Physics Equations Combined Flashcards

(79 cards)

1
Q

(1) (Equation) What is the equation of kinetic friction?

A

fk= μk * N

fk= kinetic friction
μk= coefficient of kinetic friction
N= normal force

Normal force= m*g or n= mass x gravity

How well did you know this?
1
Not at all
2
3
4
5
Perfectly
2
Q

(1) (Equation) What is the equation for the force of gravity (or weight)?

A

Fg= mg

Fg= weight of the object
m= mass of object
g= acceleration due to gravity, 9.8 m/s2 which is usually rounded to 10 m/s2

Key concept: The center of mass of a uniform object is at the geometric center of the object (like a ball). However, keep in mind that most objects are not uniform (i.e. human, tennis racket, TV)

How well did you know this?
1
Not at all
2
3
4
5
Perfectly
3
Q

(1) (Equation) What is the equation of average acceleration?

A
How well did you know this?
1
Not at all
2
3
4
5
Perfectly
4
Q

(Equation) what is newton’s first law of inertia?

A

states that an object will remain at rest or move with a constant velocity if there is no net force on the object.

Fnet=ma=0

Fnet= the net force
m= the mass
a= acceleration

How well did you know this?
1
Not at all
2
3
4
5
Perfectly
5
Q

(1) (Equation) what is Newtons’ second law of acceleration?

A

States that any acceleration is the result of the sum of the forces acting on the object and its mass. In other words, an object of mass m will accelerate when the vector sum of the forces results in some non-zero resultant force vector

Fnet=ma

Fnet= the net force
m= the mass
a= acceleration

How well did you know this?
1
Not at all
2
3
4
5
Perfectly
6
Q

(1) (Equation) What is Newton’s third law of acceleration?

A

Newton’s third law states that any two objects interacting with one another experience equal and opposite forces as a result of their interaction. In other words, to every action, there is always an opposed but equal reaction

FAB= -FBA

How well did you know this?
1
Not at all
2
3
4
5
Perfectly
7
Q

(1) (Equation) What is the equation used to find position from velocity?

To find maximum height when something is thrown (no time):

A

∆x=vot+ (1/2) a t 2

v= final velocity (may be 0)
vo= is the initial velocity
a= acceleration due to gravity, 9.8 m/s2 which is usually rounded to 10 m/s2
x or y= distance

How well did you know this?
1
Not at all
2
3
4
5
Perfectly
8
Q

(1) (Equation) in inclined plane equations, what is the force that is parallel to the ramp?

What is the force that is perpendicular to the ramp?

A

Fg∥=mg sin⁡θ (force parallel to the ramp)
Fg⊥=mg cos⁡θ (force perpendicular to the ramp) (normal force)

Fg∥= the component of gravity parallel to the plane (oriented down
Fg⊥= component of gravity perpendicular to the plane
m= mass
g= acceleration due to gravity (9.8 m/s^2)
θ= angle of the incline

How well did you know this?
1
Not at all
2
3
4
5
Perfectly
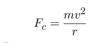
9
Q

(1) (Equation) What is the equation of circular motion, or centripetal force?

A

Fc= magnitude of centripetal force
m= mass
v= speed
r= radius of the circular path

How well did you know this?
1
Not at all
2
3
4
5
Perfectly
10
Q

(1) (Equation) What is the gravitational force equation?

Or the gravitational force between two objects

A

It’s important to note that if one of the masses is triple, then the gravitational force will triple. If the distance changes, the force will change as an exponent of that distance change.

How well did you know this?
1
Not at all
2
3
4
5
Perfectly
11
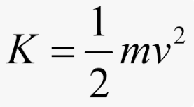
Q

(2) (Equation) What is the equation for kinetic energy?

A

K= Kinetic energy (in Joule)
Joule= (kg×m2)/s2
m= mass (in kilograms!)
v= speed in meters per second

Also, KE=1/2 mv 2= W= F*d

How well did you know this?
1
Not at all
2
3
4
5
Perfectly
12
Q

(2) (Equation) What is the equation for gravitational potential energy?

