Proba Flashcards

(58 cards)

1
Q

Qu’appelle-t-on une tribu ?

A
How well did you know this?
1
Not at all
2
3
4
5
Perfectly
2
Q
A
How well did you know this?
1
Not at all
2
3
4
5
Perfectly
3
Q

Qu’appelle-t-on espace probabilisable ?

A

On appelle espace probabilisable tout couple (Ω, A), avec Ω l’univers et A une tribu sur Ω

How well did you know this?
1
Not at all
2
3
4
5
Perfectly
4
Q

Définir une probabilité et un espace probabilisé

A

Plus fort que ce qu’on avait l’année dernière car pas fini

Le A est une tribu et les Ai sont des événements

How well did you know this?
1
Not at all
2
3
4
5
Perfectly
5
Q

Que peut-on dire de la probabilité de :

  • l’ensemble vide
  • le complémentaire
  • A ⊂ B
  • A U B

Justif

A
How well did you know this?
1
Not at all
2
3
4
5
Perfectly
6
Q

Qu’appelle-t-on un événement négligeable ?

A

Un événement dont la probabilité est nulle

How well did you know this?
1
Not at all
2
3
4
5
Perfectly
7
Q

Qu’appelle-t-on un événement presque sûr ?

A

Un événement de probabilité 1

How well did you know this?
1
Not at all
2
3
4
5
Perfectly
8
Q

Qu’appelle-t-on un système complet d’évènements ?

A
How well did you know this?
1
Not at all
2
3
4
5
Perfectly
9
Q

Qu’appelle-t-on un événement ?

A

Un élément de la tribu

How well did you know this?
1
Not at all
2
3
4
5
Perfectly
10
Q

Comment utiliser un système complet d’évènements pour calculer une probabilité ?
Justif

A
How well did you know this?
1
Not at all
2
3
4
5
Perfectly
11
Q

Comment montrer que l’intersection infinie d’une suite d’événements d’une tribu appartient à la tribu ?

A
  • on considère le complémentaire de chaque événement, qui appartient à la tribu par définition
  • par définition, l’union infinie de tous les complémentaires appartient aussi à la tribu
  • ainsi, le complémentaire de cette union infinie appartient aussi à la tribu par définition, c’est ce qu’on voulait
How well did you know this?
1
Not at all
2
3
4
5
Perfectly
12
Q

Qu’appelle-t-on deux événements incompatibles ?

A

Deux événements dont la probabilité de l’intersection est nulle

How well did you know this?
1
Not at all
2
3
4
5
Perfectly
13
Q

Que vaut P(B\A) ?

A

Si A ⊂ B : P(B) - P(A)

How well did you know this?
1
Not at all
2
3
4
5
Perfectly
14
Q

Qu’est-ce que la propriété de continuité croissante ? décroissante ?
Justif

A
How well did you know this?
1
Not at all
2
3
4
5
Perfectly
15
Q

Quel résultat intéressant découle directement du théorème de continuité décroissante ?

A

(On applique le théorème de continuité décroissante à Bn l’intersection jusqu’à n des Ak, puisque l’intersection jusqu’à n des Bk est égal au plus petit truc qu’on puisse obtenir en intersectant jusqu’à n les Ak, donc l’intersection jusqu’à n des Ak elle-même)

How well did you know this?
1
Not at all
2
3
4
5
Perfectly
16
Q

Qu’appelle-t-on une propriété presque vraie partout ?

A
How well did you know this?
1
Not at all
2
3
4
5
Perfectly
17
Q

Définir la probabilité conditionnelle

A

B en bas et P(B) en bas

How well did you know this?
1
Not at all
2
3
4
5
Perfectly
18
Q

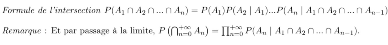
Qu’est-ce que la formule des probabilités composées ?

A
How well did you know this?
1
Not at all
2
3
4
5
Perfectly
19
Q

Qu’est-ce que la généralisation de la formule des probabilités composées ?

A
How well did you know this?
1
Not at all
2
3
4
5
Perfectly
20
Q

Qu’est-ce que la formule de Bayes ?

A

(= P(AnB))

How well did you know this?
1
Not at all
2
3
4
5
Perfectly
21
Q

Sous quelle forme utile utilise-t-on aussi la formule de Bayes ?

A

En combinant la formule de Bayes originelle avec la formule des probabilités totales

How well did you know this?
1
Not at all
2
3
4
5
Perfectly
22
Q

Qu’appelle-t-on deux événements indépendants ?

A
How well did you know this?
1
Not at all
2
3
4
5
Perfectly
23
Q

Que peut-on dire du complémentaire de deux événements indépendants ?
Justif

A
How well did you know this?
1
Not at all
2
3
4
5
Perfectly
24
Q

Qu’appelle-t-on une famille d’évènements mutuellement indépendants ?

