problem roulette exam 4 Flashcards

(175 cards)

1
Q

Which of the following dehydrogenation reactions do NOT contribute NADH to Complex I?

Isocitrate dehydrogenase

a-ketoglutarate dehydrogenase

Malate dehydrogenase

acyl-CoA dehydrogenase

glutamate dehydrogenase

A

acyl-CoA dehydrogenase

How well did you know this?
1
Not at all
2
3
4
5
Perfectly
2
Q

Which enzyme passes electrons directly or indirectly to coenzyme Q without pumping protons?

Glycerol-3-phosphate dehydrogenase

All options are correct

Succinate dehydrogenase

Acyl-CoA dehydrogenase

A

All options are correct

How well did you know this?
1
Not at all
2
3
4
5
Perfectly
3
Q

From the choices below, select the one which is NOT shared between oxidative phosphorylation and photophosphorylation

involvement of cytochromes.

proton pumping across a membrane to create electrochemical potential.

use of iron-sulfur proteins.

chlorophyll.

participation of quinones.

A

chlorophyll

How well did you know this?
1
Not at all
2
3
4
5
Perfectly
4
Q

The action of the enzyme that catalyzes this reaction (in the direction indicated) is likely to be fully active in the ________ during __________.
The liver, after a meal

The liver, starvation

The muscle, starvation

The liver, intense exercise

The muscle, intense exercise
Submit

A

The liver, after a meal

How well did you know this?
1
Not at all
2
3
4
5
Perfectly
5
Q

Glutamate is metabolically converted to α-ketoglutarate and NH4+ by a process described as:

deamination.

oxidative deamination.

transamination.

reductive deamination.

hydrolysis.

A

oxidative deamination.

How well did you know this?
1
Not at all
2
3
4
5
Perfectly
6
Q

Fully reduced Electron Transferring Flavoprotein passes its electrons to Coenzyme Q. In what metabolic pathway was ETF reduced by an adenine nucleotide electron carrier?

Glyoxylate Pathway

Pentose Phosphate Pathway

Glycolysis

Beta-oxidation of fatty acids

Kreb’s Cycle

A

Beta-oxidation of fatty acids

How well did you know this?
1
Not at all
2
3
4
5
Perfectly
7
Q

Under times of metabolic stress, what is the correct order of use of BioMolecules in catabolic pathways to ensure enough energy is produced to get through the stress?

Monosaccharides, fatty acids, polysaccharides, amino acids, triglycerides

Polysaccharides, monosaccharides, triglycerides, amino acids.

Fatty acids, monosaccharides, triglycerides, amino acids

Fatty acids, monosaccharides, polysaccharides, amino acids, proteins

Monosaccharides, polysaccharides, triglycerides, amino acids.

A

Monosaccharides, polysaccharides, triglycerides, amino acids.

How well did you know this?
1
Not at all
2
3
4
5
Perfectly
8
Q

During oxidative phosphorylation, the proton motive force that is generated by electron transport is used to:

reduce O2 to H2O.

generate the substrates (ADP and Pi) for the ATP synthase.

create a pore in the inner mitochondrial membrane.

induce a conformational change in the ATP synthase.

oxidize NADH to NAD+.

A

induce a conformational change in the ATP synthase.

How well did you know this?
1
Not at all
2
3
4
5
Perfectly
9
Q

in the mitochondria a motive force for ATP/ADP exchange is the __________ and for importing inorganic phosphate into the matrix is the ___________.

A

membrane potential (negative in the matrix), proton gradient

How well did you know this?
1
Not at all
2
3
4
5
Perfectly
10
Q

Where in the chloroplast is Plastocyanin located?

On the lumenal side of the stromal membranes

On the stromal side of the membranes

On the outside of the outer membrane

On the Inside of the outer membrane

On the cytoplasmic side of the chloroplast

A

On the lumenal side of the stromal membranes

How well did you know this?
1
Not at all
2
3
4
5
Perfectly
11
Q

How many carbon dioxide molecules are fixed in the Calvin Cycle in order to produce one glyceraldehyde 3-phosphate?

3

1

None, the Calvin Cycle does not fix carbon

2

4

A

3

How well did you know this?
1
Not at all
2
3
4
5
Perfectly
12
Q

Which of the following statements about aminotransferases is true?

The PLP cofactor alone can accelerate the rate of the reaction almost as much as the full PLP-enzyme complex

The aminotransferase reaction is essentially irreversible

The enzyme requires that both the donor amino acid and the acceptor a-ketoacid are bound simultaneously

A single aminotransferase is able to catalyze amino group transfer to a-ketoglutarate from any of the 20 amino acids

PLP is covalently linked to the enzyme for the entire reaction cycle

A

The PLP cofactor alone can accelerate the rate of the reaction almost as much as the full PLP-enzyme complex

How well did you know this?
1
Not at all
2
3
4
5
Perfectly
13
Q

The active site of the first enzyme in carbon fixation in C3 plants coordinates a magnesium ion. Which amino acid is NOT involved in this coordination?

All of these amino acids coordinate the magnesium.

His

Lys

Asp

Glu

A

His

How well did you know this?
1
Not at all
2
3
4
5
Perfectly
14
Q

During the initial charging step of fatty synthesis, a(n) ________ group is covalently linked to a _________ of acyl carrier protein.

Malonyl; biotin prosthetic group

Malonyl; cysteine

Acetyl; cysteine

Malonyl; phosphopantetheine prosthetic group

Acetyl; biotin prosthetic group

Acetyl; phosphopantetheine prosthetic group

A

Malonyl; phosphopantetheine prosthetic group

How well did you know this?
1
Not at all
2
3
4
5
Perfectly
15
Q

In the bacterial pheophtyin-quinone reaction centers, how are P870’s electrons replaced?

From a tyrosine radical

Oxidation of H2S

Oxidation of water by the oxygen-evolving complex

Oxidation of NADH

They do not have to be replaced because this reaction center is in a cyclic electron transfer pathway.

A

They do not have to be replaced because this reaction center is in a cyclic electron transfer pathway.

How well did you know this?
1
Not at all
2
3
4
5
Perfectly
16
Q

Which prosthetic group is found on all aminotransferases?

Thiamine pyrophosphate (TPP)

Flavin mononucleotide (FMN)

Flavin adenine nucleotide (FAD)

Lipoate

Pyridoxal phosphate (PLP)

A

Pyridoxal phosphate (PLP)

How well did you know this?
1
Not at all
2
3
4
5
Perfectly
17
Q

Glutamine synthetase converts _____ to _____ whereas glutamate synthase converts ____ to _____.

glutamate; glutamine; α-ketoglutarate; glutamate

asparagine; glutamine; α-ketoglutarate; glutamate

α-ketoglutarate; glutamine; oxaloacetic acid; glutamate

α-ketoglutarate; glutamine; α-ketoglutarate; glutamate

formate; glutamine; ammonia; glutamate
Submit

A

glutamate; glutamine; α-ketoglutarate; glutamate

How well did you know this?
1
Not at all
2
3
4
5
Perfectly
18
Q

If all the Acytyl-CoA used to synthesize a palmitate (C16) fatty acid are in the mitochondria, there will be an additional expense in fatty acid synthesis of up to ________.

