Practical Skills Flashcards

(61 cards)

1
Q

What is resolution of a measuring device?

A

This is the smallest change on a measuring instrument that gives a perceptible change in the reading.

How well did you know this?
1
Not at all
2
3
4
5
Perfectly
2
Q

In experiments what is precision?

A

A measure of the spread of the values about a mean value
(high presiscion = small spread)

Random errors determine precision of data

How well did you know this?
1
Not at all
2
3
4
5
Perfectly
3
Q

How is precision different to accuracy?

A

Precision is how close the values are to a mean value

Accuracy is how close that mean value is to the actual value

Results can be precise but inaccurate (eg with a systematic error)

How well did you know this?
1
Not at all
2
3
4
5
Perfectly
4
Q

What makes a measurement accurate?

A

If it is close to the true value (within its absolute uncertainty)

How well did you know this?
1
Not at all
2
3
4
5
Perfectly
5
Q

What is a measurement error?

A

Taking a reading and that is different to the actual value
(caused by random or systematic errors)

How well did you know this?
1
Not at all
2
3
4
5
Perfectly
6
Q

What are the 2 types of measurement errors?

A

**1. Random
2. Systematic **
Subcategories: zero, callibration, parallax, reaction time

How well did you know this?
1
Not at all
2
3
4
5
Perfectly
7
Q

What is an anomaly?

A

An incorrect measurement outside of the range of uncertainty

How well did you know this?
1
Not at all
2
3
4
5
Perfectly
8
Q

How do you deal with anomalies in results?

A
  • Repeat measurement if possible
  • If not discount anomalous result
How well did you know this?
1
Not at all
2
3
4
5
Perfectly
9
Q

What is a random error?

A

Something unpredictable that causes results to be randomly spread out around a true value

How well did you know this?
1
Not at all
2
3
4
5
Perfectly
10
Q

How do you reduce random errors in experiments?

A

Take repeat measurements and calculate averages

How well did you know this?
1
Not at all
2
3
4
5
Perfectly
11
Q

What is a systematic error?

A

An error that causes all results to be affected by the same amount (eg reaction time using stopwatch)

Can be caused by miscalibrated equipment (zero error)

How well did you know this?
1
Not at all
2
3
4
5
Perfectly
12
Q

How do you reduce systematic errors in experiments?

A

Ensure equipment is correctly calibrated or alter the method

How well did you know this?
1
Not at all
2
3
4
5
Perfectly
13
Q

What is a parallax error?

A

An error caused by viewing the object and the scale at an angle rather than square on.

How well did you know this?
1
Not at all
2
3
4
5
Perfectly
14
Q

What 2 things do you do to reduce parallax errors in experiments?

A
  1. Bring eyeline as level with scale as possible with a mirror
  2. Place measuring equipment as close to object as possible
  3. Use a set square to align the object and the scale
How well did you know this?
1
Not at all
2
3
4
5
Perfectly
15
Q

What type of error is this?

A

Random error (Reduced by taking repeats and average)

How well did you know this?
1
Not at all
2
3
4
5
Perfectly
16
Q

What type of error is this?

A

Parallax

How well did you know this?
1
Not at all
2
3
4
5
Perfectly
17
Q

What type of error is this?

A

Systematic

How well did you know this?
1
Not at all
2
3
4
5
Perfectly
18
Q

What kind of error is this?

A

Systematic

How well did you know this?
1
Not at all
2
3
4
5
Perfectly
19
Q

What makes an experiment a fair test?

A

Only one variable is changed (independent variable) to affect the dependent variable

How well did you know this?
1
Not at all
2
3
4
5
Perfectly
20
Q

For a scientific result to be accepted what 2 conditions must the experiment meet?

A
  1. Repeatable - If you can perform the experiment again and get the same result
  2. Reproducible - If someone else can perform the same experiment and get the same result
How well did you know this?
1
Not at all
2
3
4
5
Perfectly
21
Q

In experimental science what is absolute uncertainty?

A

The interval which the actual value of a measurement is expected to lie in

How well did you know this?
1
Not at all
2
3
4
5
Perfectly
22
Q

How is absolute uncertainty for a measurement determined?

A
  • = resolution of equipment x number of judgements made
    or
  • Half range of repeats (discount anomalies)
    or
  • reasonable estimate based on other factors e.g. kinked wire or reaction time
How well did you know this?
1
Not at all
2
3
4
5
Perfectly
23
Q

What is the absolute uncertainty here?

