PROTEINLER Flashcards

(109 cards)

1
Q

Proteinler

A

-Proteinler genetik bilginin açıklandığı araçtır.
DNA-TRANSKRİPSİYON-RNA-TRANSLASYON-
PROTEİN
-Gen proteinin şifresidir,protein yaşamın şifresidir…
-Canlı sistemlerde proteinler anahtar rol oynarlar.
-Biyolojik sistemlerde en fazla miktarda bulunan ve en çok fonksiyona sahip moleküldür.
-Proteinler yapısında C,H,O,N ve S bulundururlar.
-Amino asit sayısı<20=Oligopeptit
Amino asit sayısı 20-100=Polipeptit
Amino asit sayısı>100=Protein
-Birçok doğal polipeptit zincirinde 50-2000 amino asit bulunur.
-1 amino asidin ortalama molekül ağırlığı 110 daltondur.Dalton=atomik kütle birimi
-Molekül ağırlıkları 5500-220 bin dalton (5,5-220 kDa) arasındadır.

How well did you know this?
1
Not at all
2
3
4
5
Perfectly
2
Q

PROTEİNLERİN SINIFLANDIRILMASI

A

1)KİMYASAL YAPISINA-İÇERİĞİNE-GÖRE SINIFLANDIRMA
-BASİT=Sadece amino asit içerirler.Bunlara örnek verecek olursak;albümin ve keratin
-BİLEŞİK(KONJUGE)=Protein olmayan kısım ve amino asitten oluşur.Örnek olarak; glikoprotein,lipoprotein,
hemoprotein, metalloprotein, fosforprotein, nükleoprotein

2)FONKSİYONLARINA GÖRE SINIFLANDIRMA
-YAPISAL(STATİK)PROTEİNLER-TUĞLA VE HARÇ=
Kollajen(mekanik dayanıklılık)
elastin(esenlik)
keratin(kimyasal ve mekanik hasara karşı koruma)
-DİNAMİK(İŞLEVSEL)PROTEİNLER=
Enzimler
Taşıyıcı (hemoglobin, transferrin, albümin gibi)
Koruyucu (immunglobulinler, interferon, fibrinojen, trombin, vs)
Kasılma, hareket (aktin, miyozin, flagella)
Metabolik kontrol (hormonlar, büyüme faktörleri)
Genetik kontrol (histonlar,transkripsiyon faktörleri gibi)
Depo proteinleri (ovalbümin, kazein, ferritin)
Detoksifikasyon (zehirsizleştirme)proteinleri (sitokrom p450, metallotiyonein)

3)MOLEKÜL BİÇİMLERİNE GÖRE SINIFLANDIRMA
-Fibriler (lifsel) proteinler=Suda erimeyen, düşük çözünürlüklü,fiziksel olarak dayanıklı, uzun liflerden oluşurlar. Yapısal destek görevi yaparlar, yarı
ömürleri uzundur.
-Globüler proteinler=Suda eriyen, yoğun sferik (küresel)çözünür proteinlerdir.Dinamik fonksiyonları vardır.

How well did you know this?
1
Not at all
2
3
4
5
Perfectly
3
Q

Amino asitler

A

• Protein yapısının alfabesidir.
• Amino asitler yapılarında hem amin grubu (-NH2) hem de karboksil grubu (-COOH) içeren bileşiklerdir.
• Proteinler, 20/22 standart amino asitten oluşan biyopolimerlerdir.

Bir standart amino asidin, aynı karbon (α-karbon) atomuna bağlı bir amin grubu, bir karboksil grubu ve bir hidrojen atomu bir yan zinciri (R) olmalıdır.

α- AMİNO ASİT = 2-amino karboksilik asit
-Proteinlerin yapısında sadece alfa amino asitler bulunur.

How well did you know this?
1
Not at all
2
3
4
5
Perfectly
4
Q

Nonpolar alifatik R grubu içeren amino asitler

A

Suda çözünmeyen, hidrofobik ve düz zincirli R grubu içerirler.

How well did you know this?
1
Not at all
2
3
4
5
Perfectly
5
Q
A

Glisin: R grubu sadece bir hidrojenden oluşur. En küçük amino asittir. Her yere yerleşebilir (polar olmadığından itişme olmaz). Adı glikozdan gelir ve tatlıdır. Özellikle kollajende çok önemli (her üç amino asitten birisi glisindir). Aynı zamanda zehirsizleştirmede de kullanılır (taurin ile birlikte).

How well did you know this?
1
Not at all
2
3
4
5
Perfectly
6
Q
A

Alanin: R grubu olarak bir metil grubuna sahiptir. Metil grubu nonpolardır. Glisin dışında bütün amino asitler bu metil grubundan dallanmış gibidir.

How well did you know this?
1
Not at all
2
3
4
5
Perfectly
7
Q
A

Prolin: İmino asit olarak geçer. Alfa amino asitin yapısındaki alfa karbona bağlı amin grubunun halka yapısına katılmasından dolayı eşsizdir, başka hiçbir amino asitte amin grubu halkaya katılmaz. Bu özelliğinden dolayı da imino asit adı verilmiştir. Kollajenin yapısında çok sayıda bulunur ve halkalı olması nedeniyle zincirde köşeler oluşturur, dönüşlerde yer alır.
(Amino asitler birbirine COO- ve H3N+ üzerinden bağlanırlar ve böylelikle protein zincirini oluştururlar.)

How well did you know this?
1
Not at all
2
3
4
5
Perfectly
8
Q
A

Metyonin: Bir kükürt vardır. Kükürt aslında reaktiftir, fakat ona bağlanan metil grubundan dolayı reaktifliğini kaybeder.

How well did you know this?
1
Not at all
2
3
4
5
Perfectly
9
Q
A

Valin, lösin ve izolösin dallı zincirli amino asitlerdir. Bunlar yer kaplarlar (“bulky”).
İlkinden (beta) dallandıysa valin, ikincisinden (gamma) dallandıysa lösin, hem beta hem gamma karbondan dallandıysa izolösin adı verilir.

How well did you know this?
1
Not at all
2
3
4
5
Perfectly
10
Q

Genellikle nonpolar aromatik R grubu içerenler

A

Üçü de aromatik halkalarından dolayı UV ışığını absorbe ediyorlar. 280nm’de absorbans piki veriyorlar (Fenilalanin biraz daha düşük). En fazla triptofan, sonra tirozin ve en az fenilalanin absorbe eder. Bu özellik protein miktarını belirtmek için kullanılır.

How well did you know this?
1
Not at all
2
3
4
5
Perfectly
11
Q
A

Fenilalanin: Bir fenil veya benzen halkası içerir. Fizyolojik pH’da kesin nonpolardır.

How well did you know this?
1
Not at all
2
3
4
5
Perfectly
12
Q
A

Tirozin: Fenilalanine bir hidroksil grubu eklenmiş. Hidroksilden dolayı biraz polarlık kazanmıştır ama aromatik halkası yer kapladığı için suda çözünürlüğü azdır. Aromatik halkasından nonpolar bir davranış gösterir.
Tirozinin adı peynirden gelir (peynirde bulunmuş ve Yunanca tyros = peynir demektir). Tiroid hormonlarımızı oluşturan bir amino asittir.

How well did you know this?
1
Not at all
2
3
4
5
Perfectly
13
Q
A

Triptofan: R grubunda çift halka vardır. (Hoca hep imidazol demiş ama internette ikili halkanın ismi indol olarak geçiyor). Halkadaki azota bağlı hidrojenle su ile hidrojen bağı kurabilir, fakat halkanın büyük olması nonpolar karakteristiğe çekiyor. Serotonin öncülüdür.

How well did you know this?
1
Not at all
2
3
4
5
Perfectly
14
Q

Polar, pozitif yüklü R grubu içerenler

A

Bunlar bazik amino asitlerdir. Fazladan amin grupları vardır.