2 ATP

8 ATP

16 ATP

7 ATP

14 ATP

A

16 ATP

How well did you know this?
1
Not at all
2
3
4
5
Perfectly
19
Q

Cholesterol is synthesized from:

lipoic acid.

malate.

choline.

oxalate.

acetyl-CoA.

A

acetyl-CoA.

How well did you know this?
1
Not at all
2
3
4
5
Perfectly
20
Q

Which of the following electron carriers is lipid soluble?

All of these

Plastocyanin

Flavin nucleotides

Ubiquinone

Cytochrome c

A

Ubiquinone

How well did you know this?
1
Not at all
2
3
4
5
Perfectly
21
Q

In the mitochondrial shuttles, NADH and acetyl-CoA are carried across the mitochondrial membrane as “equivalents.” NADH is carried across the membrane as _________, and acetyl-CoA is carried across the membrane as _______.

citrate; malate

malate; pyruvate

pyruvate; citrate

citrate; malate

malate; citrate
Submit

A

malate; citrate

How well did you know this?
1
Not at all
2
3
4
5
Perfectly
22
Q

All aminotransferases have the same prosthetic group. Please identify it from the list below.

FAD

Vitamin B12

Coenzyme A

Biotin

Pyridoxal phosphate

A

Pyridoxal phosphate

How well did you know this?
1
Not at all
2
3
4
5
Perfectly
23
Q

Which of the following is NOT required for the synthesis of Cholesterol from its initial precursor?

Coenzyme A

NADPH

ATP

Carbon dioxide

A

Carbon dioxide

How well did you know this?
1
Not at all
2
3
4
5
Perfectly
24
Q

What is the important intermediate at a branch point that leads to either AMP or GMP synthesis?

