Physics Unit 1 Flashcards

(6 cards)

1
Q
A

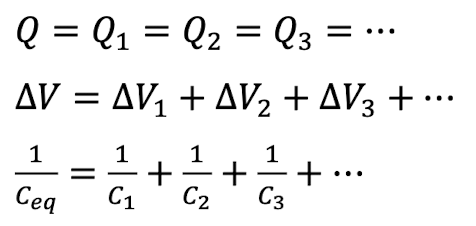
Capacitors in Series

How well did you know this?
1
Not at all
2
3
4
5
Perfectly
2
Q
A

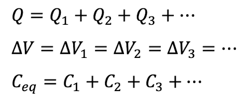
Capacitors in Parallel

How well did you know this?
1
Not at all
2
3
4
5
Perfectly
3
Q

The equivalent capacitance will always be less than any individual capacitance for capacitors in _____________

A

series

How well did you know this?
1
Not at all
2
3
4
5
Perfectly
4
Q

The equivalent capacitance will always be greater than any individual capacitance for capacitors in __________

A

parallel

How well did you know this?
1
Not at all
2
3
4
5
Perfectly
5
Q

_______ = C * ΔV

A

Q

How well did you know this?
1
Not at all
2
3
4
5
Perfectly
6
Q
A
How well did you know this?
1
Not at all
2
3
4
5
Perfectly