A

U=mgh

U= potential energy(in Joule)
Joule= (kg×m^2)/s^2 

    m= mass in kilograms
g= acceleration due to gravity (9.8 m/s)
h= height of the object above the datum.
How well did you know this?
1
Not at all
2
3
4
5
Perfectly
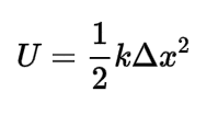
13
Q

(2) (Equation) What is the equation for elastic potential energy?

A

U= potential energy
k= spring constant (a measure of the stiffness of the spring)
x= the magnitude of displacement from equilibrium

How well did you know this?
1
Not at all
2
3
4
5
Perfectly
14
Q

(2) (Equation) What is the equation for work? (like pushing or pulling something)

A

Work is a function of force and displacement

W= F *d = Fd cos Ө

all= Work=F*d= 1/2 m v 2= P∆V

W= work
F= magnitude of the applied force
d= distance of displacement
Ө= the angle between the applied force vector and the displacement vector

How well did you know this?
1
Not at all
2
3
4
5
Perfectly
15
Q

(2) (Equation) What is the equation for work? Like a piston?

A

W= P ∆V

W= work
P= pressure
∆V= volume

Key Concept: When work is done by a system (the gas expands), the work is said to be positive. When the work is done on a system (the gas compresses), the work is said to be negative. The MCAT will not expect you to calculate the integral of a P-V graph using calculus, but you are expected to be able to calculate the area under a straight line graph if necessary.

How well did you know this?
1
Not at all
2
3
4
5
Perfectly
16
Q

(2) (Equation) What is the equation for power?

In terms of work?

A

P= power
SI unit for power is Watt, which is equal to J/s
W= work (which is equal to ∆E, the change in energy)
t= time

How well did you know this?
1
Not at all
2
3
4
5
Perfectly
17
Q

(2) (Equation) What is the work-energy theorem, what what does it mean?

A

The work-energy theorem states that when net work is done on or by a system, the system’s kinetic energy will change by the same amount. In more general applications, the work done on or by a system can be transferred to other forms of energy as well.

Wnet= ∆K = Kf- Ki

Wnet= total energy completed
∆K= change in kinetic energy
Kf= final kinetic energy
Ki= initial kinetic energy

How well did you know this?
1
Not at all
2
3
4
5
Perfectly
18
Q

(2) (Equation): What is the equation for mechanical advantage?

A

Mechanical Advantage = Fout/Fin

Fout= force exerted on an object by a simple machine
Fin = force actually applied on the simple machine

Mechanical advantage is a ratio of the output force generated given a particular input force.
Efficiency is a ratio of the useful work performed by a system compared to the work performed on the system.

How well did you know this?
1
Not at all
2
3
4
5
Perfectly
19
Q

(2) (Equation) In mechanical advantage, what is the equation for efficiency?

A

Efficiency
Wout= load or load distance
Win= effort or effort distance

Another way to think of this is efficiency= (Force x distance for the load being lifted or the object) / (Force x distance for the person pulling the object).

In this case, the distance is going to be less for the object, and more for the person pulling. However the force will be less for the person pulling, and more for the object.

Mechanical advantage is a ratio of the output force generated given a particular input force.
Efficiency is a ratio of the useful work performed by a system compared to the work performed on the system.

How well did you know this?
1
Not at all
2
3
4
5
Perfectly
20
Q

3 (Equation) What is the equation for length change based on a temperature of a solid?

A

∆L= αL∆T

∆L= change in length
α= coefficient of linear expansion (given)
L= original length
∆T= change in temperature

CHANGE A LOT

How well did you know this?
1
Not at all
2
3
4
5
Perfectly
21
Q

3 (Equation) What is the equation for volume change based on a temperature of a liquid?

A

∆V= αV∆T

∆L= change in length
α= coefficient of linear expansion (given)
L= original length
∆T= change in temperature

How well did you know this?
1
Not at all
2
3
4
5
Perfectly
22
Q

3 (Equation) What is the first law of thermodynamics?

A

∆U= Q-W

∆U= change in internal energy= positive: increase temperature= neg: decrease temp
Q= heat= +: heat flows into system, - : heat flows out of system
W= work= +: work is done by the system (expansion), -: work is done on the system (compression).

You can think of T as temperature, Q as heat, and W as pressure.

The first law of thermodynamics is a statement of conservation of energy: the total energy in the universe can never decrease or increase.