AICAR

Inosinate

Folate

Chorismate

Xanthylate

A

Inosinate

How well did you know this?
1
Not at all
2
3
4
5
Perfectly
25
The first intermediate in cholesterol synthesis which contains all the carbon atoms which will eventually form the four fused ring cholesterol backbone is Activated Isoprene acetyl-CoA squalene mevalonate lanosterol
squalene
26
The following enzyme in the palmitate synthesis pathway is positively regulated by citrate: HMG-CoA reductase Acetyl-CoA carboxylase Malonyl/Acetyl-CoA-ACP transferase Enoyl-ACP reductase Ketoacyl synthase
Acetyl-CoA carboxylase
27
Which of the following molecules are negative regulators of fatty acid synthesis? Citrate Epinephrine Palmityl-CoA II and III only None of these I only I and II only III only
II and III only
28
The following molecules are produced by the first phase of the Q cycle: Ubiquinol (fully reduced) Semiquinone radical Ubiquinone (fully oxidized) II and III only I only I, II, and III I and II only I and III only
II and III only
29
When the [NADPH]/[NADP+] ratio in plants is high, photophosphorylation is primarily cyclic. What is/are the major product(s) of photophosphorylation in this circumstance? ATP + NADPH ATP O2 NADPH
ATP
30
After each round of acyl chain elongation, the new acyl chain moves from Detroit to Miami Beach when the snow starts ACP to KS Acetyl CoA to Malonyl CoA ACP to Malonyl CoA KS to ACP
ACP to KS
31
In cholesterol synthesis, the first molecule in the synthetic pathway that possesses a sterol nucleus is: Lanosterol Isoprene Mevalonate Squalene Cholesterol
Lanosterol
32
Which of the following is involved in mitochondrial electron transport and not in electron transport in chloroplasts? Cytochrome c oxidase Plastoquinone Cytochrome B6/f Coenzyme Q Iron-Sulfur Centers (Clusters)
Cytochrome c oxidase
33
Which of the following would NOT supply NADPH (from NADP+) that could be used for anabolic pathways? Malic Enzyme All of the above produce NADPH Beta-Oxidation Photosynthesis Pentose Phosphate Pathway
Beta-Oxidation
34
Head-group Exchange is a strategy used for the synthesis of Membrane phospholipids Leukotrienes Cholesterol Triacylglycerols Palmitate
Membrane phospholipids
35
In Photosystem II, which of the following directly oxidizes the Mn4CaO5 cluster? A tyrosine radical Water A special chlorophyll in the P680 reaction center An exciton Oxygen (O2)
A tyrosine radical
36
What prosthetic group is required by acetyl-CoA carboxylase, covalently linked to a Lys residue? Vitamin B12 Biotin FADH2 Cardiolipin Tetrahydrofolate
Biotin
37
Which of the following chemical transformations regulates Rubisco? Decarboxylation Phosphorylation/dephosphorylation Reduction/Oxidation Carbamoylation Protonation
Carbamoylation
38
Coenzyme Q and cholesterol synthesis share which common precursor? Squalene NADH Malonyl-CoA Activated Isoprene Lanosterol
Activated Isoprene
39
The fixation of atmospheric nitrogen is costly with respect to energy, and only certain organisms undergo nitrogen fixation. How many molecules of ATP are required to fix one N2 into 2 NH4+? 4 2 32 8 16
16
40
The synthesis of arginine starts with the amino acid , and uses reactions from the . glutamine; citric acid cycle glutamine; urea cycle glutamate; urea cycle glutamate; citric acid cycle glutamate; glyoxylate cycle
glutamate; citric acid cycle
41
Succinate dehydrogenase is dysfunctional in a species of garden slug. While its metabolism is compromised on a number of levels, it can still undergo oxidative phosphorylation. What is the maximal P/O ratio for these organisms if NADH is used as an electron source? 1.5 1 2 4 2.5
2.5
42
Which of the following enzymes is present in the Calvin cycle, but not present in either glycolysis or the pentose phosphate pathway? Aldolase Transketolase Ribulose 5-phosphate kinase Phosphoglycerate kinase Transaldolase
Ribulose 5-phosphate kinase
43
For the synthesis of one molecule of palmitate, the fatty acid synthase complex (in isolation) consumes the following reagents: 8 malonyl CoA, 14 NADPH 1 acetyl CoA, 7 malonyl CoA, 16 NADPH 1 acetyl CoA, 7 malonyl CoA, 14 NADPH 8 acetyl CoA, 14 NADPH 8 malonyl CoA, 16 NADPH
1 acetyl CoA, 7 malonyl CoA, 14 NADPH
44
Which of the following is a role for the transmembrane domain of the ATP Synthase at the end of the Respiratory Chain? Contains the ADP/ATP binding site Contains the catalytic domain for the ATPase Contains the FMN that provides protons for ATP synthesis Contains the proton pore Contains the electron transport pore
Contains the proton pore
45
Many plants synthesize several different photopigments. With respect to photophosphorylation, the reason for this is: Photopigments with different absorption maxima can absorb photons from the entire visible spectrum If the reactants to synthesize chlorophyll are not available, other photopigments can replace chlorophyll in the photosystems This provides several alternate routes of electron entry to the photosystems Plants synthesize different photopigments depending on the nutrients available The different standard reduction potentials of different photopigments allow them to operate under a variety of different redox conditions
Photopigments with different absorption maxima can absorb photons from the entire visible spectrum
46
The Oxygen Evolving Complex produces ____ electrons and pumps ____ H+ into the thylakoid lumen for every O2 produced. 2, 8 4, 4 8, 8 4, 2 2, 4
4, 4
47
Consider the following diagram showing feedback inhibition in the biosynthesis of amino acids. Which of the following types of regulation are observed in the lysine biosynthesis pathway? Concerted inhibition Sequential inhibition Enzyme multiplicity I and III III only I and II I only I, II and III
I, II and III
48
What structure, molecule or system replenishes the “electron hole” created in the P680 Reaction Center due to exciton transfer? P700 FADH2 NADH Oxygen evolving complex Ferridoxin
Oxygen evolving complex
49
The following enzyme is the most important site of regulation for fatty acid biosynthesis: Acetyl-CoA carboxylase Ketoacyl reductase Ketoacyl synthase Malonyl/Acetyl-CoA-ACP transferase Enoyl-ACP reductase
Acetyl-CoA carboxylase
50
The carbon skeletons of ketogenic amino acids may be incorporated directly into ____________, whereas the carbon skeletons of glucogenic amino acids may be incorporated directly into _____________. LaTeX: \alphaα -Ketoglutarate; Citrate and Malate Malonyl-CoA; Citrate and DHAP LaTeX: \alphaα -Ketoglutarate; Acetyl-CoA Succinyl-CoA and LaTeX: \alphaα -Ketoglutarate; Acetyl-CoA Acetyl-CoA; Succinyl-CoA and LaTeX: \alphaα -Ketoglutarate
Acetyl-CoA; Succinyl-CoA and α -Ketoglutarate
51
Which important intermediate of cholesterol synthesis, beginning with acetate, is itself transformed by three successive phosphoryl group transfer reactions? Acetoacetyl-CoA Isoprenes Mevalonate Squalene Lanosterol
Mevalonate
52
CMP, UMP, and TMP all have _____ as a common precursor. glutamine aspartate adenosine inosine S-adenosyl methionine
aspartate
53
Which of the following terms describes leptin? Steroid hormone Paracrine hormone Eicosanoid hormone Autocrine hormone Endocrine hormone
Endocrine hormone
54
Free nitrogen (ammonia) can be incorporated into ___________ yielding __________ at a cost of ______________. alpha -ketoglutarate, glutmate, 1 ATP aspartate, asparagine, 1 ATP glutamine, glutamate, 1 ATP glutamate, glutamine, 1 ATP glutamate, glutamine, 1 NAD(P)H
