a 3d point visible from 2 cameras

A

Z = (f * B)/(x_L - x_R) where f is the focal length of the cameras (assuming it is the same for both) and B is the distance between them

How well did you know this?
1
Not at all
2
3
4
5
Perfectly
2
Q

Define image processing

A

Signal processing applied to an image, with another image as the resulting output

How well did you know this?
1
Not at all
2
3
4
5
Perfectly
3
Q

Define the epipolar constraint

A

We can reduce the problem space for the correspondence problem to a line by using the geometric properties of the camera(s) between images

How well did you know this?
1
Not at all
2
3
4
5
Perfectly
4
Q

What is a hyper column

A

A region of V1 that contains neurons covering the full range of RF types for a single spatial location

How well did you know this?
1
Not at all
2
3
4
5
Perfectly
5
Q

What is V1

A

Primary visual cortex
Performs initial low level processing on incoming informtion (from LGN)

How well did you know this?
1
Not at all
2
3
4
5
Perfectly
6
Q

What is a forward problem

A

One where we know the causes and want to predict the outcome

How well did you know this?
1
Not at all
2
3
4
5
Perfectly
7
Q

What is an inverse problem.

A

One where we know the outcomes and want to infer the causes

How well did you know this?
1
Not at all
2
3
4
5
Perfectly
8
Q

List 5 things that an object recognition algorithm should be insensitive to

A

Illumination
Occlusion
Viewpoint (orientation, scale, translations)
Non rigid deformation.
Within category variations

How well did you know this?
1
Not at all
2
3
4
5
Perfectly
9
Q

Draw a cross sectional diagram of how a lense forms an image of a point

A
How well did you know this?
1
Not at all
2
3
4
5
Perfectly
10
Q

Equation of projection (pinhole camera)

A
How well did you know this?
1
Not at all
2
3
4
5
Perfectly
11
Q

When asked about depth in relation to time

A

Where Vx is velocity of camera and x• is velocity of image point

How well did you know this?
1
Not at all
2
3
4
5
Perfectly
12
Q

Steps of canny edge detector

A

1) convolve image with DoG
2) see image
3) non max suppression of any pixel that has a neighbour perpendicular to the direction of the edge with a higher magnitude
4) hysterisis

How well did you know this?
1
Not at all
2
3
4
5
Perfectly
13
Q

Math model used to simulate receptive fields of cortical simple cells

A

Gabor(x, y) =

How well did you know this?
1
Not at all
2
3
4
5
Perfectly
14
Q

How do we simulate complex cells

A

Repeating convolution with gabor mask but varying orientation, phase, spatial frequency etc

How well did you know this?
1
Not at all
2
3
4
5
Perfectly
15
Q

Describe the role of mid level vision

A

Appropriately Group together image elements
And segment them from other image elements

How well did you know this?
1
Not at all
2
3
4
5
Perfectly
16
Q

Starting difference between regiong growing and region merging

A

Merging: each pixel begins with a unique label, use final marking, region mean used for comparison
Growing: each begins unlabelled, don’t use final marking, individual neighbouring pixels used for comparison

How well did you know this?
1
Not at all
2
3
4
5
Perfectly
17
Q

What is the correspondence problem

A

The problem of finding the same 3d point or location in 2 (or more) images

How well did you know this?
1
Not at all
2
3
4
5
Perfectly
18
Q

For coplanar cameras, if the baseline (B) distance increases between the cameras, how does this effect accuracy of measuring depth of a 3d point

A

This increases disparity which increases accuracy

How well did you know this?
1
Not at all
2
3
4
5
Perfectly
19
Q

In a feature based solution to the correspondence problem, explain what is meant by descriptor and detector

A

A detector is a method used to locate points of interest or image features

A descriptor is a vector for identified points/features to be used for comparison with potential matches

How well did you know this?
1
Not at all
2
3
4
5
Perfectly
20
Q

What is RANSAC

A

RANDOM SAMPLING AND CONSENSUS
1) randomly sample the minimum number of data points to fit the model
2) fit th3 model to this sample
3) test all other data points against this fitted model
4) count #of inliers (consensus set)
5) repeat 1-4 for N trials and choose the parameters that fit best overall (best fit is that with the highest support (# in conessus set)

How well did you know this?
1
Not at all
2
3
4
5
Perfectly
21
Q

Cross correlation formula for vectors a and b

A
How well did you know this?
1
Not at all
2
3
4
5
Perfectly
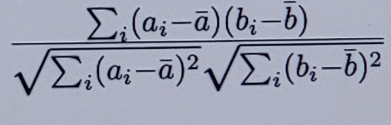
22
Q

Correlation coefficient formula for vectors a and b

A
How well did you know this?
1
Not at all
2
3
4
5
Perfectly
23
Q

What is the difference between top down and bottom up

A

Top down: coming from internal knowledge, prior experience
Bottom up: coming from image properties
These approaches are not mutually exclusive

How well did you know this?
1
Not at all
2
3
4
5
Perfectly
24
Q

Gestalt laws

A

Bottom up factors:
Proximity
Similarity
Closure
Continuity
Common fate
Symmetry
Common region
Connectivity