How well did you know this?
1
Not at all
2
3
4
5
Perfectly
23
Q

3 (Equation) What is the equation for temperature change without phase change?

A

q=mc∆T

q= heat
m= mass
c= specific heat value
T= change in temperature (generally Kelvin)

How well did you know this?
1
Not at all
2
3
4
5
Perfectly
24
Q

3 (Equation): What is the equation for an isothermal process, and what is an example?

A

Q = W because (ΔU = 0)

Isothermal means no temperature change.
ΔU= temperature
Q= heat
W= work (or pressure)

Temperature= heat - pressure

An example would be a boiling pot of water. It stays the same temperature.

How well did you know this?
1
Not at all
2
3
4
5
Perfectly
25
**3** **(Equation)**: What is the equation for an **adiabatic process**, and what is an example?
**Adiabatic**= no heat exchange **ΔU = −W** because (Q = 0) Adiabatic= no heat exchange (A (absence diabtic= diablo- no heat) ΔU= temperature Q= heat W= work (or pressure) Example: Pot without a heat source, just being pressurized.
26
**3** **(Equation)**: What is the equation for an **isobaric process**, and what is an example?
Pressure is held constant. Multiple forms. A pot that is open to the air that is being heated. It should be noted, something could be isobaric and isothermic.
27
**3** **(Equation)**: What is the equation for an isochoric process, and what is an example?
**Isochoric**= same volume, so there is no work ΔU = Q because  (W = 0) An example is a pressure cooker with a lid. The volume is going to be the same.
28
**3** **(Equation)** What is the equation for **entropy**?
**ΔS= entropy** **Key concept**: The universe is a closed, expanding system, so you know that the entropy of the universe is always increasing. The more space that appears with the expansion of the universe, the more space there is for the entire universe’s energy to be distributed and the total entropy of the universe to increase irreversibly.
29
**4** **(Equation)** What is the equation for **Density**?
**ρ**=density **m**= mass **V**= volume
30
**4****(Equation)** Weight of a fluid.
**Fg=ρVg** or **Fg=gm** Note= the difference in these equations is that in the first one, you don't know the mass but you know density (taken from the density equation of p=m/v), and in the second one you do know the equation. **Fg= weight** **ρ** = density **V**=volume **g**= acceleration due to gravity (9.8 or 10m/s2)
31
**4** **(Equation)** What is the equation for **specific gravity**?
ρ=density of substance over the specific gravity of water ** The value of SG is going to be unitless. It just tells you if it will float or not. If it is greater than 1, it will sink in water. If it is less than 1, it is less dense and it will float.
32
**4** **(Equation)** What is the equation for pressure?
**P**=pressure - Units for pressure= pascal (Pa) which equals - 1Pa= 1 N/m2= - 1atm= 760 torr= 760 mmHg =**110,130 Pa** **F**=force (N) **A**= area (m2)
33
**4** **(Equation)** What is the equation for hydrostatic pressure?
**P=Po + ρgz** * **P**=absolute pressure * **Po**= incident or ambient pressure (does not always mean ambient pressure, however, in general, 1 atm) * **ρ**= density of the fluid * **g**= acceleration due to gravity (9.8 m/s2) * **z**= depth of the object
34
**4** **(Equation)** What is the equation for **gauge pressure**?
It's important to note that because the Incident or ambient pressure generally equals the atmospheric pressure, the equation just results to **Pgauge= ρgz** The longer version of this is: **Pgauge=P-Patm= (Po +ρgz)-Patm** * Pgauge= pressure of the gage * P= total pressure * Patm= pressure outside the closed system * Po= incident or ambient pressure (does not always mean ambient pressure, however, in general, 1 atm) * ρ= density of the **fluid** NOT object * g= acceleration due to gravity * z= depth of the object
35
**4** (Equation) What is application of Pascal's law to hydraulic machine and mechanical advantage?
P= pressure F1=downward force on piston 1 A1= Surface area of piston 1 F2= the upward force on piston 2 A2= the surface area of piston 2 Similar the the equation F=W=P∆V in that P=W/∆V
36
**4** (Equation) What is the equation for Buoyance?
**F**buoy=**ρ**fluid **V**fluid displaced **g**= **ρ**fluid**V**submerged **g** Fg,b= mbg=ρbVbg **Fbuey**= upwards **ρfluid**= density of fluid (NOT DENSITY OF OBJECT) **Vfluid displaced**=fluid displaced **g**= force exerted by gravity **ρfluid** = density of fluid displaced (NOT DENSITY OF OBJECT) **Vsubmerged** =volume of the object submerged
37