How well did you know this?
1
Not at all
2
3
4
5
Perfectly
15
Q
A

Lizin: Epsilon karbonuna bağlı bir amin grubu içerir. Bu amin grubundan dolayı fizyolojik pH’da pozitif yüklüdür.

How well did you know this?
1
Not at all
2
3
4
5
Perfectly
16
Q
A

Arginin: Zincirin ucunda bir guanidyum grubu vardır. Üç tane azotlu, özel bir yapıdır.

How well did you know this?
1
Not at all
2
3
4
5
Perfectly
17
Q
A

Histidin: Beşli bir imidazol halkasından oluşur. Azotun proton alıp vermesiyle pozitif yüklüdür. Fizyolojik pH’da tamponlama özelliğine sahiptir, protonunu vererek ortamın asitliğini değiştirebilir. Hemoglobinde bol miktarda bulunur. Metabolizma sonucu oluşan protonları toplar ve pH’ın 7.35-7.45 civarında tutulmasını sağlar.

(Arginin ve lizinin pK’ları yüksek değerlerde olduğu için fizyolojik ortamda tamponlamada uygun değillerdir.)

How well did you know this?
1
Not at all
2
3
4
5
Perfectly
18
Q

Polar, negatif yüklü R grubu içerenler

A

Asidik karakteristiği veren fazladan karboksil grupları vardır.

How well did you know this?
1
Not at all
2
3
4
5
Perfectly
19
Q
A

Aspartat: Beta karbona bağlı karboksil grubu var. COOH olsaydı aspartik asit olurdu.

How well did you know this?
1
Not at all
2
3
4
5
Perfectly
20
Q
A

Glutamat: Gamma karbona bağlı karboksil grubu içerir. COOH ile glutamik asit olur.

How well did you know this?
1
Not at all
2
3
4
5
Perfectly
21
Q

Polar, yüksüz R grubu içerenler

A

Su ile hidrojen bağı oluşturabilirler ve suda çözünürler.

How well did you know this?
1
Not at all
2
3
4
5
Perfectly
22
Q
A

Serin: Primer alkol grubu var.
Treonin: Alkol grubu var.

Serin ve treonin hidroksilli amino asitler. Tirozin de hidroksil grubuna sahip bir amino asittir. Enzimlerin fosforillenmesinde kullanılan fosfatlar hidroksil gruplarındaki hidrojeni ayırıp oksijene bağlanırlar. En çok serin olmak üzere üç amino asitte enzimlerin fosforillenmesinde veya defosforillenmesinde rol alır.

How well did you know this?
1
Not at all
2
3
4
5
Perfectly
23
Q
A

Sistein: Bir kükürtü var. Kükürt metyoninin aksine açıkta kaldığı için reaktif durumdadır. SH’daki hidrojen alışverişinden dolayı polardır. Üç boyutlu bağları sağlamlaştıran ana bağlardan biri sistein (disülfid) bağıdır ve kovalenttir. Kükürtteki hidrojenler ayrılır ve iki kükürt birleşir (S-S bağı).

How well did you know this?
1
Not at all
2
3
4
5
Perfectly
24
Q
A

Asparagin: Aspartatın karboksil grubundan oksijen ayrılıp bir amin bağlanmış. Aspartatın amid şekli.

