What elements do proteins provide to cells?
Proteins provide structural and functional elements that underline the dymanic processes of the cell.
What are the functional products that proteins provide?
Proteins are functional products of the genome providing:-
What is the general structure of an amino acid?

What arrangement do amino acids have in space (structure wise)?
Thay have a tetrahedral arrangement.
What is a zwitterion?

What do amino acids act as at a low pH?
The amino acid acts as a base and accepts a H+ ion.

What do amino acids act as at a high pH?
The amino acids act as an acid and donates an H+ ion.

What is the isoelectric point of a zwitterion?
What do amino acids act as at a neutral pH?
They act as a zwitterion.
What does the R chain deteremine in an amino acid?
It decides the physiochemcial properties of the amino acid.
What are the two isomers amino acids and other molecules can form?
L(Levo) and D(Dextro) isomers.

How to identify if the amino acid shows D or L isomerism?

Which amino acid does not form L and D isomers?
Glycine does not form isomers as the R group is hydrogen so it does not have a chiral centre.

In what direction does the L form read CORN?
In the clockwise direction.

In what direction does the D form read CORN?
In the anti-clockwise direction.

Where are L form amino acids found?
All amino acids incorporated into proteins by living organisms are in the L form.
(Not a protein but just know that glucose is in D form)
Where are D form amino acids found?
D-amino acid residues comprise cell walls in bacteria, and are oftern used as therupatics.
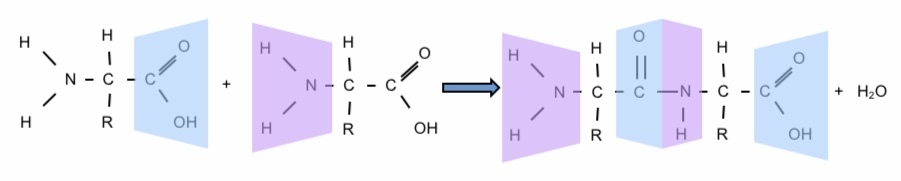
What bond is formed between two amino acids and what type of reaction is it?
A peptide bond is formed and by a condensation reaction releasing H20.

What is a peptide residue?
Each repeating unit of the polypeptide chain is a residue. (Basically each monomer of amino acid is a residue)
What is the favourable arrangement for peptide bonds? (Cis or Trans)

How are beta pleated sheets in the secodary structure of proteins formed?

Which is more stable (parallel or anti-parallel beta sheets)? Why?

How is the alpha helix fomed and what is its structure?
The alpha helix is a right handed helix and is stabilised by H-bonds between two amino acids 4 residues apart.
i.e. residue 1 and 5
There are 3.6 residues per turn or 0.54nm per turn.

What are cofactors?