A

±1𝑚𝑚
(measurement = 2 x resolution)

How well did you know this?
1
Not at all
2
3
4
5
Perfectly
24
Q

What is the absolute uncertainty here?

A

±0.01V
(reading = resolution)

How well did you know this?
1
Not at all
2
3
4
5
Perfectly
25
What is the **absolute uncertainty** in these measurements?
±0.05s (0.045 but rounded to match s.f. of the answer)
26
What is the reading on this **venier scale**?
10.02cm
27
What is the reading on this **venier scale**?
3.34cm
28
What is the reading on this **micrometer scale**?
10.83mm
29
What is the reading on this **micrometer scale**?
2.88mm
30
How do you calculate **percentage uncertainty**?
absolute uncertainty/value x 100
31
How do you **combine uncertainties** for measurements that are multiplied or divided?
**Add together their percentage uncertanties** Do not add together their absolute uncertainties
32
How do you **combine uncertainties** for measurements that are added or subtracted?
**Add together their absolute uncertanties** Do not need to add together their percentage uncertainties
33
What has been done wrong here?
Cannot add together absolute uncertainties if units are different Must **only add together percentage uncertainties**
34
What has been done wrong here?
Anomalous result shouldn't have been included AND the absolute uncertainty should be half the range
35
What do **error bars** show?
**Graphically shows absolute uncertainty in one** of the **measurements** (x or y axis)
36
What do **error boxes** show?
**Graphically shows absolute uncertainty in both** of the **measurements** (x and y axis)
37
What is the **absolute uncertainty** in this reading?
38
How do **error bars** help with analysing results?
1. Visually show precision of experiment 2. Help identify anomalous results 3. Allow more precise gradient line to be drawn
39
How do you work out the **percentage uncertainty of a gradient**?
(gradient of best fit - gradient of worst fit line)/(gradient best fit) x 100 OR (Half the range between the steepest and shallowest line)/mean x 100
40
How do you work out the **percentage uncertainty of a y-intercept**?
(intercept of best fit - intercept of worst fit line)/(intercept best fit) x 100 OR (Half the range between the steepest and shallowest intercept)/mean x 100
41
How do you combine these **uncertainties**?
1. Add together percentage uncertainties 2. **Multiply power by corresponding percentage uncertainty**
42
How do you combine these **uncertainties**?
1. Add together percentage uncertainties 2. **Multiply power by corresponding percentage uncertainty**
43
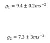
Which of these experiments is more successful?
g2. As the actual value is within it's absolute uncertainty
44
What is wrong here?
Absolute uncertainties must match decimal points of measurements
45
What is wrong here?
Calculated values should match the s.f. of the source values
46
What is wrong here?
Units should be put in the column headings
47
What is wrong here?
Values in each column for recorded data should have the same number of decimal places (they were measured by the same instrument)
48
What is wrong here?
Scale should go up in 1s, 2s or 5s
49
What is wrong here?
Axis need titles and units
50
What is wrong here?
Data take up less than half of the page Instead ** use a broken axis if possible**
51
What is wrong here?
**Data points should always be plotted with crosses** (not dots)
52
What is wrong here?
**Don't force Line of Best Fit through origin**
53
What is wrong here?
**Gradient triangle should be as large as possible**
54
How do you **reduce the percentage uncertainty** of a measurement?
1. Use measuring device with smaller resolution 2. Take bigger measurements if possible (eg use bigger distances in experiment)
55
In this SHM experiment why is time measured over 10 oscillations?
Reduces absolute uncertainty of each oscillation by 10x
56
In this double slit experiment why is distance measured between 11 dots?
Reduces absolute uncertainty of each distance by 10x
57
How is **absolute uncertainty** for a **reading** determined?
* =Resolution of equipment * =Half range of repeats (ignoring anomalies)
58
What is the difference between a **reading** and a **measurement**?
**Reading** - 1 judgement **Measurement** - 2 judgements to calculate value (usually for distances and angles) Absolute uncertainties for measurements = 2 x uncertainties for readings
59
How do you calculate the **absolute uncertainty in a y-intercept?**
intercept of best fit - intercept of worst fit line OR Half the range between the steepest and shallowest intercept
60
How do you calculate the **absolute uncertainty in a gradient?**
gradient of best fit - gradient of worst fit line OR Half the range between the steepest and shallowest line
61
What is **Empirical Evidence?**
Evidence that is **based on observation** and not on theory or a derivation (eg the 3 gas laws were created using empirical evidence)