**4** **(Equation)** What is the equation to calculate the rate of flow through a pipe or confined space?
* Q= flow rate (volume flowing per time) * **r= radius of the tube** * ∆P= the pressure gradient * η= viscosity of the fluid * L=length of the pipe **Key Point**: The MCAT really will not test on this equation. However, it does want you to know that the flow will increase if the radius increases (by an exponent of 4). So it’s important to know that a slight change in the radius may have a significant effect on the pressure gradient.
38
**4** (Equation) What is Bernoulli's equation for static pressure and dynamic pressure?
* **P**= absolute pressure of the fluid * **ρ**= density of the fluid * **v**= linear speed * **g**= the acceleration due to gravity * **h**= the height of the fluid above some datum Pressure + KE + Potential Energy= Pressure + KE + Potential Energy **Key Point**: in the end, Bernoulli’s equation is nothing other than a statement of energy conservation: more energy dedicated toward fluid movement means less energy dedicated toward static fluid pressure. Also, the inverse is true: more static pressure means less movement. **If they are the same height** you can ignore the ρgh because they will be the same on both sides It tells us that when the liquid speeds up, its pressure goes down.
39
**4** **(Equation)** What is the equation that compares area and flow in a tube? i.e. when one tube increases in diameter, what happens to the speed of the flow?
Q=A1v1=A2v2 A= area (remember, area = πr2 v= speed in m/s
40
**5** **(Equation)** What is the equation for **Coulomb's Law**? I.E. The electrostatic force between two charges.
**Fe**= the electrostatic force between two charges **k**= Coulomb’s constant **q1 & q2**= the magnitude of the two charges **r**= distance between charges. ** it’s important to note that force will change by a magnitude of distance squared when they forces are separated. Very similar to the equation for *gravitational force*
41
**5** **(Equation)** What is the equation for the magnitude of an **electric field**? Or electric field magnitude
**E**= the electric field **magnitude** in newtons per coulomb **Fe**= magnitude of the force felt by the test charge q **q**= test charge **k**= electrostatic constant 8.99×109 (N⋅m2)/C2) **Q**=is the source charge magnitude **r**= distance between the charges Key Concept: by dividing coulomb’s law by the magnitude of the test charge, we arrive at two ways of determining the magnitude of the electric field at a point in space around the source charge. Note: the second equation does not require a test charge.
42
**5** **(Equation)** What is the equation for **electric potential energy**? POTENTIAL ENERGY not ELECTRIC POTENTIAL
**U**= electric potential energy **k**= electrostatic constant 8.99×109 (N⋅m2)/C^2 **Q**= the source charge magnitude= electron x (e=1.6x10-19 C) **q**= the test charge magnitude = electron x (e=1.6x10-19) **r**= radius
43
**5** **(Equation)** What is the equation for the **electric potential**?
**V**= electric potential measured in volts (V) (1 V = 1 J/C) **U**= electric potential energy **q**= the test charge magnitude = electron x (e=1.6x10-19 C) **Q**= the source charge magnitude= electron x (e=1.6x10-19 C) **k**= electrostatic constant 8.99×109 (N⋅m2)/C2 2
44
**5** (Equation) What are the four equations that you should know for the MCAT based off of coulomb's law?
From left to right, multiply by R From top to bottom, divide by q
45
**5** **(Equation)** What is the equation of a **magnetic field** from a wire **(straight wire)**?
**B**= magnetic field **r**= distance from the wire **µ 0**= permeability of free space **I**= current
46
**5** **(Equation)** What is the equation of a magnetic field for a loop wire?
**B**= magnetic field **r**= distance from the wire **µ0**= permeability of free space **I**= current Note, it is the same equation, just without the pi. This gives the magnitude of the magnetic field only at the center of the circular loop of current carrying wire with a radius r.
47
**5** (Equation) What is the equation for the magnetic force exerted on an object moving by?
**Fb=qvBsinӨ** * **Fb**= the magnetic force * **q**= the charge of the moving object * **v**= the velocity of the moving charge * **B**= magnitude of the magnetic field * **Ө**= the smallest angle between the velocity vector and the magnetic field.
48