glutamate, glutamine, 1 ATP
55
If all the electrons used in the reductive steps of the synthesis of a palmitate (C16) fatty acid were instead fed into the respiratory chain for ATP synthesis, there could be a net production of up to _______ ATP. 20 17.5 35 40 28
35
56
Which of the following amino acids is the main carrier of nitrogen through the bloodstream during normal metabolic load? Glu Asn Gln Arg Ala
Gln
57
In the urea cycle, fumarate is produced by the following enzyme: Arginase Argininosuccinate synthetase Argininosuccinase Carbamoyl phosphate synthetase Ornithine transcarbamoylase
Argininosuccinase
58
Which of the following molecules in photophosphorylation is NOT an integral membrane protein? Light Harvesting Complex Photosystem I Photosystem II Cytochrome b6f complex Plastocyanin
Plastocyanin
59
Which of the following statements describes insulin? A “bottom-up” metabolic regulator that leads to a decrease in blood glucose levels A peptide hormone that signals that blood glucose is low A “top-down” metabolic regulator that leads to a decrease in blood glucose levels A “bottom-up” metabolic regulator that signals that blood glucose is low A “top-down” metabolic regulator that leads to an increase in blood glucose levels
A “bottom-up” metabolic regulator that leads to a decrease in blood glucose levels
60
Amytal is a barbituate that inhibits Complex I of the electron transport chain. Which of the following might happen if amytal is present in mitochondria: Increased levels of NADH ATP is not synthesized QH2 is not produced II and III only II only I, II, and III I and II only I only
I only
61
Pyrimidine nucleotides are synthesized de novo from what amino acid and using what extra source of energy? Asp and ATP Asn and NADPH Ser and ATP Glu and NADH Asp and GTP
Asp and ATP
62
An amino acid that does not derive its carbon skeleton, at least in part, from α-ketoglutarate is: threonine. arginine. proline. glutamate. glutamine.
threonine.
63
Electrons in photosystem I come from _____; electrons in photosystem II come from _____. O2; Photosystem I H2O; Photosystem I Photosystem II; H2O Photosystem II; O2 NADPH, Photosystem 1
Photosystem II; H2O
64
On which side of the chloroplast membrane is the ATP Synthase active site? On the cytoplasmic side On the lumenal side of the stromal membranes On the Inside of the outer membrane On the outside of the outer membrane On the stromal side of the membranes
On the stromal side of the membranes
65
The molecule exported from the mitochondria to feed into fatty acid synthesis also regulates ___________and ______________. Fatty acid synthase and PFK-1 carnitine acyltransferase and acetyl-CoA carboxylase Fatty acid synthase and acetyl-CoA carboxylase PFK-1 and acetyl-CoA carboxylase PFK-1 and carnitine acyltransferase
PFK-1 and acetyl-CoA carboxylase
66
The Oxygen Evolving Complex of Photophosphorylation Uses a Manganese Complex rather than Magnesium to remove electrons from molecular oxygen Passes 4 electrons to P680+ and passes 4 protons to the chlorplast stroma Passes 4 electrons to P700+ Links PSII with PSI through a pair of Cytochrome molecules Accepts electrons and produces molecular oxygen, plus pumps 4 protons to the thylakoid lumen
Accepts electrons and produces molecular oxygen, plus pumps 4 protons to the thylakoid lumen
67
Which of the following nucleic acid derivatives is used in large amounts for fatty acyl chain synthesis? FMN NADP+ NADH ACP NADPH
NADPH
68
Nitrogen disposal via the urea cycle involves the input of ATP at two places, including a key adenylyl transfer reaction. What is the enzyme that catalyzes the adenylyl transfer? Ornithine transcarbamoylase Carbamoyl phosphate synthetase I Argininosuccinate synthetase Arginosuccinase
Argininosuccinate synthetase
69
Some herbicides inhibit electron transfer to plastocyanin. Which of the following is a likely effect of this herbicide? ATP synthesis continues, but NADPH is not formed NADPH synthesis continues, but ATP is not formed ATP synthesis and NADPH synthesis are both prevented The oxygen-evolving complex cannot donate electrons to Photosystem II Excessive heat is generated, causing enzyme denaturation
ATP synthesis continues, but NADPH is not formed
70
In certain tissues, the yield of ATP from _______________ is reduced due to the use of the ___________________ rather than the _________________ for transport of electrons into the respiratory chain. FADH2, glycerol 3-phosphate shuttle, malate-aspartate shuttle NADH, glycerol 3-phosphate shuttle, malate-aspartate shuttle FADH2, malate-aspartate shuttle, glycerol 3-phosphate shuttle NADH, malate-aspartate shuttle, glycerol 3-phosphate shuttle NADH, glyceraldehyde-3-phoshate shuttle, malate-aspartate shuttle
NADH, glycerol 3-phosphate shuttle, malate-aspartate shuttle
71
Which of the following is NOT a fate of glucose-6-phosphate in the fed state? Synthesis of ribulose-5-phosphate Conversion to glycogen Oxidation via glycolysis, Kreb’s cycle, and the respiratory chain Dephosphorylation to glucose Conversion to acetyl CoA for fatty acid synthesis
Dephosphorylation to glucose
72
Which of the following characterizes C4 plants? Low starch concentration in leaf cells, low light conditions, wet and humid environment High photorespiration rate, high metabolic rates, high water loss Low water loss, growth in high light/tropical conditions, high photosynthetic rates High water loss, high photosynthetic rates, high metabolic rates
Low water loss, growth in high light/tropical conditions, high photosynthetic rates
73
About how many protons are passively transported through the F1/Fo complex in order to phosphorylate one molecule of ADP? (Assume 9 c subunits in Fo.) 4 2 2.5 3.5 3
3
74
Which of the following is TRUE about the reaction shown? This reaction takes place in the cytosol of liver cells This reaction is catalyzed by a transcarbamoylase The enzyme that catalyzes this reaction is not a major regulatory point Glutamate is an allosteric activator of the enzyme that catalyzes this reaction This reaction accounts for the consumption of half of the high energy phosphoryl groups required to convert ammonium to urea
This reaction accounts for the consumption of half of the high energy phosphoryl groups required to convert ammonium to urea
75
When the [NADPH]/[NADP+] ratio in plants is low, photophosphorylation is primarily non-cyclic. What is/are the major product(s) of photophosphorylation in this circumstance? I. ATP II. NADPH III. O2 All of these II and III I only II only I and III
II and III
76
For which group of molecules below is Inosinate (IMP) an important intermediate? Amino Acids derived from 3-phosphoglycerate the deoxyribonucleic acids Purine nucleotides Pyrimidine nucleotides Amino acids derived from alpha-ketoglutarate
Purine nucleotides
77
Consider the following Z-diagram. Which of the following statements is NOT true?P680* has a higher electron affinity than P700* The manganese cluster of the oxygen complex can be oxidized four times before it oxidizes water Pheophytin (pheo) has a higher electron affinity than plastocyanin Δ G of electron transfer from Fd to cytochrome b6f complex is negative Without absorption of a photon, promotion of an electron from P680 to P680* would have a positive Δ G
Pheophytin (pheo) has a higher electron affinity than plastocyanin
78
