What are the various nutritional roles of proteins?
Complete : nutritionist approach proteins for their ___ while food scientist approach protein for their ___
What is a protein functionality?
the function or property the protein give in a food product.
What is one function of the protease in food processing
tenderize meat
What is one function of the lipases in food processing
flavor development in cheeses
What is one function of the amylases in food processing
to manufacture corn syrup/sugars
What is one function of the glucose oxidase in food processing
to remove the head space oxygen from food packages.
What is the amino acid you loose when roasting cereals?
lysine
What is surimi?
crab meat analog made from pollock
T or F : Only compounds that have an amino (NH2) and a carboxylic acid (COOH) group attached to the same carbon (the alpha-carbon) are considered to be amino acids.
T
complete : at low pH, the amino acid is ____
protonated (COOH/NH3)
Complete : since amino acid have both a base and an acid they are ___
ampholytes or amphoteric
T or F : structure at the isoelectric point is neutral
false, it is a zwitterion but it is not neutral.
What is the form of the amino acid glycine at neutral pH

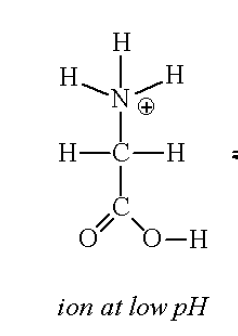
What is the form of the aa glycine at low pH ?

What is the form of the aa glycine at high pH ?

Can a zwitterion be neutral?
Zwitterions are simultaneously electrically charged and electrically neutral.
What are the three physical properties of amino acids at the pI
What is the only amino acid that doesn’t have a asymetric carbon?
Glycin (2H)
What are optical isomers?
mirror images of a compound. They are not superimposable (cannot be flipped over to superimpose unpon one another.
Complete : since the alpha carbon is asymetric, the a.a. show _____ and rotate ____
optical isomerism
plane-polizired light in opposite directions
What is the reference compound that was determined to give the configurations D and L?
Glyceraldehyde.
The glyceraldehyde is L, when the OH is on the ____, the aldehyde is on the ____ and the alcohol is on the ___
OH on the left
aldehyde on the top
alcohol on the bottom
In L amino acid, the ___ is on the left, the ___ is on the top, and the ___ is on the bottom
NH3 on the left
Carboxylic on the top
R group on the bottom