25
Qu’est-ce que le premier théorème de continuité croissante ? Justif
26
Qu’est-ce que le deuxième théorème de la continuité monotone ? Justif
27
Qu’est-ce que le corollaire du premier théorème de la continuité monotone ? Justif
28
Qu’est-ce que le corollaire du deuxième théorème de la continuité monotone ? Comment le montrer
29
Qu’est-ce que l’inégalité de Boole ? Justif
30
Quel est le lien entre l’inégalité de Boole et la négligeabilité ?
31
Démontrer
- Boole - continuité décroissante
32
Quelle est la signification de cette propriété ?
33
Qu’appelle-t-on distribution de probabilités discrètes sur Ω ? Quel est son intérêt ?
Il faut : - ∀ω€Ω, pω ≥ 0 - Σpω = 1
34
Montrer que (pn) définit une unique probabilité
35
Montrer que (pn) définit une probabilité
36
Qu’est-ce que la probabilité conditionnelle ? Justifier que c’est une probabilité
37
Qu’est-ce que la forme utile de la formule des probabilités composées ? Pour quoi l’utilise-t-on ?
38
Qu’est-ce que la formule des probabilités totales
39
Définir un système quasi-complet d’événements
La différence : l’union n’a pas besoin de faire Ω, juste d’avoir sa probabilité
40
De quoi a-t-on en réalité besoin pour appliquer la formule des probabilités totales ?
Un système quasi-complet d’événement vérifie la formule des probabilités totales
41
Définir deux événements indépendants
42
Qu’appelle-t-on une famille d’événements indépendants ?
indépendants*
43
Qu’est-ce que la forme utile de la formule de Bayes ? Justif Quand l’utilise-t-on ?
On l’utilise pour trouver la probabilité de la cause sachant l’effet
44
Montrer
45
À quoi faut-il faire attention avec la formulation « probabilité de A sachant B » ?
L’événement « A sachant B » n’a pas de sens, on désigne en fait c’est la probabilité sachant B de l’événement A
46
Quelle est la probabilité d’obtenir pour la première fois une boule blanche au n-ième tirage ?
Bn : tirer boule blanche…
47
Comment montrer que deux événements sont indépendants ?
On calcule la probabilité de A n B et le produit de celle de A et de celle de B
48
Montrer par récurrence que la probabilité de tirer une boule rouge au n-ième tirage est la même qu’au premier tirage
Cela revient à faire une récurrence avec : pour toute urne contenant initialement r boules rouges et b boules blanches, Pr,b(Rn) = r/(r+b)
49
Trouver une relation de récurrence sur P(Aj,k), la probabilité d’être en ωk au j-ième instant et la traduire matriciellement
50
Que représente cette matrice ? Quelle est sa puissance ? Son inverse ?
51
Si N est une matrice de valeurs propres (a0 — an-1) non nulles, déterminer l’ensemble des valeurs propres de J = N + N-1
On a trouvé n valeurs propres donc il ne peut pas y en avoir plus C’est comme d’hab : on a une expression polynomiale (presque, en fonction des puissances quoi en tout cas)
52
À quoi faut-il penser dès qu’on veut calculer la puissance d’une matrice ?
On la diagonalise
53
À quoi faut-il penser si on nous demande : « justifier que … définit une unique mesure de probabilité du (Ω,P(Ω)) » ?
Le théorème qui dit qu’une famille (pω),ω€Ω : - de réels positifs - sommable dont la somme vaut 1 Définit une unique mesure de probabilité sur (Ω, P(Ω)) : ∀ω€Ω, P({ω}) = pω
54
Quel est le schéma à suivre lorsqu’on calcule la probabilité d’un évènement A ?
- on introduit des évènements élémentaires, permettant de décrire l’expérience, expérience aléatoire - on donne une condition nécessaire, nécessaire et suffisante de réalisation de l’évènement A - On traduit cette condition de manière ensembliste, selon les évènements élémentaires précédents - On calcule alors la probabilité de A en partant de l’écriture ensembliste
55
Qu’utilise-t-on pour établir une relation de récurrence sur des probabilités ?
On utilise la formule des probabilités totales
56
De quel ensemble part une probabilité ?
De P(Ω), pas de Ω : on regarde la probabilité d’un évènement pas d’une issue, ça ne veut rien dire la probabilité d’une issue
57
Montrer pourtant qu’il n’existe pas de probabilité P sur (IN*, P(IN\*)) telle que P(k.IN\*) = 1/k pour tout k€IN. En admettant que la somme des 1/pk diverge si les pk sont les nombres premiers par ordre croissant, et en utilisant Borel-Cantelli
58
Qu’est-ce que l’identité d’Euler ? Démo