If an uncoupler is added to the mitochondrial membrane, which of the following would NOT be an expected consequence? An increase in temperature An increase in the electrical potential across the mitochondrial membrane A decrease in the measured P/O ratio An increase in oxygen utilization A decrease in the amount of ATP produced per mole of glucose consumed
An increase in the electrical potential across the mitochondrial membrane
79
Place the following electron-carriers into the proper order as found in plant chloroplasts. 1) Cytochrome b6f complex 2) Plastocyanin 3) P700 4) P680 5) NADPH 2, 1, 3, 4, 5 4, 2, 5, 1, 3 1, 3, 4, 2, 5 4, 1, 2, 3, 5 3, 2, 4, 1, 5
4, 1, 2, 3, 5
80
What is the P/O ratio for mitochondrial oxidation using NADH? 2 1.5/2/.5 2.5 3 3/2
2.5
81
The urea cycle involves the movement of the following two molecules across the mitochondrial membrane: Carbamoyl phosphate and ornithine Arginine and ornithine Citrulline and ornithine Carbamoyl phosphate and citrulline Citrulline and arginine
Citrulline and ornithine
82
Expressing thermogenin (UCP1) generates heat because: None of the options are correct. It uncouples electron transport from pumping protons, causing the electrons to release their potential energy as heat. It uncouples F1 and Fo causing rapid ATP hydrolysis which releases heat. It uncouples Oxygen reduction from proton transport. It uncouples proton transport from ATP production, causing the protons to release their potential energy as heat.
It uncouples proton transport from ATP production, causing the protons to release their potential energy as heat.
83
Fatty acid synthesis requires _____________ for each round, while beta oxidation yields _______________ for each round. NADPH; FADH2 NADPH; NADH 2 NADPH; 1 FADH2 and 1 NADH 1 FADH2 and 1 NADH; 2 NADH 2 NADH; 1 FADH2 and 1 NADPH
2 NADPH; 1 FADH2 and 1 NADH
84
What is the result of activation of Complex I of the Respiratory Chain? 4 Protons are pumped from the intermembrane space to the Matrix NADH gets reduced Electrons accepted from NADH are passed to FAD QH2 becomes oxidized 4 protons are pumped from the matrix to the intermembrane space
4 protons are pumped from the matrix to the intermembrane space
85
_______________ are synthesized as inactive _______________ and secreted to the stomach where _____________ activates them for degradation of dietary amino acids. proteases, zymogens, phosphorylation proteases, zymogens, low pH zymogens, proteases, low pH zymogens, proteases, high pH proteases, zymogens, phosphorylation
proteases, zymogens, low pH
86
Carbamoyl phosphate is an important intermediate in the synthesis of which of the following groups of molecules? Amino acids derived from Pyruvate Aromatic amino acids Deoxyribonucleotides Pyrimidines Purines
Pyrimidines
87
The cellular ATP/ADP ratio controls the rate of: Oxidative phosphorylation The TCA cycle Glycolysis I and II I and III I, II and III I only II and III
I, II and III
88
Chemical uncouplers of photophosphorylation have been identified. Like mitochondrial uncouplers, these agents cause an increase in temperature of plant tissue. Which of the following is another likely metabolic consequence of a partial uncoupler of photophosphorylation: NADPH synthesis is halted Protons accumulate in the thylakoid lumen Via regulatory mechanisms, the plant increases the ratio of cyclic to non-cyclic pathways Protons move more rapidly from stroma to the thylakoid lumen Oxygen consumption increases
Via regulatory mechanisms, the plant increases the ratio of cyclic to non-cyclic pathways
89
The major pathways of Ammonium Assimilation lead to the synthesis of which one of the following amino acids? Ser Phosphoenolpyruvate Gly Asp Gln
Gln
90
The Glucose-Alanine Cycle performs what specific role in metabolism? Transport of Urea to the Urinary tract Production of ATP and NADH when the Citric Acid Cycle is low on intermediates Catabolism of Glucose to produce the precursors for several amino acids, including Ala Transport of amino groups to the liver in a non-toxic form Transfer of Ala to smooth muscle where it is converted to Oxaloacetate
Transport of amino groups to the liver in a non-toxic form
91
What molecule is central to carbohydrate (i.e. sugar) metabolism in the liver, being at a crossroads of at least 5 important possible fates and whose concentration controls regulatory enzyme activity in each of those fates? Glutamate Acetate Glucose 6-phosphate NADPH ATP
Glucose 6-phosphate
92
Which of the following statements about aminotransferases is true? PLP is covalently linked to the enzyme for the entire reaction cycle The PLP cofactor is always bound to the enzyme with a covalent bond A single aminotransferase is able to catalyze amino group transfer to a-ketoglutarate from any of the 20 amino acids The enzyme requires that both the donor amino acid and the acceptor a-ketoacid are bound simultaneously The aminotransferase reaction is readily reversible
The aminotransferase reaction is readily reversible
93
How many malonyl-CoA and acetyl-CoA are necessary to produce 1 molecule of Palmitate? 1 Malonyl-CoA and 7 Acetyl-CoA 7 Malonyl-CoA and 7 Acetyl-CoA 7 Malonyl-CoA and 1 Acetyl-CoA 1 Malonyl-CoA and 8 Acetyl-CoA 1 Malonyl CoA and 8 Acetyl-CoA
7 Malonyl-CoA and 1 Acetyl-CoA
94
A new electron carrier has been discovered. It directly passes 4 electrons to ubiqinol. How many ATPs is this carrier worth when fully charged? 1.5 ATPs 3 ATPs 6 ATPs 2 ATPs 2.5 ATPs
3 ATPs
95
Malonyl-CoA for acyl chain synthesis is produced by acetyl-CoA carboxylase. What prosthetic group is required for this enzyme? NADH Biotin Transcobalamin Magnesium Thiamine pyrophosphate
Biotin
96
The component of plant reaction centers which is most analogous in function to Complex III in oxidative phosphorylation is: Plastocyanin Ferredoxin:NADP oxidoreductase Cytochrome b6f complex pheophytin Cytochrome c2
Cytochrome b6f complex
97
What is the result of one round of electron transport by Complex I of the Respiratory Chain? QH2 becomes oxidized NADH gets reduced 4 Protons are pumped from the Intermembrane space to the Matrix 4 protons are pumped from the Matrix to the intermembrane space Electrons accepted from NADH are passed to FAD
4 protons are pumped from the Matrix to the intermembrane space
98
The compartment of the chloroplast which is analogous to the intermembrane space of the mitochondria is: thylakoid membrane stroma outer membrane thylakoid lumen granal stacks
thylakoid lumen
99
What is the main regulatory mechanism on Purine Synthesis? Feedback inhibition, mostly by monophosphates Phosphorylation/dephosphorylation of the first enzyme of the pathway Inhibition of the formation of AICAR Limitation of the starting reactant, which comes from Glycolysis Competitive inhibition by Pyrimidine diphosphates
Feedback inhibition, mostly by monophosphates
100
Inosinate (IMP) serves as a precursor in pathways that generate which of the following? Asp Fumarate NADH Thymidine Cytosine
Fumarate
101
Which of the following is the proper order of electron transport between Photosystem II and Photosystem I in higher plant membranes? Pheophytin, plastocyanin, plastoquinone Plastoquinone, Cytochrome b6/f, plastocyanin Chlorophyll a, plastocyanin, plastoquinone Cytochrome Q, Cytochrome a, Cytochrome c Plastocyanin, plastoquinone, iron-sulfur center
Plastoquinone, Cytochrome b6/f, plastocyanin
102
A transaminase uses alpha-ketoglutarate and the molecule shown below as a substrate. The products of the reaction are glutamate and ______________.Glycerate alpha-ketoglutarate Oxaloacete Carbamate Pyruvate