How well did you know this?
1
Not at all
2
3
4
5
Perfectly
25
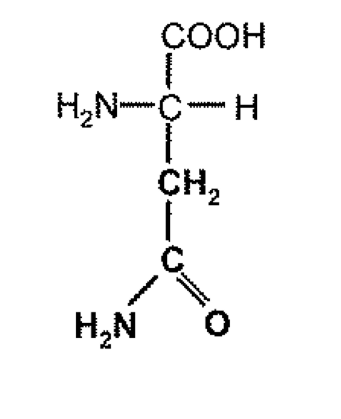
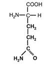
Glutamin: Glutamatın amid şekli.
26
21. ve 22. amino asitler: Selenosistein ve Pirolizin
Bu amino asitler stop kodonu ile kodlanır. Selenosistein: glutatyon peroksidazın görev yapmasında ve çeşitli antioksidanların yapısında bulunur UGA ile kodlanır. Pirolizin: Pirolizin , henüz ökaryotlarda herhangi bir proteinde görülmemiş. Sadece prokaryotlarda metan üreten enzimin yapısında gözlenmiş. UAG kodu ile kodlanır. Lizine bir karbonil grubu bir pirol halkası eklenerek oluşturulur. Amino asit olmaları için kendilerine ait kodonları olmalı. Bunlar da stop kodonlarını kullandığı için amino asit sayılırlar. Protein yapısına girmeleri translasyon sırasında geliştiği için ‘Ko-translasyonel’ olurlar. Stop kodonları: UAA, UAG, UGA.
27
Standart Aminoasit Olma Şartları
• Kendisine ait bir kodonu olması • protein zincirine translasyon sırasında yerleştirilmiş olması. Selenosistein ve pirolizin bu iki kuralı sağladıkları için standart aminoasit olarak kabul edilir.
28
Aminoasitlerin Stereoizomer (Enantiomer)leri
Buradaki D ve L halleri amino asitlerin boşluktaki gerçek durumlarını tanımlıyor. Proteinlerin yapısında sadece L- aminoasitler bulunuyor D-aminoasitler ise bazı antibiyotiklerin ve bakteri hücre duvarının (d-glutamik asit,D- alanin) yapısında bulunur. Önemi: Bu aminoasitler peptit bağı kurarken amin grubundan hidrojen ve karbonil grubundan hidroksil alıp su açığa çıkarıyor. Bu sebepten konformasyonlarının aynı olması peptit bağının daha kolay ve düzenli oluşması için önemli.
29
AMİNOASİTLERİN AMFOTERİK ÖZELLİKLERİ
Aminoasitler amfoterik özellik gösterir. Bu amfoterik özellikleri asidik özellik gösteren alfa-karboksil grubu ve bazik özellik gösteren alfa-amin grubundan gelir.
30
Aminoasit , içinde hem + hem de – yük taşıyabilir.
Aminoasidin dipolar iyon ( yüksüz) halinde olduğu noktadaki pH’a izoelektrik nokta denir ve pI ile gösterilir. pI = (pK1 + pK2) /2 olarak hesaplanır. örneğin glisin için hesaplama yaptığımızda pI değerini 5.97 buluyoruz . Yani glisin pH’ı 5.97 olan ortamda yüksüz olarak bulunuyor. ideal tamponlama ise pK1 için 1.34 ile 3.34 , pk2 için ise 8,6 ile 10.6 değerleri oluyor. Kısa bir hatırlatma : ideal tamponlama pK değerinin +1-1 uzaklığındaki pH değerlerinde gerçekleşiyor
31
Histidinde ise durumlar biraz değişiyor çünkü burada halkada bulunan azot hidrojen alıp verebiliyor (kırmızı ile işaretlenmiş) bu yüzden 3 tane pK değeri bulunuyor. Tabloyu incelediğimizde aslında bu molekülün de tamponlama etkisinin olmadığını söyleyebilirsiniz ama Bu aminoasit protein yapısına katıldığında kimyasal etkinliği değişiyor ve fizyolojik pH’ta tamponlama yapabiliyor.
32
AMİNOASİT VE PROTEİNLERİN AMFOTERİK ÖZELLİKLERİKLERİNİN ÖNEMİ
• Tamponlanma özelliği sağlar • Enzim aktivitesinin pH ile ayarlanmasını sağlar • Bir sıvıdaki aminoasit/proteinleri birbirinden ayırmaya yarar
33
ELEKTROFEREZ
Belirli bir pH’daki tampon çözeltisi içerisinde bulunan amino asitler/proteinlerin elektrik akımı ile yüklerine ve molekül büyüklüklerine göre birbirlerinden farklı hızlarda anoda veya katoda göçmesine elektroforez denir Çeşitli protein karışımlarını ayırmak amacıyla kullanılır.Daha küçük ve daha negatif proteinler daha hızlı göç eder.
34
pI değerinden düşük pH ortamında “asit katyon” şeklinde bulunduğundan katoda göçer; yüksek pH ortamında “bazik anyon” şeklinde bulunduğundan anoda göçer.
35
Bir standart amino asit, bir elektrik alanında, kendisi için karakteristik olan pI değerine eşit pH ortamında net elektrik yükü taşımadığından hareketsiz kalır.
36
sınıflandırma
I. Protein yapısını oluşturan amino asitler: -Standart amino asitler (zaten alfa, aksi iddia edilemez!!!) -Modifiye (standart olmayan) amino asitler (bunlar da tabii ki alfa) II. Proteinlerde bulunmayan amino asitler: -Alfa-amino asitler (alfa oldukları halde protein yapısına girmeyenler) -Non-alfa amino asitler.
37
Modifiye (nonstandart) amino asitler
Standart bir amino asidin polipeptid zincir yapısına girdikten sonra modifikasyona uğraması sonucu oluşur.  Hidroksiprolin  Hidroksilizin  N-metillizin  gama-karboksiglutamat (GLA)  Desmozin
38
Alfa-amino asit olup da protein yapısına girmeyenlere örnekler
 Ornitin  Sitrülin  DOPA (3,4-dihidroksifenilalanin)  N-asetil glutamat  Tiroksin
39
Non-alfa amino asitler
Beta-alanin Beta-amino izobutirik asit Gama-amino butirik asit (GABA) Delta-amino levulinik asit (ALA) Taurin (beta-amino etil sülfonik asit)
40
Amino asitlerin bazı kimyasal reaksiyonları
1. Peptid bağı oluşumu 2. Disülfit bağı oluşumu 3. Glikasyon 4. Amin ve karboksil gruplarının reaksiyonları 5. Folin reaksiyonu 6. Biüret reaksiyonu 7. Karbamat oluşumu 8. Ninhidrin reaksiyonu
41
1) Peptid bağı oluşumu
• Amino asitler peptid bağı ile kovalent bağlanarak zincir şeklinde polimerler oluştururlar.
42
Peptid bağının özellikleri
• Protein polimerinin omurgasını oluşturur. • Polipeptid zincirindeki bağların 1/3’ü C˗̶ N bağıdır. • Kovalent bir bağdır. • Oluşması için ATP harcanır. (tRNA’ya aa. bağlanırken ribozomda translasyon sırasına ATP harcanır) • Kısmi çift bağ özelliğindedir. • Bağa katılan 4 atom tek düzlem üzerindedir. • Karbonil oksijeni ile azot hidrojeni trans durumundadır. •Peptid bağı kısmi çift bağ özelliğindedir: C-N bağı % 50 çift bağ karakteristiği gösterir (tek bağ ile gösterilse de). Bu nedenle fizyolojik sıcaklıklarda C-N bağı etrafında serbest dönüş kısıtlanır. Bu yüzden peptid bağı “katı”dır. •Yan zincirlerin boşlukta istenmeyen etkileşim olasılığı daha düşük olduğundan trans şekli en stabil şekildir.
43
2) Sistin köprüsü (disülfid bağı) oluşumu
•iki sisteinin s-s köprüsü kurması (kovalent) • 3 boyutlu yapısını almasında önemli
44
3) Glikasyon
- Proteinlerdeki serbest amin gruplarının glikoz ile reaksiyonlaşmasıdır. - Nonenzimatiktir. Albümin glikasyona uğrarsa fruktozamin, Hemoglobin glikasyona uğrarsa HbA1c adını alır. • Glike protein miktarı ortamdaki glikoz konsantrasyonu ile ilişkilidir. • HbA1c normalde % 4-5.6’dır. • Diyabet hastalarında hemoglobin ve albümin daha fazla glikasyona uğrar. • Kanda früktozamin ve HbA1c ölçümleri diyabet takibinde kullanılır.
45
4) Amin ve Karboksil gruplarının reaksiyonları
Amin veya karboksil içeren diğer tüm maddelerin verdiği reaksiyonları aminoasitler de yapısında amin ve karboksil bulundurduğundan verebilir.
46
5) Folin Reaksiyonu
