Data Sufficiency:
What is the value of x + 2y ?
(1) x + y = 2
(2) 6x + 12y - 3 = 15
(1) is Insufficient.
(2) is Sufficient.
We don’t always have to know both variables individually, when the question is asking for a combined value.
Watch out for the “C Trap”: when we think we need both statements, but one statement is sufficient.
We can manipulate (2), so that the left side is the same as the question:
Add 3 on both sides: 6x + 12y = 18
Divide by 6 on both sides: x + 2y = 3



What is 4 squared?
4 squared = 42 = 4 * 4 = 16
4 is the base. 2 is the power.
For a power of 2, we use the word “squared”.
(This is because a square with 4 units on each side has an area of 42)

What is 2 cubed?
2 cubed = 2 * 2 * 2 = 23 = 8
For a power of 3, we use the word “cubed”.
(This is because a cube with 2 units on each side has an area of 23)

What “Perfect Square” less than 100 has 5 as a prime factor?
25 = 52
a Perfect Square is the square of an integer
For a perfect square, the prime factors have even exponents:
Examples: 36 = 22 * 32
100 = 22 * 52
What “Perfect Cube” less than 100 has 3 as a prime factor?
33 = 27
a Perfect Cube is the cube of an integer
For a perfect cube, the prime factors have powers that are a multiple of 3.
Example: 1728 = 26 * 33 = (2*2*3)3 = 123
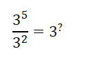
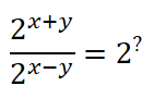
23 * 24 = 2?
Multiplying Like Bases:
23 * 24 = 27
Add the powers:
xa * xb = xa+b
xy-2 * x3y+5 = x?
xy-2 * x3y+5 = x4y+3
Multiplying Like Bases: add the powers
xa * xb = xa+b




(x2)3 = x?
(x2)3 = x6
Power to a Power Rule:
(x<span>a</span>)<span>b</span> = xab
0a = ?
0
0 to any power is 0.
1a = ?
1
1 to any power is 1


What is 0.33, as a fraction?

Is 0.43 > 0.42 ?
Why or why not?
No.
A fraction between 0 and 1 gets SMALLER as the power increases.
Is -(1/2)3 > -1/2 ?
Yes.
A positive fraction between 0 and 1, taken to greater power, gets closer to 0, and therefore smaller.
A negative fraction between -1 and 0, taken to an odd power,
is still negative and gets closer to 0, and therefore greater.
(-1/2)3 = -1/8
-1/8 > -1/2
is a/b > (a/b)2 ?
(1) a < b
(2) a and b are positive
1) Insufficient. If a = 1 and b = 2, 1/2 > 1/4 –> Yes
If a = -1 and b=2, -1/2 < 1/4 –> No
(Note that a positive fraction between 0 and 1 gets smaller when raised to a higher power, but also we have to account for the possibility of a negative number)
2) Insufficient. If a = 1 and b = 2, 1/2 > 1/4 –> Yes
If a = 2 and b = 1, 2 No
Together: Sufficient. (2) rules out the negative number possibility that made (1) Insufficient
Positive or negative?
a. (-1)5 ?
b. (-2)3
c. -32 ?
d. -3*(-4)7 ?
a. Negative. A negative number taken to an odd power is negative.
b. Negative.
c. Negative. Without the parentheses, we have to take the exponent first, before the - sign.
So, 32 = 9, and -32 = -9
d. Positive. (-4)7 is negative, so -3*(-4)7 is positive
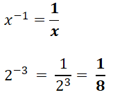
a) What is x-1 ?
b) What is 2-3 ?
A negative exponent is the Reciprocal of the positive exponent:
(1 divided by the positive exponent)

a) Express using a negative exponent
b) Express using a positive exponent


If x-1 = 5, what is x?


Square Root is the inverse of Squaring.
