PHYS 246 Flashcards

(13 cards)

1
Q

Two unloaded dice are thrown. Find the probability that
a) the sum thrown is a nine
b) the sum thrown is an even number
c) two unequal numbers are thrown
d) you get the same result when you throw the dice a second time

A

A) 1/9
(4 of the possible 36 combinations equal 9)
B) 1/2
(18 of the 36 combos are even numbers)
C) 5/6
(only 6 options so there’s only 1 in 6 chance the second would roll the same)
D) 1/11
(there are 11 possible sums, the probability is difference for each individual sum)

How well did you know this?
1
Not at all
2
3
4
5
Perfectly
2
Q
  1. A single die is thrown n times. Derive an expression for the probability that a “1” is up at least once. What is that value for n = 5, 10, and 20?
A

P= 1−(5/6)^n
0.5981@n=5, 0.8385@n=10, 0.9739@n=20

How well did you know this?
1
Not at all
2
3
4
5
Perfectly
3
Q

Colorblindness is an X-linked trait – the defective gene is carried on the X-chromosome. We denote the colorblind chromosome as Xc. The following chromosomal pairings are possible:
Male: XY or XcY
Female: XX or XcX or XcXc
Only males with the XcY genotype and females with the XcXc genotype are colorblind.
Data indicate that 8% of male mice and 0.5% of female mice are colorblind;
What is the percentage of females carrying the chromosome combinations XX, XcX, and XcXc respectively?

A

0.5% XcXc,
7.72% XcX,
91.78% XX
not SUPER confident x_x

How well did you know this?
1
Not at all
2
3
4
5
Perfectly
4
Q

On a certain day, a number of people, N, are assembled. Find the probability that on this particular day, it is the birthday of at least one of the people assembled. (Hint: find the probability that this day is not the birthday of any of the N persons. Then, by subtraction find the probability asked for.
(You can get a more compact answer using the relationship (1-ϵ)k ~ ϵ-kϵ if ϵ«1).
How many people should be assembled so that there is a 25%, 50%, and 90% chance that at least one has a birthday on the same day?

A

P=(1−(364/365)^N) for 25% 105 people, for 50% 253 people, for 90% 840 people

How well did you know this?
1
Not at all
2
3
4
5
Perfectly
5
Q

Assume that you are giving a multiple choice exam with ten questions. Each question has 3 possible answers. Some of your students are guessing their way through the exam.
a) Calculate the probability function, P(correct, wrong)) for the full range of possibilities (i.e. from 10 correct answers to 0 correct answers). Plot your results on a graph.
b) In a class with 500 students, how many students who are guessing do you expect will either get all ten questions correct? How many students who are guessing will get all ten questions wrong?

A

A) p(r, 10)=(10¦r) (1/3)^r (2/3)^(10−r)
P(10) = 0.000016935
P(9) = 0.0003387
P(8) = 0.00304831
P(7) = 0.016257684
P(6) = 0.05690189
P(5) = 0.136564548
P(4) = 0.22760758
P(3) = 0.260122948
P(2) = 0.195092211
P(1) = 0.086707649
P(0) = 0.0173415299

B) 500 times each of those numbers

How well did you know this?
1
Not at all
2
3
4
5
Perfectly
6
Q

What is the stead state solution for the diffusion equation and its solution for spherical symmetry?

A

Image:

How well did you know this?
1
Not at all
2
3
4
5
Perfectly
7
Q
A
How well did you know this?
1
Not at all
2
3
4
5
Perfectly
8
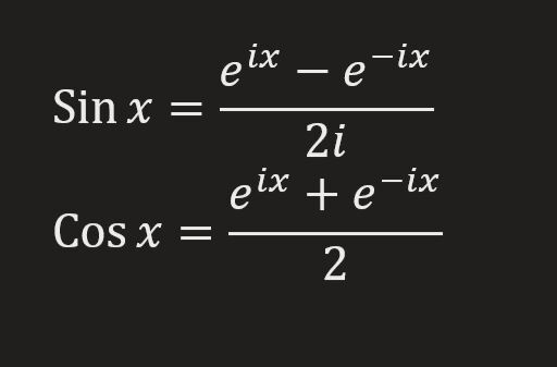
Q

What are the Exponential Identities of Sin(x) and Cos(x)?