Aromatik amino asitler (tirozin ve triptofan) fosfotungstik-fosfomolibdik asitle mavi renkli bir kompleks oluşturur. Bu aromatik aminoasitlerin 280 nm de verdikleri absorbans ölçülür ve kolaylıkla ilgili sınıflandırma yapılır.
47
6) Biüret Reaksiyonu
Peptid bağları Cu+2 ile keletlenerek alkali ortamda mavi bir kompleks oluşturur. Lowry Yöntemi = Folin+Biüret – Folin ve biüret reaksiyonun ortaklaşa kullanımı ile yapılan bir yöntemdir.
48
7) Karbamat Oluşumu
Hemoglobinin terminal amininin (uç kısımdaki amin) CO2 ile birleşmesi tepkimesidir. Sonuç olarak karbominohemoglobin oluşur.
49
8) Ninhidrin Reaksiyonu
Reaksiyon sonucu mor renkli kompleks oluşur. İyon değişim kromotografisi yöntemi ile ayrışım sağlanabilir.
50
Protein Konformasyonu
Proteinler termodinamik açıdan en uygun şekilde katlanmak ister ve katlanır. Prostetik grup içeriyorsa bu grubun görevini en iyi yapması için nasıl katlanmak gerekiyorsa o şekilde katlanım gerçekleşir. Her proteinin 3D yapısı birbirinden farklı ama kendi içinde aynıdır.
51
Proteinlerin primer yapısı
Amino asitlerin belirli tür, sayı ve diziliş sırasına göre peptid bağları ile kovalent bağlanarak polipeptid zinciri oluşturmasına primer yapı denir. Primer yapıyı mRNA’daki kodonlar belirler. Primer yapı her protein molekülünün omurgasını oluşturur ve o proteine özgüdür.
52
Proteinlerin sekonder yapısı
Polipeptid omurgasındaki genellikle doğrusal dizilişte birbirine yakın olan amino asitlerin kurallı olarak boşluktaki düzenlenmesine “sekonder yapı” denir. Polipeptid zincirin kıvrılarak veya tabaka oluşturarak boyu kısalır ve bu şekli kovalent ve nonkovalent bağlarla stabilize edilir.
53
α -Heliks Yapı
Polipeptid zincirinin uzun ekseni etrafında helezon şeklinde kıvrılması ve bu yapıyı hidrojen bağlarıyla sabitleştirmesidir. Fibriler proteinlerde süreklilik gösterir, globüler proteinlerde ise belli bölgelerde bulunur. Bir peptid bağı, kendisinden 4 amino asit sonraki peptid bağı ile H bağı oluşturur. 360° lik dönüş mesafesinde 3-4 amino asit yer alır. Böylece aralarında 3-4 amino asit bulunan amino asitler uzayda birbirine çok yaklaşır. Spontan oluşur, çünkü polipeptid zincirinin en düşük enerjili konumudur. Her peptid bağı H bağlarına katılır, böylece maksimum stabilite sağlanır. Sağ el veya sol el heliksi şeklinde olabilir. Proteinlerin çoğu sağ el heliksi şeklindedir. Polar amino asitler heliks yapısına daha uygundur. Birbirine komşu (+veya –) yüklü amino asitler birbirlerini iteceğinden heliks oluşumunu engeller. Aralarında en az üç amino asit (yüksüz) olmalıdır. Prolin alfa-heliks yapısını bozar. (Hatırlatma! Prolin yapısında halkalaşma vardır, kullanılacağı zaman genelde dönüş kısımlarında kullanılır. Çünkü yapıyı eğri büğrü yapar. Ya en başta ya sonda ya da dönüşlerde kullanılması uygun olur.)
54
β -Kırmalı Tabaka
Polipeptid zincirinin (ya da zincirlerinin) birbirine hidrojen bağlarıyla bağlanmasıyla tabakalar oluşturur. Heliksin çekerek uzatılmış şekli gibidir, esnemez. İpek, işlenmiş yün ve ıslak saçta görülen sekonder yapıdır. Beta-Tabakaların yüzeyi kırmalı görünümdedir, bu nedenle “Beta-kırmalı tabaka” denir. Polipeptid zincir, zig zag yaparak uzun ekseni boyunca gerilir (akordeon gibi). Zincirler arasında hidrojen bağları oluşur. Zincir içi hidrojen bağı yoktur. Antiparalel beta-kırmalı tabaka: Karşı karşıya gelen iki polipeptid zincirinin C ve N terminalleri zıt yönde ise antiparalel kırmalı tabaka denir. Fibroin = ipek proteini antiparalel kırmalı tabaka içerir. Paralel Beta-kırmalı tabaka: Karşı karşıya gelen iki zincirin C ve N terminalleri aynı yönde ise paralel kırmalı tabaka denir. Gelişigüzel kıvrılma: Genellikle globüler proteinlerde görülen, süreklilik göstermeyen,rastgele kıvrılmış gibi görünen düzensiz yapılardır.
55
Proteinlerin tersiyer yapısı
• Sekonder yapıyı oluşturan kıvrılmış bölgelerin daha sıkışık yapılar oluşturmak üzere yeniden kendi üzerine katlanması (3 boyutlu düzenlenim) sonucu oluşur. • Katlanma sonucunda birbirinden uzak olan amino asitler yakınlaşır ve birbirleriyle etkileşir. • Bileşik proteinlerde katlanma prostetik grup tarafından belirlenir. • Kovalent disülfit bağları katlanma oluştuktan sonraki konformasyonu sağlamlaştırır. Katlanırken, apolar yan zincire sahip amino asitler, hidrofobik amino asitlerle birlikte protein molekülünün iç tarafında, polar ve yüklü yan zincire sahip amino asitler sulu ortamla temas halinde olacak şekilde molekülün yüzeyinde yer almaya çalışırlar. (Tersiyer yapı bozukluğu primer yapı bozulduğu için olur)
56
Elekteroforez için proteinleri denatüre ederiz.Alkolle bakteri ve virüs proteinlerini denatüre ederiz.
Yumurta çırpılırsa fiziksel anlamda denatürasyon söz konusu. Haşlanmada kimyasal olarak denatüre edilir. Denatürasyon esnasında bahsettiğimiz bağlar kırılır Anyonik deterjanlar bağ yapımını engeller,miçel oluşturur. Üre proteinin R gruplarına bağlanarak bağ yapımına engel olur
57
Domen
Globüler proteinlerde, belirli bir sekonder yapıya sahip bölümler bağımsız (yarı bağımsız!) olarak katlanmış ve birbirinden düz segmentler ile ayrılmışsa her bir bölüme domen denir. Domenler, farklı fonksiyonlar üstlenir.
58
Proteinlerin kuaterner yapısı
• İki veya daha fazla polipeptid alt birimleri olan bir proteinin boşluktaki düzenlenimi kuaterner yapıyı oluşturur. Bunların her birine monomer (veya subunit) denir. • Subunitler nonkovalan etkileşimlerle bir arada tutulur. • Eğer proteinin iki altbirimi varsa dimer, trimer, tetramer vb, çok sayıda altbirim varsa multimer olarak adlandırılır.
59
Şaperonlar
• Proteinlerin katlanması moleküler şaperonların yardımıyla olur. • Şaperonlar rehber moleküllerdir, katlanmanın nasıl olacağını gösterirler. • Proteini yanlış katlanmalardan veya katlanma bozukluğunda agregasyondan (çökme) korurlar. • Şaperon, henüz translasyon tamamlanmadan polipeptid zincire bağlanarak nasıl katlanacağını gösteriyor. • Katlanma, protein sentezini takiben hemen başlıyor ve protein,fonksiyonuna uygun bir şekilde katlanamazsa şaperonlar bunların yıkımını sağlıyor. • Başlıca şaperonlar: Isı şok proteinleri (Hsp=heat-shock protein) Hsp60,Hsp70 gibi molekül ağırlıklarına göre isimlendirilirler.Vücudumuzda farklı molekül ağırlığında çeşitli şaperonlar vardır. • Protein katlanması iyonik çevre, kofaktörler ve enzimlerle de (izomerazlar, epimeraz, rasemaz gibi) kolaylaştırılır.
60
Rotamaz: Cis-trans düzenlenimini yaparlar.
