The Starship Enterprise approaches the planet Risa at a speed of 0.8c relative to the planet. On the way, it overtakes the intergalactic freighter Astra. The relative speed of the two ships as measured by the navigator on the Enterprise is 0.5c. At what speed is Astra approaching the planet.

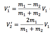
A 0.5 kg bomb is sliding along an icy pond (frictionless surface) with velocity of 2.0 m/s to the west. The bomb explodes into two pieces. After the explosion, a 0.2 kg piece moves south at 4.0 m/s. What are the components of the velocity of the 0.3 kg piece?
p=mv
A 0.015 kg marble moving to the right at 0.4 m/s has a head-on elastic collision with a 0.045 kg marble sitting at rest on a smooth, level surface. Which of the following are the correct magnitudes and directions of the velocities of the two marbles after the collision?

The position of a Hydrogen atom is known to within a certain range, what is the uncertainty in momentum?

The position of an object with a mass and velocity is known within a certain range. What is the fractional uncertainty of the momentum?

A photon has a collision with a stationary electron and loses 5% of its energy, and is scattered at 180 degrees. What is the wavelength of the incident photon?

Photon of what minimum frequency are required to remove electrons from gold? The work function for gold is 4.8 eV.

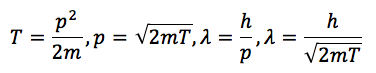
The de Broglie wavelength of the matter wave associated with an electron accelerated by a voltage of 50 V is about,

Ba137 emits a gamma ray photon of 0.66 MeV during an isomeric transition. Calculate the recoil energy.

A meter stick is observed to be only 0.9 m long to an inertial observer. At what speed, relative to the observer, must the meter stick be moving?

the temperature of a lead brick with given mass is increased by given temperature. The specific heat is given. What is the increase in mass of the brick?

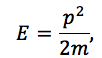
What is the energy of the photon whose momentum is equal to that of a 5 MeV electron?

calculate ratio of v/c and m/m0 for electron and proton

Two electrons are initially at rest, separated by 0.1 nm. After the electrons are released, they repel each other. What is the kinetic energy of each electron when they are 1 nm apart?

What is the kinetic energy of an electron whose velocity is 90% of the speed of light?

Assume an uncertainty in the momentum of an electron is equal to one-half of its momentum. Calculate the uncertainty in position of a 1 MeV electron.

What is the wavelength of …

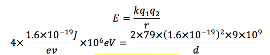
What is the closest distance that a 4.0 MeV alpha particle can make a gold nucleus?

Calculate the uncertainty in position of an electron that was accelerated across a potential difference 10^5 +- 100V

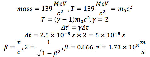
A meson decays in a given time. The kinetic energy is equal to the rest energy. What distance does it travel when observed from earth?

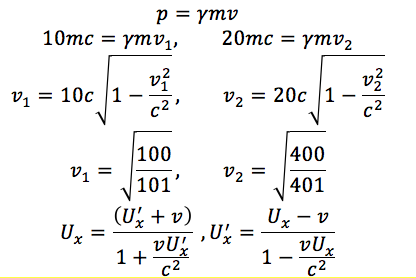
Two particles with the same mass m are emitted in the same direction with momenta 10mc and 20mc respectively. As seen from the slower one what is the velocity of the faster particle and vice versa?

A particle is in the ground state of an infinite square well potential. Find the probability of finding the particle

How much energy is required to accelerate an electron from rest to a speed of 0.9c?

How fast must a particle move before its kinetic energy equals its rest energy?
