Pure - Compound Angle Formula Flashcards

(11 cards)

1
Q

What is sin(A+B)?

A

sin(A)cos(B) + cos(A)sin(B)

How well did you know this?
1
Not at all
2
3
4
5
Perfectly
2
Q

What is sin(A-B)?

A

sin(A)cos(B) - cos(A)sin(B)

How well did you know this?
1
Not at all
2
3
4
5
Perfectly
3
Q

What is cos(A+B)?

A

cos(A)cos(B) - sin(A)sin(B)

How well did you know this?
1
Not at all
2
3
4
5
Perfectly
4
Q

What is cos(A-B)?

A

cos(A)cos(B) + sin(A)sin(B)

How well did you know this?
1
Not at all
2
3
4
5
Perfectly
5
Q

What is tan(A+B)?

A
How well did you know this?
1
Not at all
2
3
4
5
Perfectly
6
Q

What is tan(A-B)?

A
How well did you know this?
1
Not at all
2
3
4
5
Perfectly
7
Q

What is cos(90-x)?

A

sin(x)

How well did you know this?
1
Not at all
2
3
4
5
Perfectly
8
Q

What is sin(90-x)?

A

cos(x)

How well did you know this?
1
Not at all
2
3
4
5
Perfectly
9
Q

What is the double angle formula of sin?

A
How well did you know this?
1
Not at all
2
3
4
5
Perfectly
10
Q

What is the double angle formula of cos?

A
How well did you know this?
1
Not at all
2
3
4
5
Perfectly
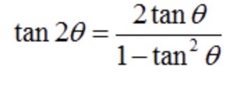
11
Q

What is the double angle formula of tan?

A
How well did you know this?
1
Not at all
2
3
4
5
Perfectly