Protein Disülfid İzomeraz (PDI): Doğru disülfit bağlarının kurulmasını sağlar. •Ortamdaki bu kolaylaştırıcı faktörler proteinin doğru katlanmasını sağlıyor.
61
Protein Katlanma Bozuklukları
• Primer Yapı Değişiklikleri • Sekonder Yapı Değişiklikleri • Tersiyer Yapı Değişiklikleri
62
Primer Yapı Değişiklikleri
Orak Hücreli Anemi •Burada bir nokta mutasyonu var,kodlayıcı koldaki T yerine A gelmiş. Normalde T olduğundan bilgi, RNA’da A olarak alınacaktı ve glutamik asit kodlanacaktı ancak mutasyon sonucu T yerine A gelince karşılığı olan mRNA şifresi U olarak geçiyor. Bunun sonucunda da valin kodlanıyor. •Normalde konformasyonda dışarıda yer alan ve polar olan glutamik asit yerine nonpolar özellikte olan valin gelince bir konformasyon değişikliği oluşur. Hemoglobin normalde deoksi koşullarda tetramerler şeklinde dururken valinin gelmesiyle tetramerler birbirine uygunluk gösterir ve birbirine yapışıp lifler oluştururlar. O lifler eritrositlerin duvarına yapışır ve kendine doğru çeker. Bunun sonucunda orak şeklinde eritrositler oluşur. •Dolaşımdan temizlenemeyen orak şekilli eritrositler distallerdeki kapilleri tıkayıcı etki gösterir. Bu durum distallerin oksijenlenememesine yani kangrene yol açar. •Dalak bu eritrositlerin normal olmadığını tanır ve bunları yıkarak eritrosit sayısında azalmaya neden olur böylece anemi (kansızlık) oluşur.
63
Sekonder Yapı Değişiklikleri
Örnekler: Amiloidoz, alzheimer hastalığı ve deli dana hastalığı
64
Amiloidoz
Amiloid: Sekonder yapısı alfa heliksten beta kırmalı tabaka yapısına değişmiş olan bir proteindir. Proteazlara direnç kazanır, çözünmez plaklar oluşturur. Depolanan proteine amiloid, yol açtığı hastalığa amiloidoz denir. (Kırmızılar a-heliks, maviler b-kırmalı tabakayı gösteriyor) Proteazlar konformasyon olarak 1 numarayı tanıyor ama bilinen/bilinmeyen çeşitli nedenlerle α-helikal yapı β-kırmalıya dönüşüyor ve bu molekül artık proteazlar tarafından tanınamaz hale geliyor. Bu konformasyon değişikliği sonucu b-kırmalılar birikmeye başlıyor. Bu birikmeler vücudun çok farklı yerlerinde olabiliyor. Çeşitli dokularda amiloid birikimi bazı kronik inflamatuar hastalıklarda, bazı kanserlerde ve Alzheimer hastalığı gibi bazı hastalıklarda görülmektedir.
65
Alzheimer Hastalığı
Amiloid prekürsör proteini (APP), nöronların zarında bulunan bir integral membran proteinidir. Diğer nöronlarla iletişimi sağlamak gibi fonksiyonları olduğu düşünülür. (Yeşiller a-heliks, kırmızılar b-kırmalı tabakayı gösteriyor) •Bu proteinin metabolize edilişi ve yenisinin yapılışı normal yolda α-sekretaz ve γ-sekretaz enzimlerinin membrandan uzaklaştırması sayesinde gerçekleşir. (Makas şeklinde gösterilmiş) Normal yolda uzaklaştırılan atık ürün a-helikal bölgenin tamamı, ucunda biraz b-kırmalı, biraz da b-kırmalı parçasıdır. Proteazlar bunu tanır ve yok edebilir •Alzheimer hastalığında ise α-sekretaz yerine β-sekretaz enzimleri aktif olur ve β-sekretazlar tam α-heliks ve β-kırmalı tabakanın birleştiği yerden keser. Bu durumda proteazlar atık ürünleri tanıyamaz ve yok edemez. Böylece β-kırmalılar birbirleri üzerine plaklar yaparak nöronların arasında birikmeye başlar. Sonrasında da nöronlara doğru genişleyerek nöronların oluşturduğu alanların ve beynin hacminin küçülmesine neden olurlar. Beynin fonksiyonunu bozarak algı bozuklukları, konuşma bozuklukları,tanımama gibi sorunlara yol açarlar.
66
PRION
• Enfeksiyonu oluşturan etken, bir glikoproteindir (prion protein). • Nükleik asitleri yoktur. Virus gibi davranarak girdiği hücreyi enfekte eder. • Stanley B. Prusiner, bunu ilk tanımlayan araştırmacıdır ve nobel ödülüne layık görülmüştür. Prionlar beyinde bol miktarda bulunan proteinlerdir. Normal prionlar %42 oranında a-heliks, %3 oranında b-kırmalı içerir. Bir nedenle α-heliksler β-kırmalıya dönerse proteazlar tarafından tanınamaz hale gelirler. Hatalı katlanmış prionlar normal bir prionla karşılaştığında normallerin açılarak, düz zincir haline gelerek, kendileri gibi katlanmasına sebep olur yani katalitik etki gösterirler. Böylece zincirleme olarak normal prionlar hatalı katlanmış prionlara döner ve sinir sisteminde süngerimsi boşluklar oluşturarak nöron ölümlerine neden olurlar.
67
Deli Dana Hastalığı
• Sığırlardan insanlara yapısı bozuk prion proteinlerinin besin yoluyla geçmesiyle ortaya çıkan bir ensefalopatidir. • Özellikle sığırların prion taşıyan kısımlarının (beyin, omurilik, sinirler, kafa, göz, bağırsaklar en tehlikeli kısımlar) yenmesiyle enfekte sığırdan insana geçer. Nörolojik rahatsızlıklar, yürüme ve çiğneme güçlüğü, ölüm görülebilir. Tedavisi yoktur.
68
Creutzfeldt-Jacob Hastalığı
Ailesel prion hastalıkları (Familyal Creutzfeld-Jacob Hastalığı) prion proteinini kodlayan gende mutasyon sonucunda görülür. (Yeşiller a-heliksi, sarılar gelişigüzel kıvrılma bölümlerini, mavilerse β-kırmalı tabakayı gösteriyor.)
69
Tersiyer Yapı Değişiklikleri
Örnek: kistik fibrozis •Hücre membranında klor kanalı olarak görev yapan CFTR proteininin hatalı katlanması sonucu olur. •Kırmızıyla yazılan 3 nükleotid kayboluyor (Delesyon). Ancak o 3 nükleotid çıktıktan sonra solda kalan AT ve sağda kalan T birleşiyor ve bu şifre de izolösini kodluyor. Yani değişen tek şey fenilalaninin aradan çıkması oluyor.Fenilalaninin kaybı proteinin konformasyonunu değiştiriyor. Not: Aslında kistik fibrozis de primer bozukluk olarak kabul edilebilir ancak tersiyer yapı olarak çok tipik olduğu için tersiyer olanlara örnek veriliyor. • Doğal konformasyonda klor iyonlarını ve suyu geçiren ve alveollerdeki mukusun ince ve kaygan olmasında rol oynayan bu protein fenilalanin508 mutasyonundan sonra klor ve suyu dışarı çıkaramaz çünkü tersiyer yapısı bozulduğundan aralık kapanır. Klor ve su dışarı çıkamadığından mukus kalın ve yapışkan bir hal alır, hava yolu daralır ve akciğerler hava açlığı çeker. Mukus akışkan olmadığından bakteriler de makrofajlar tarafından yeterince temizlenemez ve akciğer enfeksiyonu ortaya çıkar. • Klor kanallarının açık olmayışı akciğerlerdeki gibi sinüslerde de tıkanıklığa sebep olabilir. • Aynı şekilde pankreasta oluşabilecek tıkanıklıklar sonucu bağırsağa pankreas enzimleri akamaz ve sindirim bozuklukları ortaya çıkabilir
70
FİBRİLER PROTEİNLER
• Çapı küçük, uzunluğu çok büyük olan yapısal ve destek proteinleridir. Çözünürlükleri düşük, yaşam süreleri uzundur. Skleroproteinler • Keratin • Kollajen • Elastin Kas Proteinleri • Tropomyozin • Miyozin (Kuyruk)
71
Keratin
