Last week we said using classical probability the probabilitiy of an event is what?
P(A) = m/n
where m = the number of favourable outcomes
n = the total number N of equally likely outcomes.
What did we introduce last week in terms of sets?
In the introduction of Set Theory, we defined the union, intersection, and complement of sets.
What is the addictive law again?
If A and B are not mutually disjoint
If A and B are mutually disjoint then the 3rd term ( intersection drops out)

What is the Multiplicative law?
This is when two events A and B are independent ( no influence on each other, then

Where doesnt the multiplicative law not stand?
If the two events A and B are not independent but are dependent
• Tossing a fair coin and rolling a fair die. What is the probability that the scores are “heads” and “six”?

Use computing and abroad for proof use the multiplicative law?


So for caution if lets say we have 2 sets A and B are they are mutually exclusive ( cannot happen at the same time), whats the probability of their intersection
And if A and B are independent, what is the probability of their intersection?

What is it called when the likelihood of one event, gives information that affects the likelihood of another event?
Conditional probablitiy
What is the proper definition of Conditional probabilitiy?
The conditional probability of an event B is the probability that the event will occur given the knowledge that an event A has already occurred
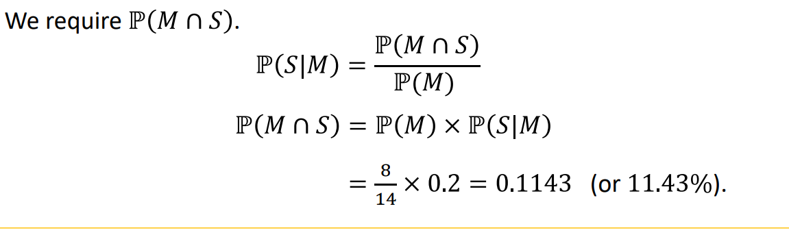
What is the notation of Probability of B given A?
The probabilitiy of intersection/ whatever we are conditioning

How can we simplify the conditional probability formula, supposing the 2 events are independent?

• A fair die is rolled once. Given the score is an even number, what is the probability that the score is less than 3?

We draw randomly two cards, without replacement, from a well shuffled pack. What is the probability they are both Kings?
These 2 events are dependent



What would be the total probabillity formula to get A?

A is the whole circle so

Complete this, using home and abroad and verify this using Classical probability?






USE A TREE TO WORK IT OUT?


Draw a tree


We know the probability of P( A given B) and we know the P ( B given A) using conditional probability, rearrange this to find bayes theroem?


Given my team won, what is the probabiility that it was a sunny day?

The denoimator can be found by finding out if they won regardless whehter or not its a sunny day

Given the probability that i failed my exams, what is the probability that i didnt study?