**5** (Equation) What is the equation for the magnetic force exerted on an object moving by a **current-carrying wire**?
**Fb=ILBsinӨ** * **Fb**= the magnetic force * **I**= The current * **L**= length of the wire field * **B**= magnitude of the magnetic field * **Ө**= the smallest angle between the velocity vector and the magnetic field.
49
**6** **(Equation)** What is the equation for current?
**Q**= charge (coulomb) **∆t**= time (seconds) **I**= current (Ampere= coulomb per second)
50
**6** **(Equation)** What is the equation for determining the **resistance** of a wire? **like the intrinsic resistance of a physical wire itself**
**R**= resistance (measured in Ohms (Ω). **L**= length of the resistor **ρ**= resistivity- characterizes the intrinsic resistance to current flow **A**= cross sectional area.
51
**6** **(Equation)** What is Ohm's law and what does it mean? Or, what is the equation for voltage drop with a given resistance?
**V=IR** **V**= voltage drop **I**= current **R**= magnitude of resistance Ohm’s law states that for a given resistance, the magnitude of the current through a resistor is proportional to the voltage drop across the resistor.
52
**6** **(Equation)** What is the equation for power in a resistor?
**P**= Power **I**= current through the resistor **V**= voltage drop across the resistor **R**= resistance of the resistor. **Real World**: Because power equals voltage times current, power companies can manipulate these two values while keeping power constant. One option is to increase current, which results in a decrease in voltage. The other option would be to increase voltage, thus decreasing the current. Power lines are high-voltage lines, which allows them to carry a smaller current—thus decreasing the amount of energy lost from the system.
53
**6** **(Equation)** How do you calculate the amount of resistance with **resistors** in a **series**?
**Rtotal= R1 + R2 + R3…** Key concept: When there is only one path for the current to take, the current will be the same at every point in the line, including through every resistor. Once you know the current of the whole circuit, you can use V=IR to solve for the voltage drop across each resistor (assuming that you know the resistance of the resistors).
54
**6** **(Equation)** How do you calculate the amount of resistance with **resistors** in **parallel** ?
55
**6** **(Equation)** What is the equation that relates *power, current, voltage, and resistance*?
56
**6** **(Equation)** What is the equation for capacitance? Two equations.
**C = (εA)/d** C= capacitance ε=permittivity A= parallel plate area d= distance between two plates _____________________________________________________________ **C**= Capacitance **Q**= Charge (+Q on the positive plate and -Q on the negative plate) **V**= Voltage
57
**6** **(Equation)** What is the equation for **capacitance** in a *parallel plate capacitor*?
**C**= capacitance **ε**= permittivity of free space (8.85 x 10-12 F/m) (F= farad= 1 C/V NOT faraday’s constant) **A**= the area of overlap of the two plates **d**= the separation of the two plates. FYI- the other equation for capicitance is c=Q/V Capacitance will increase if you *increase* the *area* or *decrease* the *distance*
58
**6** **(Equation)** What is the equation for the potential energy of the capacitor?
**U**= potential energy of capacitor **C**= capacitance **V**= voltage
59
**6** **(Equation)** What is the equation for *capacitance due to a dielectric material*?
**C'=κC** **C’** = the new capacitance **κ**= dielectric constant **C**= original capacitance **Key Concept**: It’s important to note that a dielectric material can never decrease the capacitance; thus k can never be less than 1.
60
**6** **(Equation)** What's the equation for **capacitors** that are added in **parallel**?
61
**6** **(Equation)** What's the equation for **capacitors** that are added in **series**?
62
**6** **(Equation)** What's the equation for **capacitors** that are added in **series**?
*
63
**7** **(Equation)** What is the equation for the **speed of sound** in a given medium?
**b**=Bulk modulus (a measure of the medium’s resistance to compression) **ρ**= density of the medium **v**= speed of sound Sound and air has like no resistance to compression. That's why air propagates sound more slowly than solids. What is the bulk modulus? The relevant elastic property is the bulk modulus, B. This tells us how much a medium's volume changes when the pressure on it changes.
64