A
How well did you know this?
1
Not at all
2
3
4
5
Perfectly
9
Q

What are the half angel identities for Sin(x) and Cos(x)?

A
How well did you know this?
1
Not at all
2
3
4
5
Perfectly
10
Q

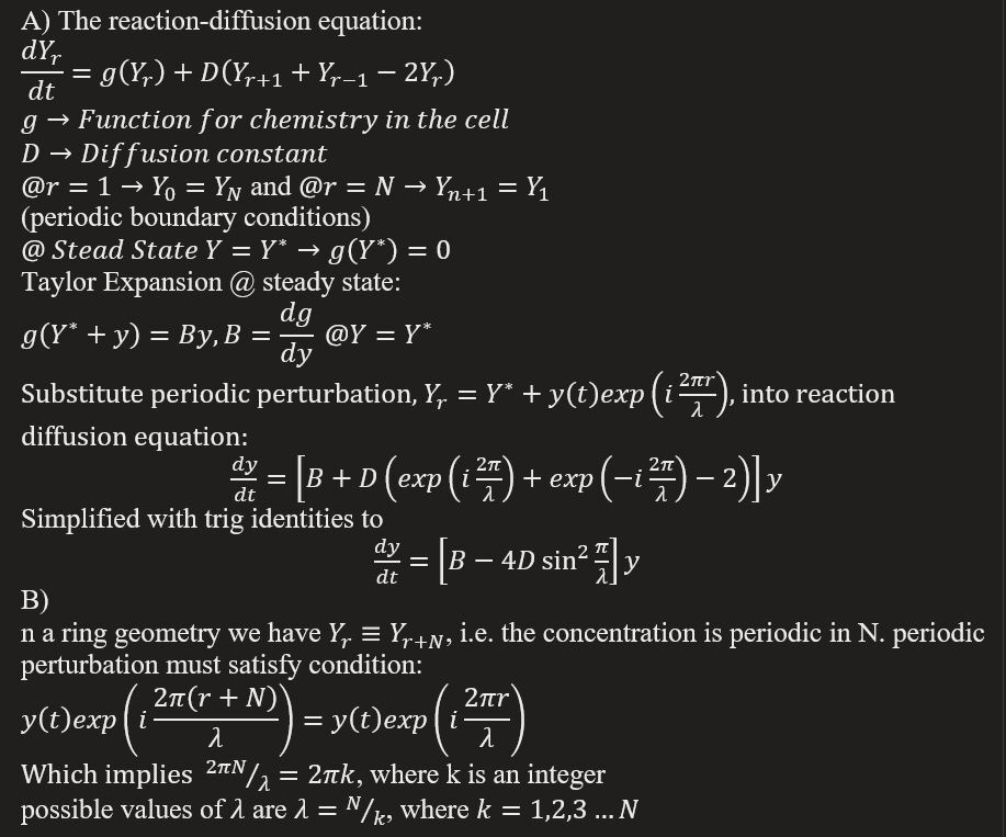
We considered a one-dimensional lattice of cells (in a ring) with only one morphogen species present:
a) Rewrite the reaction diffusion equation for the Turing system, Equation 20.40, for the case of a single morphogen whose concentration within a cell is Yr. Then consider a small periodic perturbation of the uniform steady state Yr = Y* of the form Yr = Y* + y(t)*exp(2πir/λ) and derive the dynamical equations for the amplitude y(t).
(b) Assuming that there are N cells in the system and that they are arranged in a ring so that the r = 1 cell has the r = N and r = 2 cells as its nearest neighbors, what are the allowed values of the wavelength λ for the periodic perturbation?

A
How well did you know this?
1
Not at all
2
3
4
5
Perfectly
11
Q
A
How well did you know this?
1
Not at all
2
3
4
5
Perfectly
12
Q
A
How well did you know this?
1
Not at all
2
3
4
5
Perfectly
13
Q

Summation formula for finite and infinite geometric series

A

S(finite)= a1[(1-r^n)/(1-r)]
S(infinite) = a1/(1-r)

where r = a(n)/a(n-1)

How well did you know this?
1
Not at all
2
3
4
5
Perfectly