Pyruvate
103
What is the form of sulfur that is incorporated into Cys (using Serine)? Sulfate Sulfide Sulfite H2S
Sulfide
104
Which of the following actually leaves a Photochemical Reaction Center, a critical reaction in Photophosphorylation? A molecule of cytochrome c An electron A hydride ion A molecule of oxygen (O2) A photon of light
An electron
105
Passing two electrons from glycerol-3-phosphate through the respiratory chain yields: 6 ATP 10 ATP 1.5 ATP None of the other answers is correct 2.5 ATP
1.5 ATP
106
If a plant cell chloroplast has an excess of NADPH relative to ATP, it would be logical to adjust the photosynthetic pathway such that: (Refer to the following image if necessary.) The light harvesting complex associates more tightly with photosystem II thus favoring the noncyclic mode. The light harvesting complex associates more tightly with photosystem II thus favoring the cyclic mode. The light harvesting complex associates more tightly with photosystem I thus favoring the cyclic mode. None of these other answers would apply The light harvesting complex associates more tightly with photosystem II thus favoring the noncyclic mode.
The light harvesting complex associates more tightly with photosystem I thus favoring the cyclic mode.
107
The key regulatory step in cholesterol biosynthesis is catalyzed by: Acetyl CoA carboxylase Mevalonate 5-phosphotransferase HMG-CoA reductase Phosphomevalonate kinase HMG-CoA synthase
HMG-CoA reductase
108
The following electron carriers are capable of transporting exactly one electron except: Ubiquinone FeS cluster Cytochrome c Plastocyanin CuA
Ubiquinone
109
In fatty acid synthesis, the step catalyzed by fatty acid synthase immediately after the dehydration step is: (The squiggle indicates the covalent linkage to ACP).
110
For the following two half reactions: Cytochrome c (Fe3+) + e– LaTeX: \rightarrow cytochrome c (Fe2+) E' (V) = 0.220 FAD + 2H+ + 2e– LaTeX: \rightarrow FADH2 E' (V) = -0.219 We would expect the spontaneous complete reaction to be:
2 Cytochrome c (Fe3+) + FADH2 -> 2 cytochrome c (Fe2+) + FAD + 2H+
111
Which of the following molecules is NOT used in the reaction that produces Carbamoyl Phosphate, the nitrogen carrier, in the Urea Cycle? Bicarbonate Ammonia ATP All of the above molecules are used by carbamoyl phosphate synthetase I Coenzyme A
Coenzyme A
112
Which is the correct path electrons follow in the oxygen evolving complex? H2O, Tyr, Mn, P680 H2O, Mn, Tyr, P680 O2, Tyr, Mn, P680 O2, Mn, Tyr, P680 P680, Tyr, Mn, H2O
H2O, Mn, Tyr, P680
113
In comparing fatty acid biosynthesis with β oxidation of fatty acids, which of the following statements is incorrect? A thioester derivative of crotonic acid (trans-2-butenoic acid) is an intermediate in the synthetic path, but not in the degradative path. Fatty acid biosynthesis uses NADPH exclusively, whereas β oxidation uses NAD+ exclusively. The condensation of two moles of acetyl-CoA in the presence of a crude extract is more rapid in bicarbonate buffer than in phosphate buffer at the same pH; the cleavage of acetoacetyl-CoA proceeds equally well in either buffer. Fatty acid degradation is catalyzed by cytosolic enzymes; fatty acid synthesis by mitochondrial enzymes. A thioester derivative of D-β-hydroxybutyrate is an intermediate in the synthetic path, not in the degradative path.
Fatty acid degradation is catalyzed by cytosolic enzymes; fatty acid synthesis by mitochondrial enzymes.
114
What amino acid serves as a reactant in most transamination reactions for amino acid synthesis? Ala Arg Gln Gly Glu
Glu
115
One amino acid directly involved in the purine biosynthetic pathway is: tryptophan aspartate. glutamate. leucine. alanine.
aspartate
116
The cellular respiration rate is regulated by ADP. This is an example of which regulatory mechanism? Sequential Inhibition Mass action Acceptor control Concerted regulation Feedback regulation
Acceptor control
117
For every CO2 incorporated into 3-phosphoglycerate by Rubisco, ____________ is/are consumed (not counting ribulose 1,5-bisphosphate or water). 2 ATP no other molecules 1 NADPH 1 ATP and 1 NADPH 1 ATP
no other molecules
118
Which of the following is an alternative route of entry into the electron transport chain that bypasses both complex I and complex II and transfers electrons directly to ubiquinone? Malate dehydrogenase alpha-ketoglutarate dehydrogenase Glyceraldehyde-3-phosphate dehydrogenase Glycerol-3-phosphate dehydrogenase Succinate dehydrogenase
Glycerol-3-phosphate dehydrogenase
119
What important intermediate is the first in the purine synthesis pathway that has a complete double ring structure? AICAR Acetolactate Inosinate Spermidine Squalene
Inosinate
120
A 30-carbon precursor of the steroid nucleus is: lysolecithin. farnesyl pyrophosphate. geranyl pyrophosphate. squalene. isopentenyl pyrophosphate.
squalene
121
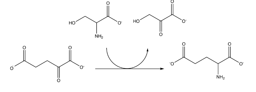
When the following reaction occurs in peripheral tissues (non-muscle) under normal turnover of cellular amino acids (not starvation conditions), a likely fate of the product shown in the upper right is: Oxidative deamination to immediately release the nitrogen. Immediate entry into the Urea cycle Incorporation of a second nitrogen (at the expense of 1 ATP) prior to export to the bloodstream. Direct export to the bloodstream for processing in the liver
Incorporation of a second nitrogen (at the expense of 1 ATP) prior to export to the bloodstream.
122
Which one of these is most commonly used as a reducing agent in the cell to facilitate fatty acid synthesis? NADP+ FADH2 NAD+ NADH NADPH
NADPH
123
In amino acid catabolism, the first reaction for many amino acids is a(n): decarboxylation requiring thiamine pyrophosphate (TPP). hydroxylation requiring NADPH and O2. transamination requiring pyridoxal phosphate (PLP). reduction requiring pyridoxal phosphate (PLP). oxidative deamination requiring NAD+.
transamination requiring pyridoxal phosphate (PLP).
124
Which of the following does NOT describe a physiological consequence of high blood glucagon levels? Polymerization of fatty acid synthetase Decreased activity of phosphofructokinase in the liver Inhibition of acetyl-CoA carboxylase Increased activity of glycogen phosphorylase Glucose released to the blood
Polymerization of fatty acid synthetase
125
The product of arginosuccinase that does not contain nitrogen: Directly contributes electrons to the electron transport chain Is directly transported across the mitochondrial membrane Directly feeds into the citric acid cycle Can be utilized in purine biosynthesis Can be converted into malate via the action of cytosolic fumarase for transport into the mitochondria
Can be converted into malate via the action of cytosolic fumarase for transport into the mitochondria
126
The synthesis of DNA requires deoxyribonucleotides derived from ribonucleotides by reduction. What molecule provides the reducing equivalents for this reaction? FADH2 NADP+ NAD+ NADPH NADH
NADPH
127
Consider the following diagram of absorption spectra of various pigments. Which order is the most likely path for the flow of exciton transfer? Lutein --> chlorophyll a --> chlorophyll b Phycocyanin --> Phycoerythrin --> beta-carotene beta-carotene --> phycoerythrin --> phycocyanin chlorophyll b --> phycocyanin --> phycoerythrin beta-carotene --> Lutein --> phycoerythrin
beta-carotene --> phycoerythrin --> phycocyanin
128