• Bulundukları dokuya dayanıklılık ve/veya esneklik kazandırır. • Aminoasit dizileri ve biyolojik işlevleri birbirine benzeyen iki şekli vardır: a-keratin • Yapısında a-heliks bulunduran keratin tipidir. Saç, tırnak, boyun, yün ve derinin ana bileşenidir. b-keratin (insanlarda yok) • Daha çok b-tabaka içerirler. Kuş ve sürüngenlerin tüy ve kabuklarında bulunurlar. Keratinin Özellikleri • İntraselülerdir. • Zincir içi hidrojen bağları vardır. • Zincirler arası disülfid bağı vardır. • Çapraz bağlarla stabilleşir. • Temel yapısal birim “protofilament”tir
72
a-Keratin
•Her bir zincir α-heliks yapısındadır, amino ve karboksi terminallerine yakın yapı biraz kalınlaşmalar gösterir. •Dimerler birbirleriyle etkileşerek protofilamenti ve sonra da protofibrili oluştururlar. •Hidrofobik amino asitlerden zengindir. •Keratin zincirlerinin alfa helikal yapısı zincir içi hidrojen bağlarıyla korunur. •Zincirler arasında disülfit bağları yapıyı sağlamlaştırır. Çok sayıda sistein içerebilir. •Mikrofilament yapı çapraz bağlarla stabilleştirilir. Tırnaktaki α-keratin saçtaki α-keratine göre çok daha fazla sayıda disülfit çapraz bağ içerir, bu da yapının sağlamlığını (sertliğini) arttırır
73
KOLLAJEN
İnsan dâhil omurgalıların büyük bir kısmında en bol bulunan ekstrasellüler bir proteindir. Bazı hayvanlarda total protein kütlesinin yaklaşık 3’te 1’ini oluşturur. Kemiklerde minerallerin üzerinde çöktüğü matriks materyalini oluşturur. Tendonların ve derinin önemli bir elemanıdır. Fibroblast, osteoblast, kondroblast ve odontoblastlardan sentezlenmektedir. Bağ dokusu bulunduğu organa göre fiziksel değişiklik gösterir. Deriye bükülebilirlik, kemiğe sertlik, artere esneklik, tendona güçlülük, ligamente güçlülük ve esneklik kazandırır. Bu farklılık kollajenin yapısal farklılığından ileri gelir. 28 tip kollajenin varlığı gözlenmiştir. Temel yapısal birim, her biri yaklaşık 1000 aminoasit kalıntısı uzunluğundaki üç polipeptit zincirinin birbirine sarılmasıyla oluşan üçlü tropokollajen molekülüdür. Üçlü heliks arasında hidrofobik bağlar oluşur. Kollajen yüzde ağırlık olarak: DERİ(%74) > KORNEA(%64) > KIKIRDAK(%50) > KEMİK(%23) > AORT(%12-24) > AKCİĞER(%10)> KARACİĞER(%4) Vücuttaki kollajenin %90’ı TİP 1 KOLLAJEN’dir.
74
PRİMER YAPIDAKİ AMİNOASİTLER
GLİSİN > PROLİN > HİDROKSİPROLİN > LİZİN > HİDROKSİLİZİN GLİSİN- X-Y şeklindeki diziliş sürekli tekrarlanır.(%35 glisin, %21 prolin veya hidroksiprolin, %11 alanin) Her 3 kalıntıda bir glisin amino asidinin bulunmasının nedeni glisin küçük oluşudur, glisin üç zincirin temasta olduğu bağlantı yerleri için gereklidir. Heliksin bir dönüşünde yaklaşık 3 aminoasit vardır. Kollajen heliksi özeldir.”Poliprolin Tip 2 Heliksi” adı verilir.
75
Üçlü sarmalı oluşturan “asıl bağ tipi” zincirler arası peptid bağındaki N-H ile C=O arasındaki “hidrojen bağları”dır. Hidroksiprolindeki -OH grupları ek bağların kurulmasına katkıda bulunarak bu yapıyı daha da sağlamlaştırır.
✓ Kollajende 3 tane alfa heliks var. Zincirdeki aminoasit değişikliğine göre alfa zincirlerinin hangi tipinden olandan bir araya geldiğiyle ilişkili olarak ağsı, lifsel, fibrotik vb. yapı gösterir. ✓ Keratin intrasellüler, kollajen ekstrasellülerdir. Keratindeki yapısal birim protofilamenttir. ✓ Alfa helikslerde zincir içi hidrojen bağı olması gerekiyor,kendisinden sonraki 3 aminoasit ile hidrojen bağı kurması gerekiyor. ✓ Prolin ve hidroksiprolin iminoasittir. Prolin alfa heliksi bozar. ✓ Her 3 aminoasitten birisi glisin. ✓ Bir N azotu halkaya katılmaz. Dolayısıyla alfa heliksle düzenli tekrarlayan yapı kollajen yapı için söz konusu olamaz.Glisin 3 zincirin birbirine bağlanmasını sağlar,ara noktada kalır. ✓ MODİFİYE AMİNOASİTLER: Hidroksiprolin, hidroksilizin, gamakarboksiglutamat, n-metil lizin, desmozin. ✓ Hidroksilizin kollajende çok bulunur, sağlamlık sağlar. ✓ Kollajende alfa heliks oluştururken amaç karşı üçlü zincirde bağlantıyı sağlamlaştırmak. Kollajendeki lizil kalıntılarının da bir kısmı hidroksillenmiş durumdadır: Hidroksilizindeki -OH grupları karbonhidratların tutunma noktalarını oluşturur.(Visköz akışkanlık yok, jöle gibi bir yapı var.) Kollajenin sağlamlığı ve dayanıklılığı için hidroksiprolin yetiyor mu? Hayır. Bazı lizil kalıntıları lizil oksidaz enzimi tarafından oksitlenerek aldehit türevine dönüşür, bu da başka bir lizil kalıntısı ile reaksiyonuna girerek çapraz bağlar oluşturur. Kollajenin dayanıklığının bir nedeni de tropokollajen moleküllerinin yaptığı bu çapraz bağlanmasıdır Prolinde hidroksillenmeyi yapan enzim prolil hidroksilaz. Lizinde hidroksillenmeyi yapan lizil hdiroksilaz. Ama burada çapraz bağlanmayı yapan enzim lizil oksidaz enzimi.
76
KOLLAJENDE ÇAPRAZ BAĞ OLUŞUMU
Lizinler birbirlerine doğru uzanınca, komşu tropokollajen molekülüyle lizil oksidaz enzimi amin gruplarını kopararak orayı karbonil(totalde aldehit) grubu haline çevirir (allizin). Karşılıklı iki allizin de Aldol Kondenzasyonu ile birleştirilerek aldol çapraz bağı oluştururlar. ÇAPRAZ BAĞLAR: İki allizil arasındaysa aldol kondenzasyonu (aldol çapraz bağı), allizil lizil arasındaysa lizinorlösin denilen bir bağ oluşur. Bu bağlar üst üste yığılan tropokollajen moleküllerini daha güçlü şekilde birbirine bağlıyorlar. Çapraz bağ sayısı arttıkça esneklik azalır, kırılganlık artar. Yaş ile birlikte osteoporoz gelişmesi kemiklerin mineralizasyonunun daha az olması çapraz bağ sayısının artmasından dolayı. Yaşlanmayla birlikte görülen kırışıklıklar yine çapraz bağ artmasındandır.
77
KOLLAJEN VE KERATİN ARASINDAKİ FARKLAR
78
Olgun tropokollajende bulunan kısımlar kırmızı bulunmayan kısımlar ise yeşil renkle gösterilmiş. Bulunmayan kısımlar birbirine dolanma bilgisini ve o proteinin ekstrasellüler ortama atılacağı bilgisini içerir.Birbirine dolanmayı kolaylaştırmak için sentez edilirler. Ekstrasellüler aralıkta prokollajen kısımları kesiliyor, çünkü amacını tamamladı
79
Lizil oksidaz ve prolil hidroksilazın kofaktörü Vitamin C’dir.
80
Prokollajenlerde amino ucu açıkta kalanlara N-terminal, karboksil ucu açıkta kalana C- terminal denir.Bunları kesip kollajen oluşmasını sağlayan enzim prokollajen peptidaz.PINP veya PICP’yı ölçerek bir kişinin kemik turn-overının ne hızda gittiğini test olarak günümüzde kullanıyoruz. Tropokollajenlerin ¼ oranında kayarak ilerlemesi çizgili bir görüntü sağlar.
81
KOLLAJENİN KANTİTE VE KALİTESİNİ ETKİLEYEN FAKTÖRLER
• Zincirleri kodlayan genlerin yapısı • Genlerin ekspresyon hızları • Hidroksilasyon reaksiyonları • Prokollajen peptidaz reaksiyonu • Çapraz bağların oluşumu (aldol kondansasyonu)
