Prob: What are the two equivalent definitions of events A and B being independent?
P(A,B) = P(A)P(B)
OR
P(A) = P(A | B=b) for all values of b
(Pretty darn sure second is correct)
Prob: What are the two equivalent definitions of random variables Y1 and Y2 independent?
F(y1,y2) = F1(y1)F2(y2) (The joint dist factors to the marginal dists)
OR
F1(y1) = F(y1 | Y2 = y2) for all values of y2 (The marginal distribution for either variable is the same as the conditional distribution given any value of the other variable)
(Pretty darn sure second is correct)
Prob: Conceptually, what does it mean for A and B to be independent, either as variables or as events?
A and B are independent variables if the value of one variable gives you no information about the value of the other.
A and B are independent events if knowing whether one event happened or not gives you no information on whether the other happened.
Prob: What are the 2 equivalent definitions of variables X and Y to be uncorrelated?
Their linear correlation coefficient is 0.
OR
E[XY] = E[X]E[Y]. (This actually means their covariance is 0, but their covariance is 0 iff they’re uncorrelated)
Prob: Does 2 variables being independent imply they are uncorrelated?
Yes
Prob: Does 2 variables being uncorrelated imply they are independent?
No
Prob: What is an example of a distribution of 2 variables such that they are uncorrelated, but not independent? Why is it true in this case?
X = U(-1,1) and Y = X^2
Here, E(XY) = 0 = E(X)E(Y), because the distribution of XY is symmetric around 0
But, the value of X gives you information about Y – it in fact tells you Y specifically.
Prob: What is Bayes’ Theorem?

Prob: What is a useful form of E[X^2]
E[X^2] = V[X] + (E[X]^2)
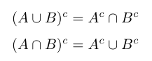
Prob: What are DeMorgan’s Laws?

Prob: What is an experiment?
An activity with an observable outcome.
Ex. Rolling a die, or rolling 2 dice, or flipping a coin…
Prob: What is an outcome?
A unique result of an experiment.
For example, rolling a 6, where the experiment was rolling a die.
Prob: What is a sample space?
All of the possible outcomes of an experiment.
For example, [1,2,3,4,5,6], when the experiment is rolling a die.
Prob: What is an event?
A collection of outcomes forming a subset of the sample space.
For example, rolling an even number, if the experiment is rolling a die.
Prob: What is a formula for P(A union B)?
P(A) + P(B) - P(A and B)
Prob: What is linearity of expectation?
E[cX + kY] = cE[X] + kE[Y], even if X and Y are dependent
Prob: What is one potentially convenient way to find P(A and B) when A and B are dependant?
P(A)*P(B|A), or P(B)*P(A|B)
Stat: What proportion of points drawn from a normal distribution will fall within 1 standard deviation? 2? 3?
68% within 1, 95% within 2, 99.7% within 3
Prob: What is the law of total probability?
If you can decompose the sample space S into n parts B1,…,Bn, then
P(A) = P(A|B1)P(B1) + … + P(A|Bn)P(Bn)
A common form is
P(A) = P(A|B)P(B) + P(A|Bc)P(Bc)
Prob: What trick is often used in the denominator of a Bayes’ Rule problem?
Law of total probability
Prob: What is a probability density function, or pdf f(), typically used for?
For a given probability distribution, you can integrate f() over an interval (or area, or n-d area) to find the probability that an experiment will fall in that interval/area.
Prob: what is a cumulative density function F(), or cdf, typically used for? How is it related to the pdf f()?
For a given probability distribution of RV X, F(x) = P(X<x></x>
<p>If you integrate f() from -inf to a, you get F(a)</p>
</x>
Prob: What is the formula for the expected value of discrete RV X?

Prob: What is the formula for E[g(X)], or the expected value of a function g of continuous RV X, with pdf f()?