I add an inhibitor of mitochondrial respiration that prevents electron transfer to cytochrome c. Which of the following outcomes is the most likely? Buildup of both QH2 and NADH; decreased oxygen consumption Buildup of QH2 but not NADH, increased oxygen consumption Normal levels of QH2 and NADH; decreased oxygen consumption Normal levels of QH2 and NADH; increased oxygen consumption Buildup of QH2 but not NADH; decreased oxygen consumption
Buildup of both QH2 and NADH; decreased oxygen consumption
129
Which pair of amino acids would you expect to have essentially identical synthesis pathways (parallel reactions, same chemistry), differing only by the identity of one of the starting substrates? Trp, Tyr Val, Ile Ser, Cys Asp, Gln Thr, Ser
Val, Ile
130
The overall reaction: QH2 + 2 cyt c (ox) + 2HN+ --> Q + 2cyt c (red) + 4HP+ is catalyzed by which electron transfer complex? Complex II Complex IV Complex III ATP synthase Complex I
Complex III
131
What product from glycogen catabolism in very active skeletal muscle is sent to the liver through the blood as a part of the Cori Cycle? NADH Lactate (or Lactic Acid) Glucose Ketone Bodies ATP
Lactate (or Lactic Acid)
132
Which of the following statements is/are correct about purine synthesis? I. GTP is required for the synthesis of AMP. II. ATP is required for the synthesis of AMP. III. GTP is required for the synthesis of GMP. IV. ATP is required for the synthesis of GMP. II only IV only III only I only I and IV II and IV
I and IV
133
In ATP synthase, the interaction of stalk with a beta-subunit in the F1 complex contributes to ATP synthesis by: Decreasing the free energy for formation of a phosphodiester bond between ADP and Pi Increasing the free energy for protons to cross the membrane Allowing the c-ring to rotate with a free energy of ~0 Increasing the free energy of ATP dissociation from the beta subunit Decreasing the free energy of ATP dissociation from the beta subunit
Decreasing the free energy of ATP dissociation from the beta subunit
134
Identify the correct order of the four biochemical mechanisms that are repeated many times to produce Palmitate from Acetyl-CoA and Malonyl-CoA Dehydration, Reduction, Condensation, Reduction Reduction, Condensation, Reduction, Dehydration Condensation, Reduction, Reduction, Dehydration Reduction, Dehydration, Reduction, Condensation Condensation, Reduction, Dehydration, Reduction
Condensation, Reduction, Dehydration, Reduction
135
Which of the following important intermediates of cholesterol synthesis is missing from this list taken from the four summary steps: Acetate, Squalene, Cholesterol? CDP-choline Methyl-malonyl-CoA Malonyl-CoA Mevalonate Phosphatidic Acid
Mevalonate
136
The difference between C-3 and C-4 plants is The number of steps in the Calvin Cycle in one type of plant versus the other type of plant The number of CO2 molecules required by cells with these pathways to keep the concentration of Oxaloacetate constant in the Kreb’s Cycle The number of carbons that are in the initial compound into which carbon is fixed The total number of carbons that are removed as CO2 by one turn of the Calvin Cycle in each plant type The number of carbons in the final Cycle products of Calvin Cycle for different plants
The number of carbons that are in the initial compound into which carbon is fixed
137
Which of the following statements best describes the reactions of the Third Stage of Carbon Assimilation? Dihydroxyacetone phosphate is used to produce either starch or sucrose Triose phosphates are converted to pentose phosphates Triose phosphates are reduced to form glyceraldehyde 3-phosphate Decarboxylation of pentose phosphates to produce oxaloacetate Carbon dioxide is incorporated into a pentose
Triose phosphates are converted to pentose phosphates
138
In the Urea Cycle, ________ made in the cytosol is passed into the mitochondria, which is converted in the next step to _____________ which is then passed back to the cytosol. Ornithine, Citrulline Citrulline, Ornithine Ornithine, Argininosuccinate Ornithine, Carbamoyl phosphate Citrulline, Carbamoyl phosphate
Ornithine, Citrulline
139
The strategy of using multiple isozymes to catalyze an early shared step in amino acid synthesis, each of which is subject to a unique set of allosteric effectors is referred to as: Uncompetitive inhibition Sequential inhibition Enzyme multiplicity Concerted inhibition Feedback inhibition
Enzyme multiplicity
140
What is the final electron acceptor in Oxidative Phosphorylation? Cytochrome c Carbon dioxide Water Hydrides Molecular oxygen
Molecular oxygen
141
Which process occurs in photosynthesis? I. Carbon atoms in CO2 become reduced. II. Oxygen atoms in water become oxidized. III. NADP is reduced to NADPH by electron transport processes. III only II only None of these processes occur in photosynthesis. I only I, II and III
I, II and III
142
Precursors for the biosynthesis of the pyrimidine ring system include: glycine and succinyl-CoA. glycine, glutamine, CO2, and aspartate. glutamate, NH3, and CO2. carbamoyl phosphate and aspartate. inosine and aspartate.
carbamoyl phosphate and aspartate.
143
Flavin mononucleotide Biotin Phosphopantethiene Pyridoxal phosphate Lipoic Acid
Pyridoxal phosphate
144
If a person's urine contains unusually high concentrations of urea, which one of the following diets has he or she probably been eating recently? High carbohydrate, very low protein Very low carbohydrate, very high protein Very high carbohydrate, no protein, no fat Very high fat, very low protein Very very high fat, high carbohydrate, no protein
Very low carbohydrate, very high protein
145
Heme groups are prosthetic groups in which Complex? F1/Fo Particles Oxygen Evolving Complex Complex I Complex III Phosphate translocase
Complex III
146
How many protons must be pumped across the membrane in order to make 1 molecule of ATP? (Consider all processes. Assume, as we did in class, that the c-ring of Fo has 9 subunits). 3 4 2.5 10 6
4
147
Cytochrome c is a mobile electron carrier that moves among Complexes of the mitochondrial electron transport chain. Which Complexes does it move between? IV and the F1/Fo ATPase I and III III and IV II and IV II and III
III and IV
148
Most bacteria can synthesize all twenty amino acids. But certain mutant strains, known as “auxotrophs” are unable to synthesize a particular amino acid, and require the addition of that amino acid to their growth media in order to grow well. A glycine auxotroph would fail to synthesize glycine, as well as the following molecule: Serine Cytosine Nucleotides Guanine nucleotides Cysteine 3-phosphoglycerate
Guanine nucleotides
149
Reactions catalyzed by which of the following proteins do NOT contribute electron carriers to the electron transport chain? Succinate dehydrogenase Malate dehydrogenase Alcohol dehydrogenase Glucose-6-phosphate dehydrogenase
Glucose-6-phosphate dehydrogenase
150
The synthesis of amino acids often involves transamination reactions, resulting in the synthesis of which Kreb’s Cycle intermediate? Alpha-ketoglutarate Malate Oxaloacetate Fumarate Citrate
Alpha-ketoglutarate
151
Which of the following is true of non-cyclic phosphorylation in photosynthesis? The same electrons used by the oxygen evolving complex are not used for ADP phosphorylation. ADP phosphorylated by Cfo/CF1 is transported from chloroplasts and not used by them, so there is no phosphorylation/dephosphorylation cycle Activated electrons from NADP+ reduction are passed through Plastocyanin to reduce P700+ NADH donates electrons to reduce P680, causing phosphorylation of ADP Molecular oxygen is evolved and NADP+ is reduced
