Physik II Flashcards

(4 cards)

1
Q

SS 23: Blatt 2 - Aufgabe 1: Kraft auf eine Ladung im Feld eines elektrischen Dipols

A
How well did you know this?
1
Not at all
2
3
4
5
Perfectly
2
Q

Blatt 4 - Aufgabe 1: Geladener Wassertropfen

A
How well did you know this?
1
Not at all
2
3
4
5
Perfectly
3
Q

Blatt 4 - Aufgabe 2: Plattenkondensatoren / Dielektrika

A
How well did you know this?
1
Not at all
2
3
4
5
Perfectly
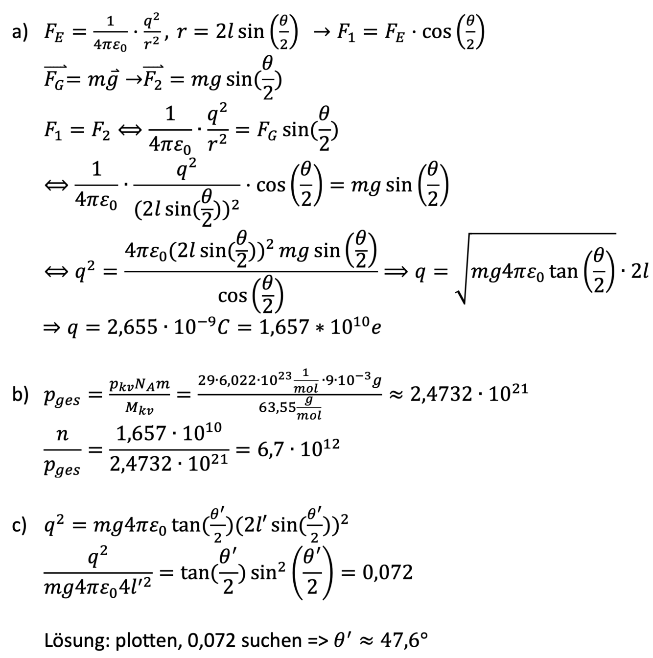
4
Q

SS 23: Blatt 1 - Kräfte auf geladene Kügelchen

A
How well did you know this?
1
Not at all
2
3
4
5
Perfectly