82
KOLLAJEN YAPIM KUSURLARI
A-)GENETİK: Osteogenezis imperfekta, Ehlers-Danlos Sendromları B-) EDİNSEL(SEKONDER): Skorbüt, Menkes Hastalığı(Genetik veya edinsel olabilir.)
83
Osteogenezis imperfekta (Cam kemik hastalığı)
✓ Tip I kollajen zincirinde genetik kusur var. ✓ Kemikler aşırı kırılgan ✓ Eklem, diş (mavi-sarı dişler), göz, kulak etkilenir. ✓ Mavi sklera (azalmış kollajen içeriği) görülür. ✓ Glisin yerine başka amino asitlerin geldiği çeşitli mutasyonlar tanımlanmıştır. En çok bilineni 988. glisinin sisteine dönüşmesi (988. G/T Gly→Cys)
84
Ehlers Danlos Sendromları
✓ Bazı kollajen zincir tiplerinde mutasyonlar var. ✓ Lizil hidroksilaz, prokollajen peptidaz gibi enzimlerin aktiviteleri düşüktür. ✓ Kollajen yapısı bozuk, bağ doku zayıf ve “unstabil” ✓ Çıkabilen eklemler ✓ Dayanıksız deri ✓ Hipermobilite
85
Skorbüt
✓ Prolil hidroksilaz ve lizil hidroksilazın kofaktörü olan C vitamini eksikliğinde görülür. ✓ Yara iyileşmesi gecikir, ciltte morluklar, diş eti kanamaları, eklemlerde ağrı ve şişlik görülür.
86
Menkes sendromu (Dolaşık saç sendromu)
✓ Kollajende ve elastinde çapraz bağ oluşumunu sağlayan lizil oksidazın koenzimi bakırdır. ✓ Bakır eksikliğinde lizil oksidaz yetersiz çalışır ve Menkes sendromu denen, sinir sistemi bozuklukları, pigmentasyon azlığı, kolay kırılabilir saç anomalileri ile karakterize bir bağ dokusu hastalığı oluşur. ✓ Edinsel veya genetik olabilir. ✓ Genetik formu bakır taşıyıcı bir proteini kodlayan gende mutasyon ile olur ve bakırın hücrelere dağılımı bozulur.
87
ELASTİN
ELASTİN •Damarlar, ligamentler ve akciğer gibi dokularda bulunan ve ileri derecede esneme ve gerilme özelliğine sahip bağ dokusu proteinidir. •Glisin (%31), alanin, lizin çoktur. •Hidroksilizin içermez. •Prolin ve hidroksiprolin çok azdır. •Lizin kalıntıları kovalent çapraz bağlar(desmozin, lizinonorlösin) oluşturur. •Elastinin yapısal birimi tropoelastindir.(Yaklaşık 700 amino asit içerir.) •Elastik fibriller elastinin yanı sıra fibrilin gibi glikoprotein yapıda mikrofibriller de içerir. •Fibrilin tropoelastinlerin üzerinde biriktiği bir iskele görevi görür (yapısal destek). •Elastinin düzensiz görünen bir yapısı vardır, bu yapı sayesinde kan damarlarının ve akciğerlerimizin genişlemesini sağlar. •Damar sertliğinde (ateroskleroz) yaş ile damarların elastikiyetini kaybetmesinde başka faktörlerin yanında elastindeki çapraz bağ sayısının artmasının da rolü olduğu düşünülüyormuş.
88
Kollajen Elastin farkları
89
MARFAN SENDROMU
• Fibrilin geninde mutasyon olur. (elastinde değil, elastinin bağlandığı iskele proteininin geninde) • Lenste dislokasyon, araknodaktili (örümcek bacakları gibi aşırı uzun parmaklar), uzun boy, sternumda kunduracı göğsü denilen çöküklük, skolyoz ve aort dilatasyonu (genişleme) gibi bulgular ortaya çıkabilir. NOT: Sendrom olarak nitelemek için birden fazla belirtinin bir arada olması lazım. EK BİLGİ: Abraham Lincoln ve Paganini’de bu sendromun olduğu düşünülüyormuş.
90
MİYOZİN
• Miyozinin amino terminal ucu (baş kısmı) globüler yapıdadır. • Kuyruk kısmı ise birbirine dolanan 𝛼-heliks yapılı fibriler proteinlerdir.
91
AKTİN
• Aktinin fibriler bir görünümü var fakat fibriler değil. Küçük globüler yapıdaki proteinlerin tek tek birbirlerine bağlanmasıyla oluşurlar.
92
FİBROİN
Örümcek ağında bulunan fibriler proteinlerdir. β-kırmalı tabakaların üst üste gelmesiyle oluşur. (Hep α-heliks olmak zorunda değil, doğada β-kırmalı tabaka da fibriler proteinleri oluşturuyor.)
93
GLOBÜLER PROTEİNLER
• Suda eriyen, yoğun, sferik (küresel) proteinlerdir. • Dinamik fonksiyonları vardır. • Globüler proteinlerde farklı sekonder yapılar bir arada bulunabilir. • En önemli globüler proteinler miyoglobin ve hemoglobindir.
94
MİYOGLOBİN
• Miyoglobin, hemoglobinin monomeri gibidir. • Globüler zincirin %75’ten fazlası α-helikal yapıdadır. • Prostetik grubu “HEM” halkasıdır. • Apoprotein (protein kısım) “Globin” zinciridir. • Kasın O2 depolayan proteinidir. (O2 taşımaz.) Kalp kasında ve iskelet kasında bulunur. • Suda yaşayan memelilerde (balina vb.) oksijen depolanmasını sağlar. Not: Gelişigüzel kıvrılmalar (sekonder yapıdaki) denatürasyon değildir. Denatürasyonda non-polar etkileşimler bozulur, peptit bağları korunur. Gelişigüzel kıvrılmalar ise normal, fizyolojik bir konformasyon şeklidir. Van der waals bağları, hidrofobik etkileşimler vs. hala vardır.
95
MİYOGLOBİN SEGMENTLERİ
• 8 helikal segmenti vardır (A, B, C, D, E, F, G, H). • Non-helikal bölgeler içerir (N-A, AB, CD, EF, GH, H-C). • Bazı proteinler homologtur yani türler arasında benzerlik gösterirler ve evrimsel olarak korunmuşlardır. İçerdikleri amino asitler farklı olsa da konformasyonları benzerdir. Çünkü konformasyon ve fonksiyonla ilişkili amino asitler korunmuştur. • Hemoglobin farklı canlılarda farklı zincir uzunluğuna sahip olabilir fakat yine aynı şekilde katlanır ve aynı fonksiyonu yapar. Hemoglobinin yapısındaki F8 histidin ( F heliksindeki 8.pozisyondaki histidin) ve E7 histidin evrimsel olarak korunmuştur ve bütün canlılarda vardır.) • Pirol halkaları (5’li halka) birbirleriyle birleşiyor ve azot atomları demirle bağlanıyor. Böylece Fe, 4 koordinasyon bağını pirol halkalarındaki azotlarla yapıyor. • 5. koordinasyon bağını F8 Histidinin (Proksimal histidin) imidazol halkasındaki azotla yapıyor. • 6. koordinasyon bağı ise O2 bağlamak için boşta bulunuyor. • E7 Histidin (Distal histidin) ise azota bağlanmıyor ve O2 bağlanması için demiri +2 yüklü olarak tutuyor. Oluşturduğu baskıyla O2’nin açılı bir şekilde demire bağlanmasını sağlıyor. (ETS’de demir +2/+3 arasında yük değiştirerek elektronları taşıyordu fakat hemoglobin ve miyoglobinde demir daima +2 yüklü tutulur. +3 olunca O2 bağlayamıyor.) • Fe atomu etrafında mikroçevre oluşmuştur. Non-polar amino asitler iç tarafta, polar amino asitler ise dış tarafta bulunur. Bu sayede termodinamik olarak en stabil durumda bulunurlar. (Histidinler polar olmalarına rağmen iç tarafta bulunurlar çünkü orada fonksiyon görürler- özel bir durum)
96
MİYOGLOBİN VE HEMOGLOBİN YAPILARI
• Miyoglobin 153 a.a’li tek bir zincir içerir. • Hemoglobinin α zinciri (2 tane) 141 amino asitlidir. • Hemoglobinin β zinciri (2 tane) 146 amino asitlidir. • Uzunlukları farklı olsa da konformasyonları ve fonksiyonları çok benzerdir.
97
HEMOGLOBİN
