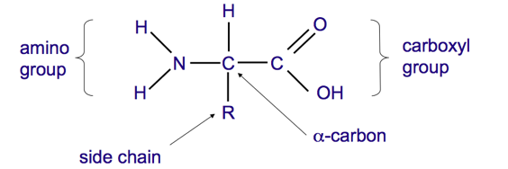
structure of an amino acid?

Which form are all amino acids in ?
L optical isomer
glycine is the only nonchiral amino acid as it has no side chain
what are the characteristics of a peptide bond?
how are peptide formed?
what is the anatomy of a peptide?

Hydrophobic
Glycine Alanine Proline Valine Leucine Isoleucine Tryptophan Phenylalanine, Methionine
giant ants take lollipops inside picnics, maybe vinegar pringles?
giant anal prolapses vary
leucine and isoleucine may take pharmacology
Hydrophilic
Serine Thereonine Tyrosine Asparagine Glutamine Cysteine
small timid tigers can grab ants
sometimes terrorizing teachers acquire giant cysts
amino acids with positively charged side chain
Arginine Lysine always protonated at physiological pH
Histidine is protonated (+) under pH 6
Negatively charged
Glutamate Aspartate are always negatively charged at physiological pH
Why can proteins not tolerate a great change in pH?
Ionisation state of amino acids is essential for function. Changes in pH = change in ionisation state = change in property.
Amino acids can take up and release protons which gives them some buffering capacity = gives them capacity to resist some changes in pH
what hold a protein together?
what bonds?
covalent bonds
hydrogen bonds
ionic interactions
van der waals forces
hydrophobic interactions
When do disulphide bridges form?
Cytosine chains are oxidised
Covalent bond between 2 amino acids
explain covalent bonds
explain hydrogen bonds?
explain ionic interactions?
explain van der waals forces?
explain hydrophobic interactions?
Why does proline cause a kink in the peptide chain?
how are proteins usually folded?
what does functionality require?
requires a clear 3D structure or conformation of the polypeptide chain
What is a parallel beta strand?
Beta sheets run in opposite directions = antiparallel beta sheet
the pleating in each case allows the best alignment of the hydrogen-bonded groups
how are beta pleated sheets held together?
how are alpha helices held together?
what is a domain?
compact globular structure that the secondary structure motifs are arranged into
what is denaturing
what are common denaturants?
what is the post-modification of proteins?
acids enhancing the capabilities fo the protein