Molecular oxygen is evolved and NADP+ is reduced
152
Which of the following is involved in Photophosphorylation and NOT Oxidative Phosphorylation Cytochrome c Cytochrome B6f Coenzyme Q Iron-Sulfur Centers (Clusters) Copper Centers
Cytochrome B6f
153
You add carbamoyl phosphate with an isotopically-labelled nitrogen to the cell. Which of the following nucleotides will contain the nitrogen label? None of these CTP ATP GTP
CTP
154
The initial reaction in the REDUCTIVE phase (Stage 2) of the Calvin cycle is the reverse of a particular reaction in another pathway. What is the driving force for this reaction in the Calvin cycle? This reaction uses Mg2+ and the elevated concentration of Mg2+ during the day helps to drive it forward This reaction is favorable due to the high concentration of ATP made in the light reactions of photosynthesis. This reaction is favorable due to the high concentration of NADPH made in the light reactions of photosynthesis. In the direction it runs in the Calvin cycle, there is a large and negative LaTeX: \DeltaΔ G'0 so the reaction is naturally favorable. Submit
This reaction is favorable due to the high concentration of ATP made in the light reactions of photosynthesis.
155
In photosynthesis, absorption of light energy in chloroplast “light reactions” ultimately leads to: absorption of O2 and release of CO2. absorption of CO2 and release of O2. hydrolysis of ATP and reduction of NADP+. use of iron-sulfur proteins. synthesis of ATP and oxidation of NADPH.
absorption of CO2 and release of O2.
156
How many reducing equivalents are transferred to molecular oxygen for the ten protons pumped out of the inner mitochondrial membrane by Complexes I through IV? 10 2 6 1 4
2
157
Identify which of the following is not present in chloroplasts but is present in mitochondria Electron transport system Porphyrin rings DNA Matrix Iron-Sulfur centers (clusters)
Matrix
158
Onto which side of the mitochondrial membrane, or into which space, are protons actively pumped during electron transport? Into the Cytoplasm Into the Lumen Into the Stroma Into the Lamellae Into the Intermembrane Space
Into the Intermembrane Space
159
There is a defect in Complex III of some mitochondria that prevents protons frombeing pumped to the intermembrane space by this complex. All other complexes apparently function normally. How many total protons are pumped during oxidative phosphorylation in these mutant mitochondria if the initial electrons come from NADH? 10 6 4 8 2
6
160
If ornithine labelled with 15N is added to cells actively metabolizing amino acids, which of the following molecules will be rapidly labelled with 15N? Urea Arginine Citrulline I only III only All of these II and III only II only
II and III only
161
The order of the key intermediates in cholesterol synthesis is: activated isoprenes, mevalonate, squalene, lanosterol mevalonate, activated isoprenes, squalene, lanosterol activated isoprenes, mevalonate, lanosterol, squalene mevalonate, activated isoprenes, lanosterol, squalene mevalonate, squalene, activated isoprenes, lanosterol
mevalonate, activated isoprenes, squalene, lanosterol
162
What molecule is the ultimate electron donor in Photophosphorylation? Chlorophyll NADH Water Oxygen Carbon Dioxide
Water
163
Why are Reaction Centers named as such? (That is, why are they called Reaction Centers? They release an electron, meaning they participate in oxidation-reduction They split water They produce molecular oxygen They produce carbon dioxide They capture an exciton of light
They release an electron, meaning they participate in oxidation-reduction
164
Which of the following statements is TRUE about the following molecule: In the mitochondria shuttle system, this molecule is generated in the matrix via oxidation of malate This molecule is transported across the mitochondrial membrane by a shuttle system This molecule is a direct carbon precursor to alanine, cysteine, and glycine This molecule can be converted to pyruvate in a single enzymatic step This molecule is the alpha-keto acid of glutamate
In the mitochondria shuttle system, this molecule is generated in the matrix via oxidation of malate
165
The final reaction in synthesizing dNTPs is catalyzed by ribonucleotide reductase. This enzyme will: Reduce the 2' OH on an NTP using 2 electrons Oxidize the 3' OH on an NTP releasing 2 electrons Catalyze the hydrolysis of the 2'OH from an NTP. Oxidize the 3' OH on an NTP releasing 2 electrons Reduce the 3' OH on an NTP using 2 electrons
Reduce the 2' OH on an NTP using 2 electrons
166
The synthesis of Cysteine from Serine requires ___ electrons to reduce sulfate to sulfide. 2 10 4 6 8
8
167
Refer to the following diagram of the plant photosystems. Which of the following statements is FALSE? To synthesize a molecule of NADPH, photons must be absorbed at both P680 and P700 Electron transfer in PSI can contribute to ATP synthesis or NADPH synthesis Photon absorption decreases the electron affinity of the reaction center Cytochrome b6f has a higher standard reduction potential than ferridoxin P700 has a higher electron affinity than P680.
P700 has a higher electron affinity than P680.
168
When the ΔG'° of the ATP synthesis reaction is measured on the surface of the ATP synthase enzyme, it is found to be close to zero. This is thought to be due to: stabilization of ADP relative to ATP by enzyme binding. a very low energy of activation. enzyme-induced oxygen exchange. None of the above stabilization of ATP relative to ADP by enzyme binding.
stabilization of ATP relative to ADP by enzyme binding.
169
The product of the following reaction (indicated with ???) has which of the following uses? it can be converted into another amino acid in a one-step reaction All choices are correct. It can be used to make Arginine It can be directly fed into the Urea cycle It can be incorporated in proteins
All choices are correct.
170
Which of the following is true regarding Ubiquinone? It must accept two protons and 4 electrons to go from a fully reduced to a fully oxidized state. None of the above statements is true regarding Ubiquinone It is assigned to neither Complex II nor Complex III since its role is to function as a carrier between them It can accept one electron to become a relatively stable radical It contains one FAD and one iron-sulfur center
It can accept one electron to become a relatively stable radical
171
Which of the following statements is NOT true of the major regulatory point for cholesterol synthesis. I. It is immediately after reactions which are shared with the formation of ketone bodies. II. It is at a step where 2 NADPH molecules are consumed. III. A coenzyme A molecule is released. IV. It introduces a branch point in a linear molecule. IV only All of the choices are true. II only III only I only
IV only
172
What vertebrate organ/tissue is responsible for production of large amounts of Ketone Bodies from ketogenic amino acids? Muscle Kidney Liver Brain Intestine
Liver
173
Eukaryotic cells synthesize which of the following from CDP-diacylglycerol? Sucrose Starch Glycerol Phospholipids Cholesterol
Phospholipids
174
Conversion of ornithine to citrulline is a step in the synthesis of: tyrosine. urea. pyruvate. aspartate. carnitine.
urea.
175