**7** **(Equation)** What is the equation for the **doppler effect**?
**f’**=is the perceived frequency (Hz) **f**= actual emitted frequency (Hz) **v**= speed of sound in a medium (340 m/s) **vd**= the speed of sound of the detector (you listening to the siren) **vs**= speed of the source Note both the + and – signs. The upper sign (+) should be used when the *detector* (you) is moving source is moving *toward the other object* (ambulance). The lower sign should be used when the detector (you) or source is moving away from the other object (ambulance).
65
**7** **(Equation)** What is the equation for sound intensity, or **loudness**?
**I**= intensity (W/m2) **P**= power (Watts) **A**= area (m2) **Real world**: the power delivered across the surface such as the tympanic membrane is equal to the product of the intensity **I** and the surface area **A**, assuming the intensity is uniformly distributed.
66
**7** **(Equation)** What is the equation for **intensity** as it is converted to **decibles**.
**β**= sound level, measured in decibels (dB) **I**= intensity of the sound **IO**= threshold of hearing (1x10-12 W/m2)
67
**7** **(Equation)**: What is the equation for the **wavelength** of a **string**?
**λ**= wavelength **L**= length **n**= the harmonic, which corresponds to the number of half-wavelengths supported by the string (easy way to remember: *number of antinodes*)
68
**7** **(Equation)** What is the equation for the **pitch** of a **standing wave of a string**?
*Pitch* is a result of the *frequency* **f**= frequency (Hz) **n**= harmonic (number of antinodes) **v**= speed of the wave (m/s) **L**= length (m)
69
**7** **(Equation)** What is the equation for **wavelength** of a sound wave in a **closed pipe**?
**λ**= wavelength of standing wave in closed pipe **L**= length **n**= the harmonic, which corresponds to the number of half-wavelengths supported by the string. This can only be *odd integers* (n= 1,3,5 and so on)
70
**7** **(Equation)** **Frequency or (pitch)** of the standing wave in a closed pipe
**f**= frequency **v**= speed of the wave **L**= length **n**= the harmonic, which corresponds to the number of half-wavelengths supported by the string. This can only be *odd integers* (n= 1,3,5 and so on)
71
**7** (Equations): Write out the equation for wavelength and pitch (frequency) for closed pipes and strings.
72
**8** **(Equation)** What is the equation for magnification?
**m**= magnification (unitless) **i**= distance between image and the mirror **o**= distance between the object and the mirror *note the negative sign* When the image is less than than the object distance, the object is minimized. When the image distance is greater than the object distance, the object is magnified. **magnification** | m |>1 indicates magnification magnification | m |<1 indicates minimization | m |> 1 indicates
73
**8** **(Equation)** What is the equation for the index of refraction of a medium
**n**= dimensionless quality called the index of refraction of the medium **c**= speed of light in a vacuum **v**= speed of light in a *medium* FYI: to give context, the index of refraction of air is 1
74
**8** (Equation) What is the equation to determine the angle of light rays when they pass from one medium to another?
**n1 sinӨ1**= medium from which the light is coming **n2 sinӨ2**=Medium into which the light is entering **n** = you get this value from equation of speed in a medium ( **n=c/v** ) You measure the angles in relation to the ‘critical angle’ down the middle
75
**8** **(Equation)** What equation do you use for magnification and distance between objects for lenses?
It's the same for mirrors. **o**= distance between the object and the mirror **i**= distance between the image and the mirror **r**= radius of the curvature **f**= focal point **m**= magnification (unitless) **i**= distance between image and the mirror **o**= distance between the object and the mirror
76
**8** **(Equation)** What is the equation for the power of a lens?
**P**=power of lens **f**= focal length
77
**8** **(Equation)** what is the equation for focal length when you add multiple lenses together?
78
**7** **(Equation)** What is the equation to convert linear frequency to angular frequency (radians)?
**ω=2πf** **ω**= angular frequency (radians) **f**= linear frequency (Hz)
79
**7** **(Equation)** What is the equation for the **velocity** of a wave?
**v= fλ** **v**= Velocity of the wave (m/s) **f**= linear frequency (Hz) **λ**= wavelength (m)