• Besin maddelerinin mitokondrilerde yıkılması sonucu ATP üretilir ve dokularda CO2 açığa çıkar. Bu yüzden dokulara oksijen taşınması ve karbondioksitin dokulardan uzaklaştırılması gerekir. (Miyoglobin 1 tane hem grubu içerdiği için onunla taşımak mümkün değil.) • Hemoglobin akciğerlerde %97’lere yaklaşan bir parsiyel oksijen basıncıyla karşılaşır ve oksijeni alıp dokularda bırakır (Bu sırada şekli değişir.). Her hem grubu 1 molekül olmak üzere toplamda 4 molekül O2 bağlanır (önce β zincirlere bağlanıyor). • Hemoglobinin dezoksi- şeklinde (gergin) oksijen bağlama bölgeleri boştur ve ortadaki boşluk büyüktür. • Oksi- şeklinde (gevşek) ise oksijen bağlama bölgeleri doludur, şekli daha yassıdır ve ortasındaki boşluk küçüktür. Hemoglobinin dezoksi- şeklini gergin yapan şey monomerler arasındaki tuz köprüleridir. 8 adet tuz köprüsü vardır. (+) ve (–) yüklü gruplar arasındaki iyonik bağlar bu yapıyı dayanıklı ve gergin yapar. (Tersiyer yapıyı oluşturan bağlar,kuaterner yapıda da monomerleri birbirine bağlar.) NOT: Dezoksi- ve oksi- şekillerde tuz köprüleri dışındaki bağlar aynıdır
98
2,3- BİSFOSFOGLİSERAT (2,3- BPG)
Dezoksi- konformasyonun ortasındaki boşluğa bağlanan bir moleküldür. Yapısındaki 5 (-) yük ile β zincirlerden uzanan 4’er tane (+) yüke (+8 yüklü bir iyonik bulut) bağlanır ve dezoksi- konformasyonu stabilize eder. Hem yükleri sayesinde hem de yapısal olarak boşluğa yerleşmeye uygundur.
99
OKSİJENLENME İLE NE OLUR?
• Oksijen bağlanmadan önce Fe atomu 0,4 Å kadar helikse doğru kaymıştır. • Oksijen bağlandıktan sonra Fe atomunun çapı biraz küçülüyor ve hem düzlemine yerleşiyor. • Bu sırada demirle birlikte F8 histidin ve geri kalan molekül de düzleme doğru çekiliyor ve konformasyonel bir değişiklik oluyor. • Böylece 8 tuz köprüsünden bir kısmı çekme etkisiyle kırılıyor. Her oksijenin bağlanmasıyla biraz daha tuz köprüsü kırılıyor ve bir sonraki oksijenin bağlanması kolaylaşıyor. Buna kooperative denir. (Bir molekül oksijenin bir monomere bağlanması, diğer monomerlere oksijen bağlanmasını kolaylaştırır. Son bağlanan oksijen ilkine göre 300 kat daha kolay bağlanır.) • Tuz köprülerinin kırılmasıyla iki β zinciri arasındaki boşluk daralır. • 2,3- BPG’yi ortadaki boşlukta tutan 8 (+) yükten ikisi olan N-terminal valinlerin amino grupları boşluktan uzaklaşır. • Böylece, 2,3-BPG boşluktan uzaklaştırılır. Molekül tamamen oksijenlenmiş hale gelir.
100
DOKULARDAKİ H+’LERİN KAYNAĞI
• Bedensel faaliyetlere göre her dokunun ATP ihtiyacı ve ürettikleri CO2 miktarları (Crebs siklusunda üretilir.) farklıdır. Dokuların metabolik olarak aktif olduğunu CO2’in ve asitliğin artmasıyla anlarız. Bu da dokunun O2’ne ihtiyacı olduğunun sinyalidir. • Hızlı kasılan kasta olduğu gibi anaerobik metabolizma sonucunda laktik asit gibi organik asitler oluşur ve dokuda birikir. Böylece H+ miktarı artar.
101
CO2’NİN TAŞINMASI (AKCİĞERLERE)
• Çoğu HCO3-’e (bikarbonat iyonu) çevrilerek plazmaya verilir (%85 oranında) CO2 + H2O ↔ H2CO3 ↔ HCO3- + H+ • Az bir kısmı erimiş karbondioksit olarak taşınır. • Bir kısım CO2 ise hemoglobin ve plazma proteinlerinin terminal amino gruplarına bağlanarak taşınır (karbamat oluşumu) CO2 + Hb-NH2 ➡️ Hb-NH-COO- + H+ (Karbominohemoglobin)
102
• Hemoglobin eritrositlerin içinde bulunur. Akciğerlerdeki kanda oksijen parsiyel basıncının yüksek olmasıyla O2 hemoglobinlere bağlanır. • Bu sırada açığa çıkan protonlar (H+) bikarbonat iyonuyla birleşerek karbonik asidi (H2CO3) oluşturur. • Karbonik asit de karbondioksit ve suya ayrışır ve oluşan CO2 solunumla atılır. Klorür Kayması: Negatif yük dengesini korumak için içeri giren HCO3- yerine Cl- dışarı çıkar. (Kanda anyon boşluğu oluşmasını önler.)
103
• Dokularda açığa çıkan CO2 eritrosite girer ve eritrositin suyuyla birleşerek H2CO3 oluşur. • Karbonik asit bikarbonata ve protona ayrışır (Karbonik anhidraz etkisiyle) • Bikarbonat plazmaya sızar ve onun yerine iyonik dengeyi korumak Cl- eritrosite girer. • Açığa çıkan H+’lar tuz köprülerini yeniden kurmak için kullanılır. Bu sayede hemoglobin O2’leri dokuya bırakır. Bohr Etkisi: Metabolik olarak aktif olan dokularda artan CO2 ve H+, hemoglobinden O2 ayrılmasına neden olur, CO2 ve H+ hemoglobine bağlanır. Akciğerde ise tam tersi olur. CO2 ve H+ hemoglobinden ayrılır, CO2 solunum havası ile atılır ve hemoglobine O2 bağlanır. Hemoglobine O2, CO2 ve H+ bağlanması arasındaki bu ilişkiye “Bohr etkisi” denir
104
OKSİJEN DOYGUNLUK (SATÜRASYON) EĞRİSİ
• Doygunluğun (Y) parsiyel oksijen basıncına (pO2) göre çizilen grafiğine denir. • Miyoglobinin oksijenlerin yarısını bırakması için gereken pO2 yaklaşık 1 mmHg. Hemoglobinin ise 26 mmHg. • Grafikte sarı alan akciğerlerin, mavi alan ise dokuların parsiyel oksijen basıncı. • Miyoglobin ancak laktik asit çok arttığında ve pO2 çok düştüğünde dokulara oksijen verebilir.Normal şartlada veremez. • Hemoglobin ise dokuların ihtiyacı olan pO2’de iyi bir oksijen vericisidir.
105
• H+ artıp pH azalırsa eğri sağa kayar. Böylece yüksek pO2’de (grafikte 50 civarı) hemoglobin oksijenlerin yarısını bırakabilir. (Doku aktif, laktik asit birikmesi) • pH arttığında ise eğri sola kayar ve hemoglobin pO2=26’nın altındayken (grafikte yaklaşık 18) oksijenlerinin yarısından vazgeçer. (Doku inaktif) • Demek ki pH ve H+ değişimleri bir sinyaldir.
106
• Yine aynı şekilde pCO2 arttığında pH azalacağından eğri sağa, pCO2 azaldığında ise sola kayar. • Hoca ayrıca bu grafik açıkken pO2 arttıkça da eğrinin sağa kaydığını, dokunun pO2’ı çok düşmeden de hemoglobinin oksijenlerinin yarısını verdiğini söyledi
107
• 2,3- BPG eritrositlerin hemoglobinle neredeyse eşit miktarda ürettiği bir moleküldür. Eğer bu molekül olmasaydı eğri miyoglobin eğrisi gibi olurdu. • Varlığında ise eğri sağa kayar. • Yüksek bölgelerde pO2 azdır. Bunun sonucunda vücutta 2,3- BPG artar. Böylece düşük oksijen basıncında bile hemoglobinin dokuya O2 vermesi sağlanır.
108
HEMOGLOBİN
• O2, H+ ve CO2 transportu yapar. • Tampon görevi yapar (H+ bağladığı için). • Her monomere bir mol O2 bağlanır. • O2’e afinitesi allosterik olarak düzenlenir. • Satürasyon eğrisi sigmoidaldir. • CO2, H+ ve 2,3- Bisfosfogliserat oksijene olan afiniteyi azaltır (negatif efektörler). • Bir monomere O2 bağlanması, diğer monomerlere bağlanmayı kolaylaştırır (Kooperativite).
109
MİYOGLOBİN İLE HEMOGLOBİN ARASINDAKİ FARKLAR
• Mb monomer, Hb tetramerdir. • Mb allosterik değil, Hb allosteriktir. • Mb’e O2 bağlanması kooperativite göstermez, Hb ise kooperatiftir. • Mb sadece O2 taşır, Hb; O2, CO2 ve H+ da taşır. • Mb’nin oksijen satürasyon eğrisi hiperbolik, Hb’in sigmoidaldir.