How well did you know this?
1
Not at all
2
3
4
5
Perfectly
25
What does the LGN do
LGN cells have centre surround RFs Traditionally viewed to just relay info from retina to cortex Recent evidence suggests does more
26
On centre off surround is
Activates If centre brighter than surround
27
Explain how ganglion cells in the eye and simple cells in v1 work together to detect edges
Ganglion cells are centre surround Retina is over represented (every area in retina is part of receptive field of several ganglion cells) With several centre surround lined up, their combination shows edges
28
Example of function of complex cells in v1
Combine input from several simple cells so can detect patterns that are a combination of single cell detections
29
Describe how lateral connections in v1 can explain some gestalt laws
Lateral connections connect together areas of v1 that deal with adjacent areas of the visual field If adjacent cells detect something similar, eg a line segment, this can stand out more than 2 separate segments If the segments were end-on, this would be continuity If they were side by side, this would be similarity
30
What is required of a mask for it to have no effect on intensity
All elements in the mask sum to 1
31
Example of difference mask
[1, -1] Positive x direction
32
Laplacian mask is? Used to?
Difference mask in every direction Used to detect disconinuities in intensity in every direction
33
Advantage and disadvantage of laplacian mask? How to mitigate dis
Advantage- good at detecting discontinuities Disadvantage- maybe too good, most sensitive to a single pixel that stands out from neighbours, therefore increases noise, leading to many false positives during edge detection Mitigate dis apply averaging filter before applying laplacian, this is overall typically done by Laplacian of Gaussian (convolve gassing with laplacian)
34
Splitting and merging pseudocode
Splitting: Start with whole image as 1 region If all pixels are not similar, Split into 4 quadrants Repeat until all regions are homogenous Merging Compare each region to neighbouring region, merge all that are. similar Continue until no more regions can merge
35
Disadvantage of splitting and merging
Works well if regions are fairly homogenous otherwise many spurious regions created
36
Explain how a CCD forms an RGB image
A CCD is an array of MOS capacitors that accumulate charge from light proportionally to light intensity Individual diodes are made sensitive to R,G and B by placing a filter between the light sources and the diode
37
Relating pixels to camera coordinates
Where (Ox, Oy) is the coordinates (in pixels) of the image principal point α is the magnification factor in the x direction β is the magnification factor in the y direction
38
What is a horopter
An imaginary surface on which all points have 0 disparity
39
Compare image sampling mechanisms used in eye to camera
Camera: - sensitive to 3 wavelength RGB - sensing elements occur in fixed ratio across whole image plane - sampling density is uniform across whole image plane Eye: - sensitive to 4 wavelengths RGBW - sensing elements occur in variable ratios across image plane (cones density highest at fovea, rod density highest outside fovea) - sampling density is non uniform across image plane
40
Explain the difference between 'view centered' and 'object centere' approaches to object recognition
View centred: 3d object is modelled as a set of 2d images of different views of the object Object centred: Single 3d model used to describe object
41
If asked to derive thin lense equation
Make sure to use similar triangles
42
How do you change focus of a camera
The focal length of the lense is fixed Therefore we change the distance between the lense and the image plane
43
2y2 = ?
-1 2 -1
44
When convomving a mask with another
Flip the smaller mask!!!
45
Steps of agglomerative hierarchical clustering g
46
Define the aperture problem and suggest how to mitigate
Direction of motion of a small image patch can be ambiguous Particularly for am edge, direction of motion is only available perpendicular to the edge Overcome by using info from multiple sensors or by giving preference to image locations where image structure provides unambiguous information about optic flow (eg corners)
47
Calculating depth when camera is moving along optical axis and given image dimensions/central point
48
2 constraints applied to correspondence problem for video (note limitations)
Spatial coherence (assuming neighbours have similar optical flow): Neighbouring points have similar optical flow fails at discontinuities between surfaces at different depths Small motion (assuming optical flow vectors have similar magnitude): Optical flow vectors tend to have small magnitude Fails if relative motion is fast or frame rate is low
49
Monocular cues to depth
Interposition/Occlusion Size familiarity Texture gradients Linear perspective Aerial perspective Shading
50
Normalised cross correlation formula
51
1st derivative masks
52
2nd derivative masks
53
Define focus
All rays if light from a scene point converge in a single image point
54
Define focal length
An intrinsic property of a lense related to its shape, specifically, the distance from the lense at which optical axis intersects with diffraction rays of light that were travelling parallel to the optical axis before passing through the lens
55
Define focal range
The range of object locations such that blurring due to the difference between the receptor plane and the focal plane is less than the resolution of the receptor device
56
For a pinhole camera, at what length should image plane be placed to bring object into focus
Use thin lense equation (with moduli)
57
In image formation, what properties of an image are determined by radiometrix parameters and by geometric parameters
Radiometric parameters tend to determine intensity/colour: Illumination, surface reflectance, sensor wavelength properties Geometric properties determine where on the image a scene point appears: Camera position & orientation in space Camera optics
58
Forming DoG mask for On Centre Off surround
Subtract mask with larger σ from mask with smaller
59
Decomposing 11 x 11 mask involves
11 x 1 row vector and 1 x 11 col vectors The row vector is convolved with every valid position in the image (11 + 10 operations per mask placement) and then so too is the col vector
60
How many operations are involved in convolving an image with a DoG
DoG is 2 gaussians with subtraction G = #of operations in convolving with separated gaussian D = size of image, which is the subtraction of the convolution with 1 gaussian subtracted from other 2G + D
61
Single link
Min distance
62
Complete link
Max distance
63
Group average
Average distance
64
Calculating depth from 2 images given image centre
Z = x1Vz/x° Where x1 is original x displacement from center Vz is speed of camera moving on z axis/optical axis X° is (x2 - x1)/time
65
What is the sliding window approach to object recognition
Sliding window applies a classifier (usually a deep NN) to image patches Tolerance is achieved by training the classified to recognise the object despite changes in appearance and using different shapes and sizes of image patch