What is a wave?
Oscillations that transfer energy without the transfer of matter
Define oscillation
Movement about a central point
Label arrow 1

Wavelength
Label arrow 2

Amplitude
Define wavelength
Distance between two consecutive points on a wave OR the length of a complete oscillation
Define displacement
Distance of a point on a wave from the equilibrium position
Define amplitude
Maximum displacement from the wave to the equilibrium point (central line)
Define time period and give its unit
The time for one complete oscilliation (wave)
Unit: second
Define frequency and give its unit
Number of complete waves per second
Unit is hertz (Hz)
What is the formula that relates time period and frequency
T = 1 / f
What do the symbols mean in the following equation:

v = wave speed
lambda = wavelength
f = frequency
Describe how the displacement of a point on a wave will change with time
It will go up and down as if it is oscillating about a point
Name the two types of wavefront
Longitudinal and transverse
Describe what a transverse wave is and give an example
The wave oscillates perpendicular to the direction of energy transfer. E.g. light waves (Electromagnetic spectrum)
Describe what a longitudinal wave is and give an example
The wave oscillates parallel to the direction of energy transfer e.g. sound
Describe how sound waves are transferred
They are transferred via particle vibrations
Compare sound and light
Sound has a lower wave speed (330m/s) compared to light (3x108m/s)
Sound needs particles to travel and cannot travel through a vacuum
Both are waves
Sound tends to be lower frequency and longer wavelengths
Sound is longitudinal and light is transverse
Name the 7 parts of the EM spectrum
Radio Micro IR Visible UV X-Ray Gamma
Convert nm into m
1nm = 1x10-9m
Convert MHz into Hz
1MHz = 1x106Hz
State what the inverse square law is
As the distance from the light source increases the intensity of light will decrease by square
What is refraction?
The apparent changing of direction of light when it hits a boundary between two media (e.g. glass and iar)
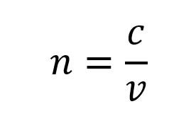
State the meanings of the terms in the equation

n = the refractive index of the material
c = the speed of light in air (vacuum)
v = the speed of light in the material