Psych Flashcards

(24 cards)

1
Q

What is retrograde memory?

A

Memories from the past

How well did you know this?
1
Not at all
2
3
4
5
Perfectly
2
Q

What is anterograde memory?

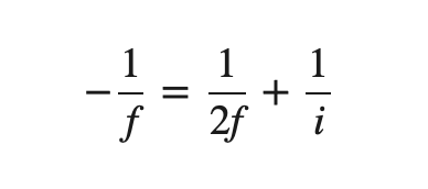
A

Future (new) memories

How well did you know this?
1
Not at all
2
3
4
5
Perfectly
3
Q

What is semantic memory?

A

Factual memories / based on facts

How well did you know this?
1
Not at all
2
3
4
5
Perfectly
4
Q

What is short-term memory?

A

Memories within hours-days of being learned / encoded

How well did you know this?
1
Not at all
2
3
4
5
Perfectly
5
Q

What is interactionist theory of language?

A

Suggests that language is acquired through BOTH biological and social developments

How well did you know this?
1
Not at all
2
3
4
5
Perfectly
6
Q

What is comorbidity?

A

Simultaneous presentation of two or more sociological disorders.

How well did you know this?
1
Not at all
2
3
4
5
Perfectly
7
Q

What is a null hypothesis?

A

States that there is no significant difference between two variables

How well did you know this?
1
Not at all
2
3
4
5
Perfectly
8
Q

What is the Corpus Callosum?

A

axons in the brain that connect the left and right sides of the brain.

How well did you know this?
1
Not at all
2
3
4
5
Perfectly
9
Q

What is the Wernicke area?

A

located on the left side of the brain it is responsible for speech comprehension.

How well did you know this?
1
Not at all
2
3
4
5
Perfectly
10
Q

What is instinctive drift?

A

Trained animals reverting from their trained behavior for something more instinctual.

How well did you know this?
1
Not at all
2
3
4
5
Perfectly
11
Q

What is a locus of control?

A

What an individual believes to be control-long the outcome of an event

How well did you know this?
1
Not at all
2
3
4
5
Perfectly
12
Q

What is religiostity?

A

The extent to which a religious doctrine is internalized and expressed in that individual’s own life.

How well did you know this?
1
Not at all
2
3
4
5
Perfectly
13
Q

What is a latent function?

A

An unintentional result of a social structure.

How well did you know this?
1
Not at all
2
3
4
5
Perfectly
14
Q

What is medicalization?

A

the process by which non-medical problems become defined and treated as medical problems often requiring medical treatment.

How well did you know this?
1
Not at all
2
3
4
5
Perfectly
15
Q

How are velocity, frequency, and wavelength related?

A

v = wavelength x frequency

How well did you know this?
1
Not at all
2
3
4
5
Perfectly
16
Q

What is a converging lens?

17
Q

What is a diverging lens?

18
Q

What is the lens equation for a converging lens?

19
Q

What is the lens equation for a diverging lens?

20
Q

What is the buoyancy equation?

21
Q

What is the ACTIVITY approach to aging?

22
Q

What is the CONTINUITY approach to aging?

23
Q

What is the DISENGAGEMENT approach to aging?

24
Q

What is the life course approach to aging?