Control charts

Random and systematic error
Dot plot


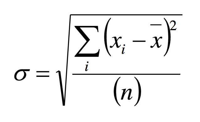
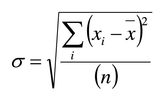
Standard deviation of the entire population

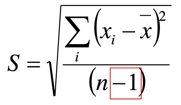
Standard deviation of the population based on a sample

Real mean
Properties of the normal distribution

Confidence intervals

Shewhart charts

Shewhart chart for mean values

Areas under the normal curve

Control charts Shewhart plots


Controls using shewhart plots
Cusum plot

Shewhart v cusum plot of data


Use of V-mask Initial data

Data integrity